Номер 1.12, страница 13 - гдз по алгебре 11 класс учебник Арефьева, Пирютко

Алгебра, 11 класс Учебник, авторы: Арефьева Ирина Глебовна, Пирютко Ольга Николаевна, издательство Народная асвета, Минск, 2020, бирюзового цвета

Авторы: Арефьева И. Г., Пирютко О. Н.

Тип: Учебник

Издательство: Народная асвета

Год издания: 2020 - 2026

Цвет обложки: бирюзовый, зелёный с графиком

ISBN: 978-985-03-3165-6

Популярные ГДЗ в 11 классе

Глава 1. Обобщение понятия степени. Параграф 1. Степень с рациональным показателем и ее свойства. Степень с действительным показателем - номер 1.12, страница 13.

№1.12 (с. 13)
Условие. №1.12 (с. 13)
скриншот условия
Алгебра, 11 класс Учебник, авторы: Арефьева Ирина Глебовна, Пирютко Ольга Николаевна, издательство Народная асвета, Минск, 2020, бирюзового цвета, страница 13, номер 1.12, Условие

1.12. Вычислите значение выражения:

а) $8^{\frac{4}{3}} \cdot 0.125^{-\frac{2}{3}};$

б) $81^{\frac{3}{4}} : 0.00001^{\frac{4}{5}};$

в) $(\frac{1}{25})^{-0.5} - 4 \cdot 27^{\frac{2}{3}};$

г) $-5 \cdot 81^{-0.75} + 1000^{\frac{4}{3}};$

д) $0.008^{-\frac{1}{3}} - 0.064^{-\frac{2}{3}} + 0.125^{-\frac{4}{3}};$

е) $12^{\frac{5}{6}} : 2^{\frac{1}{3}} \cdot 3^{-\frac{1}{3}}.$

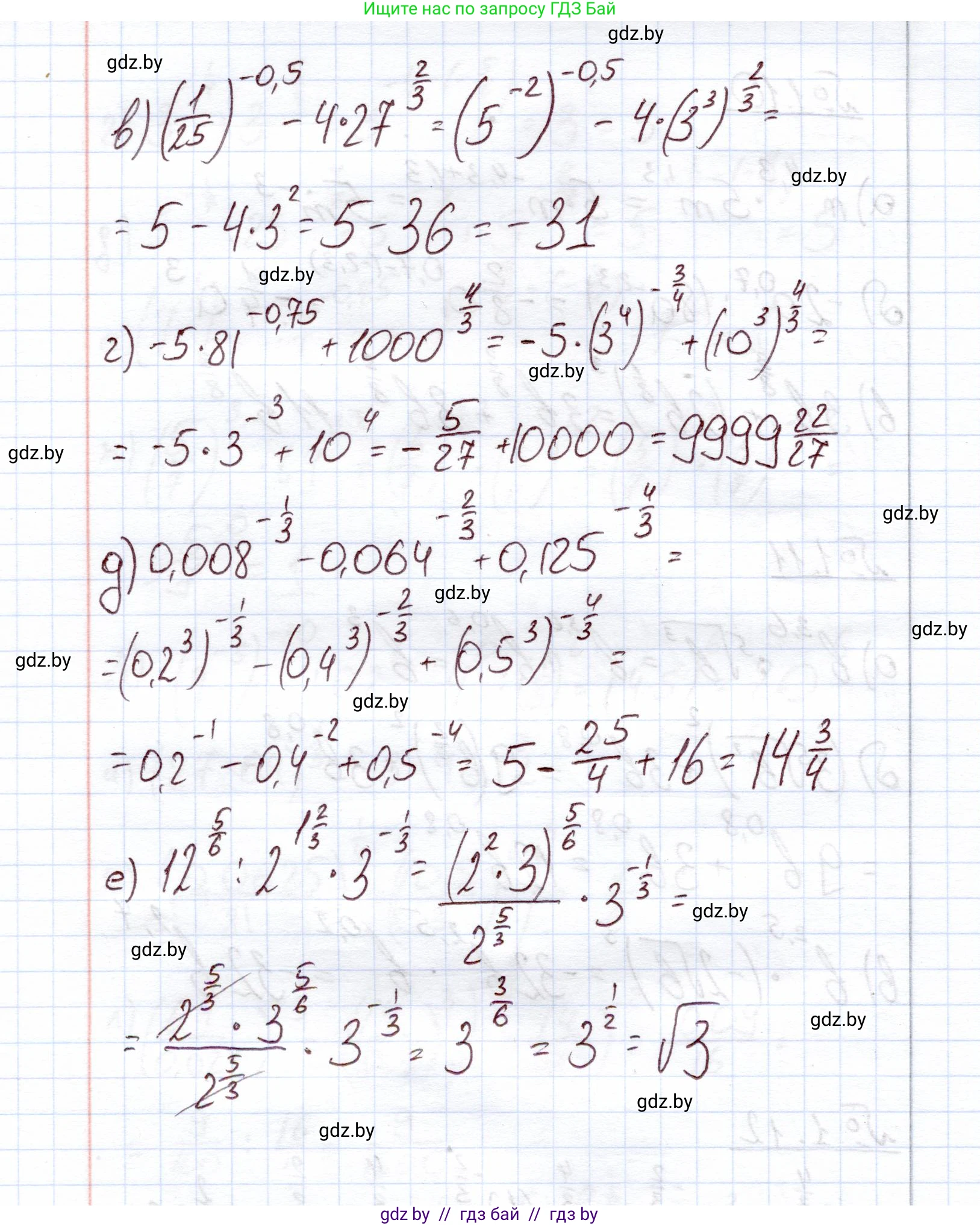
Решение. №1.12 (с. 13)
Алгебра, 11 класс Учебник, авторы: Арефьева Ирина Глебовна, Пирютко Ольга Николаевна, издательство Народная асвета, Минск, 2020, бирюзового цвета, страница 13, номер 1.12, Решение Алгебра, 11 класс Учебник, авторы: Арефьева Ирина Глебовна, Пирютко Ольга Николаевна, издательство Народная асвета, Минск, 2020, бирюзового цвета, страница 13, номер 1.12, Решение (продолжение 2)
Решение 2. №1.12 (с. 13)

а) $8^{\frac{4}{3}} \cdot 0,125^{-\frac{2}{3}}$
Представим основания степеней в виде степеней числа 2.
$8 = 2^3$
$0,125 = \frac{125}{1000} = \frac{1}{8} = 8^{-1} = (2^3)^{-1} = 2^{-3}$
Подставим эти значения в исходное выражение:
$(2^3)^{\frac{4}{3}} \cdot (2^{-3})^{-\frac{2}{3}}$
Используем свойство степени $(a^m)^n = a^{mn}$:
$2^{3 \cdot \frac{4}{3}} \cdot 2^{-3 \cdot (-\frac{2}{3})} = 2^4 \cdot 2^2$
Используем свойство степени $a^m \cdot a^n = a^{m+n}$:
$2^{4+2} = 2^6 = 64$
Ответ: 64

б) $81^{\frac{3}{4}} : 0,00001^{\frac{4}{5}}$
Представим основания степеней в виде степеней.
$81 = 3^4$
$0,00001 = 10^{-5}$
Подставим эти значения в исходное выражение:
$(3^4)^{\frac{3}{4}} : (10^{-5})^{\frac{4}{5}}$
Используем свойство степени $(a^m)^n = a^{mn}$:
$3^{4 \cdot \frac{3}{4}} : 10^{-5 \cdot \frac{4}{5}} = 3^3 : 10^{-4}$
Вычисляем значения:
$27 : 0,0001 = 27 : \frac{1}{10000} = 27 \cdot 10000 = 270000$
Ответ: 270000

в) $(\frac{1}{25})^{-0,5} - 4 \cdot 27^{\frac{2}{3}}$
Вычислим каждое слагаемое по отдельности.
Первое слагаемое: $(\frac{1}{25})^{-0,5}$.
Так как $-0,5 = -\frac{1}{2}$, то $(\frac{1}{25})^{-\frac{1}{2}} = 25^{\frac{1}{2}} = \sqrt{25} = 5$.
Второе слагаемое: $4 \cdot 27^{\frac{2}{3}}$.
Так как $27 = 3^3$, то $27^{\frac{2}{3}} = (3^3)^{\frac{2}{3}} = 3^{3 \cdot \frac{2}{3}} = 3^2 = 9$.
Второе слагаемое равно $4 \cdot 9 = 36$.
Выполним вычитание:
$5 - 36 = -31$
Ответ: -31

г) $-5 \cdot 81^{-0,75} + 1000^{\frac{4}{3}}$
Вычислим каждое слагаемое по отдельности.
Первое слагаемое: $-5 \cdot 81^{-0,75}$.
Так как $-0,75 = -\frac{3}{4}$ и $81 = 3^4$, то $81^{-0,75} = (3^4)^{-\frac{3}{4}} = 3^{4 \cdot (-\frac{3}{4})} = 3^{-3} = \frac{1}{3^3} = \frac{1}{27}$.
Первое слагаемое равно $-5 \cdot \frac{1}{27} = -\frac{5}{27}$.
Второе слагаемое: $1000^{\frac{4}{3}}$.
Так как $1000 = 10^3$, то $1000^{\frac{4}{3}} = (10^3)^{\frac{4}{3}} = 10^{3 \cdot \frac{4}{3}} = 10^4 = 10000$.
Сложим результаты:
$-\frac{5}{27} + 10000 = 10000 - \frac{5}{27} = 9999 + 1 - \frac{5}{27} = 9999 + \frac{27-5}{27} = 9999\frac{22}{27}$
Ответ: $9999\frac{22}{27}$

д) $0,008^{-\frac{1}{3}} - 0,064^{-\frac{2}{3}} + 0,125^{-\frac{4}{3}}$
Представим десятичные дроби в виде степеней.
$0,008 = (0,2)^3$. Тогда $0,008^{-\frac{1}{3}} = ((0,2)^3)^{-\frac{1}{3}} = (0,2)^{-1} = \frac{1}{0,2} = 5$.
$0,064 = (0,4)^3$. Тогда $0,064^{-\frac{2}{3}} = ((0,4)^3)^{-\frac{2}{3}} = (0,4)^{-2} = (\frac{2}{5})^{-2} = (\frac{5}{2})^2 = \frac{25}{4} = 6,25$.
$0,125 = (0,5)^3$. Тогда $0,125^{-\frac{4}{3}} = ((0,5)^3)^{-\frac{4}{3}} = (0,5)^{-4} = (\frac{1}{2})^{-4} = 2^4 = 16$.
Подставим вычисленные значения в выражение:
$5 - 6,25 + 16 = -1,25 + 16 = 14,75$
Ответ: 14,75

е) $12^{\frac{5}{6}} : 2^{1\frac{2}{3}} \cdot 3^{-\frac{1}{3}}$
Поскольку операции деления и умножения имеют одинаковый приоритет, выполняем их последовательно слева направо.
Сначала преобразуем смешанную дробь в неправильную: $1\frac{2}{3} = \frac{5}{3}$.
Представим число 12 в виде произведения простых множителей: $12 = 2^2 \cdot 3$.
Подставим это в выражение: $(2^2 \cdot 3)^{\frac{5}{6}} : 2^{\frac{5}{3}} \cdot 3^{-\frac{1}{3}}$
Раскроем скобки, используя свойство $(ab)^n = a^n b^n$:
$(2^{2 \cdot \frac{5}{6}} \cdot 3^{\frac{5}{6}}) : 2^{\frac{5}{3}} \cdot 3^{-\frac{1}{3}} = (2^{\frac{5}{3}} \cdot 3^{\frac{5}{6}}) : 2^{\frac{5}{3}} \cdot 3^{-\frac{1}{3}}$
Выполним деление $(2^{\frac{5}{3}} \cdot 3^{\frac{5}{6}}) : 2^{\frac{5}{3}} = 3^{\frac{5}{6}}$.
Теперь выполним умножение: $3^{\frac{5}{6}} \cdot 3^{-\frac{1}{3}}$.
Используем свойство $a^m \cdot a^n = a^{m+n}$:
$3^{\frac{5}{6} + (-\frac{1}{3})} = 3^{\frac{5}{6} - \frac{2}{6}} = 3^{\frac{3}{6}} = 3^{\frac{1}{2}} = \sqrt{3}$
Ответ: $\sqrt{3}$

Помогло решение? Оставьте отзыв в комментариях ниже.

Присоединяйтесь к Телеграм-группе @gdz_by_belarus

Присоединиться

Мы подготовили для вас ответ c подробным объяснением домашего задания по алгебре за 11 класс, для упражнения номер 1.12 расположенного на странице 13 к учебнику 2020 года издания для учащихся школ и гимназий.

Теперь на нашем сайте ГДЗ.ТОП вы всегда легко и бесплатно найдёте условие с правильным ответом на вопрос «Как решить ДЗ» и «Как сделать» задание по алгебре к упражнению №1.12 (с. 13), авторов: Арефьева (Ирина Глебовна), Пирютко (Ольга Николаевна), учебного пособия издательства Народная асвета.