Номер 1.18, страница 14 - гдз по алгебре 11 класс учебник Арефьева, Пирютко

Алгебра, 11 класс Учебник, авторы: Арефьева Ирина Глебовна, Пирютко Ольга Николаевна, издательство Народная асвета, Минск, 2020, бирюзового цвета

Авторы: Арефьева И. Г., Пирютко О. Н.

Тип: Учебник

Издательство: Народная асвета

Год издания: 2020 - 2026

Цвет обложки: бирюзовый, зелёный с графиком

ISBN: 978-985-03-3165-6

Популярные ГДЗ в 11 классе

Глава 1. Обобщение понятия степени. Параграф 1. Степень с рациональным показателем и ее свойства. Степень с действительным показателем - номер 1.18, страница 14.

№1.18 (с. 14)
Условие. №1.18 (с. 14)
скриншот условия
Алгебра, 11 класс Учебник, авторы: Арефьева Ирина Глебовна, Пирютко Ольга Николаевна, издательство Народная асвета, Минск, 2020, бирюзового цвета, страница 14, номер 1.18, Условие

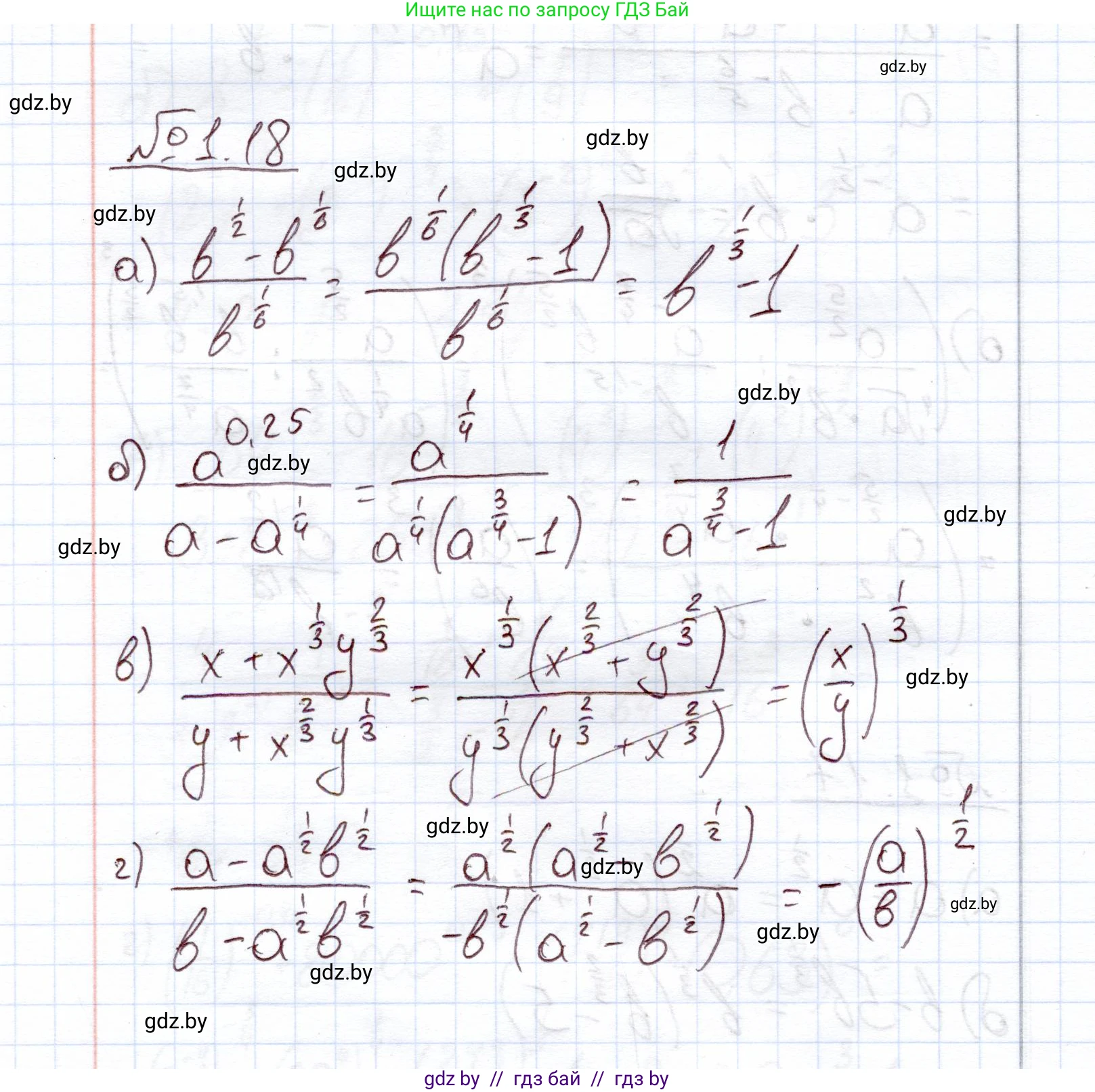
1.18. Разложите на множители числитель и знаменатель дроби, если это необходимо, и сократите дробь:

а) $\frac{b^{\frac{1}{2}}-b^{\frac{1}{6}}}{b^{\frac{1}{6}}}$;

б) $\frac{a^{0,25}}{a-a^{\frac{1}{4}}}$;

в) $\frac{x+x^{\frac{1}{3}}y^{\frac{2}{3}}}{y+x^{\frac{2}{3}}y^{\frac{1}{3}}}$;

г) $\frac{a-a^{\frac{1}{2}}b^{\frac{1}{2}}}{b-a^{\frac{1}{2}}b^{\frac{1}{2}}}$.

Решение. №1.18 (с. 14)
Алгебра, 11 класс Учебник, авторы: Арефьева Ирина Глебовна, Пирютко Ольга Николаевна, издательство Народная асвета, Минск, 2020, бирюзового цвета, страница 14, номер 1.18, Решение
Решение 2. №1.18 (с. 14)

а) Рассмотрим дробь $\frac{b^{\frac{1}{2}} - b^{\frac{1}{6}}}{b^{\frac{1}{6}}}$.
Чтобы сократить дробь, разложим на множители числитель. Для этого вынесем за скобки общий множитель, которым является степень с наименьшим показателем, то есть $b^{\frac{1}{6}}$.
Выносим $b^{\frac{1}{6}}$ за скобки в числителе:
$b^{\frac{1}{2}} - b^{\frac{1}{6}} = b^{\frac{1}{6}} \cdot (b^{\frac{1}{2} - \frac{1}{6}} - 1) = b^{\frac{1}{6}} \cdot (b^{\frac{3}{6} - \frac{1}{6}} - 1) = b^{\frac{1}{6}}(b^{\frac{2}{6}} - 1) = b^{\frac{1}{6}}(b^{\frac{1}{3}} - 1)$.
Теперь подставим разложенный числитель обратно в дробь:
$\frac{b^{\frac{1}{6}}(b^{\frac{1}{3}} - 1)}{b^{\frac{1}{6}}}$.
Сокращаем дробь на общий множитель $b^{\frac{1}{6}}$:
$b^{\frac{1}{3}} - 1$.
Ответ: $b^{\frac{1}{3}} - 1$.

б) Рассмотрим дробь $\frac{a^{0,25}}{a - a^{\frac{1}{4}}}$.
Сначала преобразуем десятичную степень в дробную: $0,25 = \frac{1}{4}$. Таким образом, дробь имеет вид $\frac{a^{\frac{1}{4}}}{a - a^{\frac{1}{4}}}$.
Разложим на множители знаменатель. Общий множитель — $a^{\frac{1}{4}}$.
Вынесем $a^{\frac{1}{4}}$ за скобки в знаменателе:
$a - a^{\frac{1}{4}} = a^{1} - a^{\frac{1}{4}} = a^{\frac{1}{4}}(a^{1 - \frac{1}{4}} - 1) = a^{\frac{1}{4}}(a^{\frac{3}{4}} - 1)$.
Подставим разложенный знаменатель в дробь:
$\frac{a^{\frac{1}{4}}}{a^{\frac{1}{4}}(a^{\frac{3}{4}} - 1)}$.
Сокращаем дробь на общий множитель $a^{\frac{1}{4}}$:
$\frac{1}{a^{\frac{3}{4}} - 1}$.
Ответ: $\frac{1}{a^{\frac{3}{4}} - 1}$.

в) Рассмотрим дробь $\frac{x + x^{\frac{1}{3}}y^{\frac{2}{3}}}{y + x^{\frac{2}{3}}y^{\frac{1}{3}}}$.
Разложим на множители числитель, вынеся за скобки общий множитель $x^{\frac{1}{3}}$:
$x + x^{\frac{1}{3}}y^{\frac{2}{3}} = x^{\frac{1}{3}}(x^{1-\frac{1}{3}} + y^{\frac{2}{3}}) = x^{\frac{1}{3}}(x^{\frac{2}{3}} + y^{\frac{2}{3}})$.
Разложим на множители знаменатель, вынеся за скобки общий множитель $y^{\frac{1}{3}}$:
$y + x^{\frac{2}{3}}y^{\frac{1}{3}} = y^{\frac{1}{3}}(y^{1-\frac{1}{3}} + x^{\frac{2}{3}}) = y^{\frac{1}{3}}(y^{\frac{2}{3}} + x^{\frac{2}{3}})$.
Подставим разложенные выражения в дробь:
$\frac{x^{\frac{1}{3}}(x^{\frac{2}{3}} + y^{\frac{2}{3}})}{y^{\frac{1}{3}}(y^{\frac{2}{3}} + x^{\frac{2}{3}})}$.
Сокращаем дробь на общий множитель $(x^{\frac{2}{3}} + y^{\frac{2}{3}})$:
$\frac{x^{\frac{1}{3}}}{y^{\frac{1}{3}}}$.
Ответ: $\frac{x^{\frac{1}{3}}}{y^{\frac{1}{3}}}$.

г) Рассмотрим дробь $\frac{a - a^{\frac{1}{2}}b^{\frac{1}{2}}}{b - a^{\frac{1}{2}}b^{\frac{1}{2}}}$.
Разложим на множители числитель. Вынесем за скобки общий множитель $a^{\frac{1}{2}}$:
$a - a^{\frac{1}{2}}b^{\frac{1}{2}} = a^{\frac{1}{2}}(a^{1-\frac{1}{2}} - b^{\frac{1}{2}}) = a^{\frac{1}{2}}(a^{\frac{1}{2}} - b^{\frac{1}{2}})$.
Разложим на множители знаменатель. Вынесем за скобки общий множитель $b^{\frac{1}{2}}$:
$b - a^{\frac{1}{2}}b^{\frac{1}{2}} = b^{\frac{1}{2}}(b^{1-\frac{1}{2}} - a^{\frac{1}{2}}) = b^{\frac{1}{2}}(b^{\frac{1}{2}} - a^{\frac{1}{2}})$.
Подставим разложенные выражения в дробь:
$\frac{a^{\frac{1}{2}}(a^{\frac{1}{2}} - b^{\frac{1}{2}})}{b^{\frac{1}{2}}(b^{\frac{1}{2}} - a^{\frac{1}{2}})}$.
Заметим, что выражения в скобках отличаются только знаком: $(a^{\frac{1}{2}} - b^{\frac{1}{2}}) = -(b^{\frac{1}{2}} - a^{\frac{1}{2}})$.
Перепишем дробь:
$\frac{a^{\frac{1}{2}} \cdot (-(b^{\frac{1}{2}} - a^{\frac{1}{2}}))}{b^{\frac{1}{2}}(b^{\frac{1}{2}} - a^{\frac{1}{2}})} = -\frac{a^{\frac{1}{2}}(b^{\frac{1}{2}} - a^{\frac{1}{2}})}{b^{\frac{1}{2}}(b^{\frac{1}{2}} - a^{\frac{1}{2}})}$.
Сокращаем дробь на общий множитель $(b^{\frac{1}{2}} - a^{\frac{1}{2}})$:
$-\frac{a^{\frac{1}{2}}}{b^{\frac{1}{2}}}$.
Ответ: $-\frac{a^{\frac{1}{2}}}{b^{\frac{1}{2}}}$.

Помогло решение? Оставьте отзыв в комментариях ниже.

Присоединяйтесь к Телеграм-группе @gdz_by_belarus

Присоединиться

Мы подготовили для вас ответ c подробным объяснением домашего задания по алгебре за 11 класс, для упражнения номер 1.18 расположенного на странице 14 к учебнику 2020 года издания для учащихся школ и гимназий.

Теперь на нашем сайте ГДЗ.ТОП вы всегда легко и бесплатно найдёте условие с правильным ответом на вопрос «Как решить ДЗ» и «Как сделать» задание по алгебре к упражнению №1.18 (с. 14), авторов: Арефьева (Ирина Глебовна), Пирютко (Ольга Николаевна), учебного пособия издательства Народная асвета.