Номер 1.20, страница 14 - гдз по алгебре 11 класс учебник Арефьева, Пирютко

Алгебра, 11 класс Учебник, авторы: Арефьева Ирина Глебовна, Пирютко Ольга Николаевна, издательство Народная асвета, Минск, 2020, бирюзового цвета

Авторы: Арефьева И. Г., Пирютко О. Н.

Тип: Учебник

Издательство: Народная асвета

Год издания: 2020 - 2026

Цвет обложки: бирюзовый, зелёный с графиком

ISBN: 978-985-03-3165-6

Популярные ГДЗ в 11 классе

Глава 1. Обобщение понятия степени. Параграф 1. Степень с рациональным показателем и ее свойства. Степень с действительным показателем - номер 1.20, страница 14.

№1.20 (с. 14)
Условие. №1.20 (с. 14)
скриншот условия
Алгебра, 11 класс Учебник, авторы: Арефьева Ирина Глебовна, Пирютко Ольга Николаевна, издательство Народная асвета, Минск, 2020, бирюзового цвета, страница 14, номер 1.20, Условие

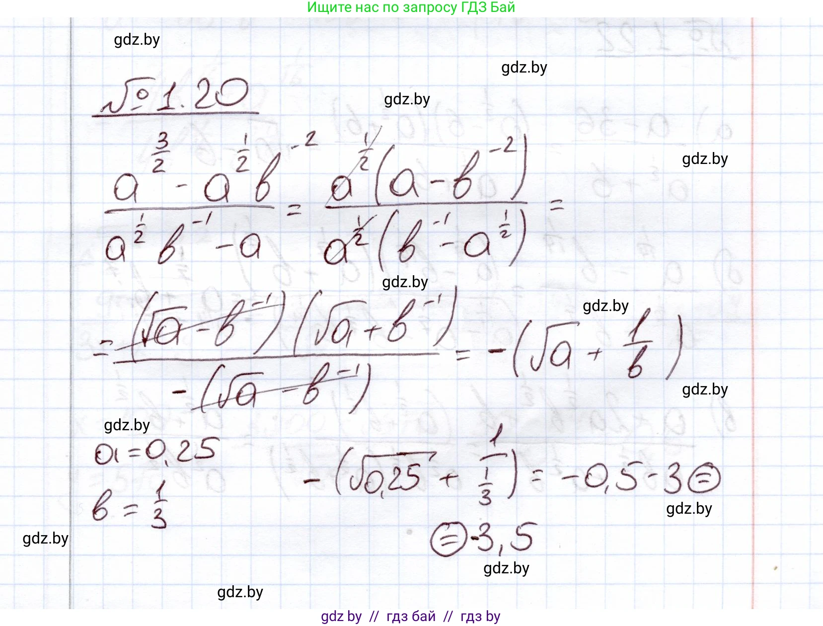
1.20. Сократите дробь $\frac{a^{\frac{3}{2}} - a^{\frac{1}{2}} b^{-2}}{a^{\frac{1}{2}} b^{-1} - a}$ и вычислите ее значение при $a = 0,25$ и $b = \frac{1}{3}$.

Решение. №1.20 (с. 14)
Алгебра, 11 класс Учебник, авторы: Арефьева Ирина Глебовна, Пирютко Ольга Николаевна, издательство Народная асвета, Минск, 2020, бирюзового цвета, страница 14, номер 1.20, Решение
Решение 2. №1.20 (с. 14)

Сократите дробь

Исходное выражение: $ \frac{a^{\frac{3}{2}} - a^{\frac{1}{2}}b^{-2}}{a^{\frac{1}{2}}b^{-1} - a} $.

Сначала преобразуем числитель. Вынесем за скобки общий множитель $a^{\frac{1}{2}}$:
$a^{\frac{3}{2}} - a^{\frac{1}{2}}b^{-2} = a^{\frac{1}{2}}(a - b^{-2})$.
Выражение в скобках представляет собой разность квадратов, так как $a = (a^{\frac{1}{2}})^2$ и $b^{-2} = (b^{-1})^2$. Применим формулу разности квадратов $x^2 - y^2 = (x-y)(x+y)$:
$a - b^{-2} = (a^{\frac{1}{2}} - b^{-1})(a^{\frac{1}{2}} + b^{-1})$.
Таким образом, числитель равен $a^{\frac{1}{2}}(a^{\frac{1}{2}} - b^{-1})(a^{\frac{1}{2}} + b^{-1})$.

Теперь преобразуем знаменатель. Вынесем за скобки общий множитель $a^{\frac{1}{2}}$:
$a^{\frac{1}{2}}b^{-1} - a = a^{\frac{1}{2}}(b^{-1} - a^{\frac{1}{2}})$.
Чтобы выделить множитель, совпадающий с одним из множителей числителя, вынесем знак минус за скобку:
$a^{\frac{1}{2}}(b^{-1} - a^{\frac{1}{2}}) = -a^{\frac{1}{2}}(a^{\frac{1}{2}} - b^{-1})$.

Подставим преобразованные числитель и знаменатель обратно в дробь:
$ \frac{a^{\frac{1}{2}}(a^{\frac{1}{2}} - b^{-1})(a^{\frac{1}{2}} + b^{-1})}{-a^{\frac{1}{2}}(a^{\frac{1}{2}} - b^{-1})} $.

Сократим общие множители $a^{\frac{1}{2}}$ и $(a^{\frac{1}{2}} - b^{-1})$ (при условии, что $a \neq 0$ и $a^{\frac{1}{2}} \neq b^{-1}$):
$ \frac{a^{\frac{1}{2}} + b^{-1}}{-1} = -(a^{\frac{1}{2}} + b^{-1}) $.
Используя свойства степеней ($x^{\frac{1}{2}}=\sqrt{x}$ и $x^{-1}=\frac{1}{x}$), выражение можно записать как: $-(\sqrt{a} + \frac{1}{b})$.
Ответ: $-(a^{\frac{1}{2}} + b^{-1})$.

Вычислите ее значение при $a = 0,25$ и $b = \frac{1}{3}$

Подставим данные значения в упрощенное выражение $-(a^{\frac{1}{2}} + b^{-1})$.
Найдем значение $a^{\frac{1}{2}}$:
$a^{\frac{1}{2}} = \sqrt{a} = \sqrt{0,25} = 0,5$.
Найдем значение $b^{-1}$:
$b^{-1} = \frac{1}{b} = \frac{1}{\frac{1}{3}} = 3$.
Теперь вычислим значение всего выражения:
$-(a^{\frac{1}{2}} + b^{-1}) = -(0,5 + 3) = -3,5$.
Ответ: -3,5.

Помогло решение? Оставьте отзыв в комментариях ниже.

Присоединяйтесь к Телеграм-группе @gdz_by_belarus

Присоединиться

Мы подготовили для вас ответ c подробным объяснением домашего задания по алгебре за 11 класс, для упражнения номер 1.20 расположенного на странице 14 к учебнику 2020 года издания для учащихся школ и гимназий.

Теперь на нашем сайте ГДЗ.ТОП вы всегда легко и бесплатно найдёте условие с правильным ответом на вопрос «Как решить ДЗ» и «Как сделать» задание по алгебре к упражнению №1.20 (с. 14), авторов: Арефьева (Ирина Глебовна), Пирютко (Ольга Николаевна), учебного пособия издательства Народная асвета.