Номер 2.261, страница 213 - гдз по алгебре 10 класс учебник Арефьева, Пирютко

Алгебра, 10 класс Учебник, авторы: Арефьева Ирина Глебовна, Пирютко Ольга Николаевна, издательство Народная асвета, Минск, 2019, голубого цвета

Авторы: Арефьева И. Г., Пирютко О. Н.

Тип: Учебник

Издательство: Народная асвета

Год издания: 2019 - 2026

Цвет обложки: голубой с графиком

Допущено Министерством образования Республики Беларусь

Популярные ГДЗ в 10 классе

Глава 2. Корень n-й степени из числа. Параграф 17. Иррациональные уравнения - номер 2.261, страница 213.

№2.261 (с. 213)
Условие. №2.261 (с. 213)
скриншот условия
Алгебра, 10 класс Учебник, авторы: Арефьева Ирина Глебовна, Пирютко Ольга Николаевна, издательство Народная асвета, Минск, 2019, голубого цвета, страница 213, номер 2.261, Условие

2.261. Найдите корни уравнения:

a) $\sqrt[3]{\frac{x-2}{x+3}} + \sqrt[3]{\frac{x+3}{x-2}} = 4,25;$

б) $\sqrt{x^2+x+3} + 1 = \frac{12}{\sqrt{x^2+x+3}}$.

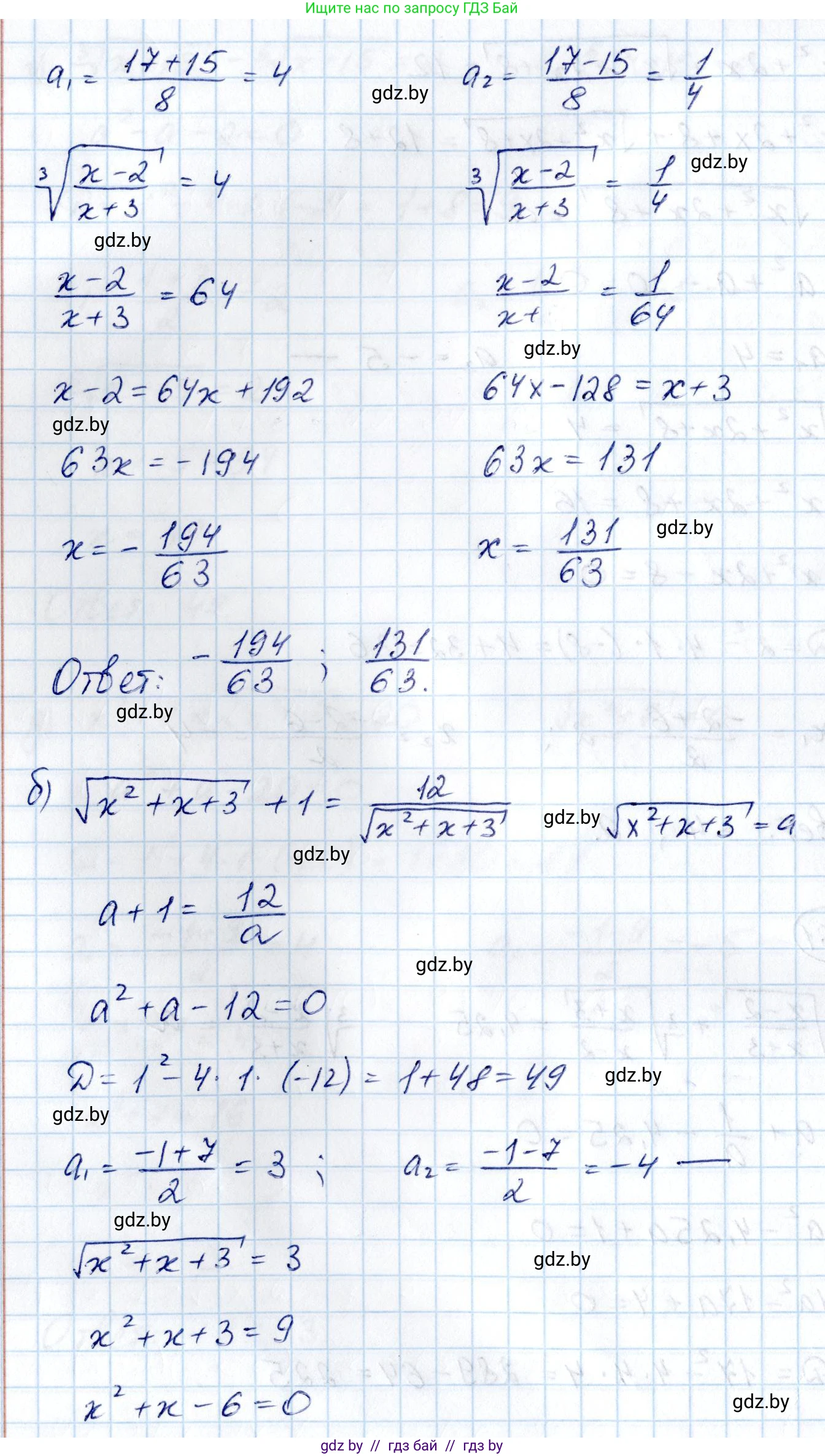
Решение. №2.261 (с. 213)
Алгебра, 10 класс Учебник, авторы: Арефьева Ирина Глебовна, Пирютко Ольга Николаевна, издательство Народная асвета, Минск, 2019, голубого цвета, страница 213, номер 2.261, Решение Алгебра, 10 класс Учебник, авторы: Арефьева Ирина Глебовна, Пирютко Ольга Николаевна, издательство Народная асвета, Минск, 2019, голубого цвета, страница 213, номер 2.261, Решение (продолжение 2)
Решение 2. №2.261 (с. 213)

a) Дано уравнение:

$$ \sqrt[3]{\frac{x-2}{x+3}} + \sqrt[3]{\frac{x+3}{x-2}} = 4,25 $$

Прежде всего, определим область допустимых значений (ОДЗ). Знаменатели дробей под корнем не могут быть равны нулю:

  • $x+3 \neq 0 \implies x \neq -3$
  • $x-2 \neq 0 \implies x \neq 2$

Заметим, что второе слагаемое является обратным к первому. Это позволяет сделать замену переменной. Пусть:

$$ y = \sqrt[3]{\frac{x-2}{x+3}} $$

Тогда второе слагаемое будет равно $\frac{1}{y}$:

$$ \sqrt[3]{\frac{x+3}{x-2}} = \sqrt[3]{\left(\frac{x-2}{x+3}\right)^{-1}} = \left(\sqrt[3]{\frac{x-2}{x+3}}\right)^{-1} = \frac{1}{y} $$

Переведем десятичную дробь $4,25$ в обыкновенную: $4,25 = 4\frac{1}{4} = \frac{17}{4}$.

Подставим замену в исходное уравнение:

$$ y + \frac{1}{y} = \frac{17}{4} $$

Умножим обе части уравнения на $4y$ (при условии, что $y \neq 0$), чтобы избавиться от знаменателей:

$$ 4y^2 + 4 = 17y $$

Перенесем все члены в одну сторону, чтобы получить квадратное уравнение:

$$ 4y^2 - 17y + 4 = 0 $$

Решим это уравнение с помощью дискриминанта $D = b^2 - 4ac$:

$$ D = (-17)^2 - 4 \cdot 4 \cdot 4 = 289 - 64 = 225 = 15^2 $$

Найдем корни для $y$:

$$ y_1 = \frac{-b - \sqrt{D}}{2a} = \frac{17 - 15}{2 \cdot 4} = \frac{2}{8} = \frac{1}{4} $$ $$ y_2 = \frac{-b + \sqrt{D}}{2a} = \frac{17 + 15}{2 \cdot 4} = \frac{32}{8} = 4 $$

Теперь вернемся к исходной переменной $x$, рассмотрев два случая.

Случай 1: $y = 4$

$$ \sqrt[3]{\frac{x-2}{x+3}} = 4 $$

Возведем обе части уравнения в третью степень:

$$ \frac{x-2}{x+3} = 4^3 = 64 $$ $$ x - 2 = 64(x + 3) $$ $$ x - 2 = 64x + 192 $$ $$ x - 64x = 192 + 2 $$ $$ -63x = 194 $$ $$ x_1 = -\frac{194}{63} $$

Случай 2: $y = \frac{1}{4}$

$$ \sqrt[3]{\frac{x-2}{x+3}} = \frac{1}{4} $$

Возведем обе части уравнения в третью степень:

$$ \frac{x-2}{x+3} = \left(\frac{1}{4}\right)^3 = \frac{1}{64} $$ $$ 64(x - 2) = 1(x + 3) $$ $$ 64x - 128 = x + 3 $$ $$ 64x - x = 128 + 3 $$ $$ 63x = 131 $$ $$ x_2 = \frac{131}{63} $$

Оба корня удовлетворяют ОДЗ. Выделим целую часть из полученных неправильных дробей.

$-\frac{194}{63} = -3\frac{5}{63}$

$\frac{131}{63} = 2\frac{5}{63}$

Ответ: $-3\frac{5}{63}$; $2\frac{5}{63}$.


б) Дано уравнение:

$$ \sqrt{x^2+x+3} + 1 = \frac{12}{\sqrt{x^2+x+3}} $$

Найдем ОДЗ. Выражение под квадратным корнем должно быть неотрицательным:

$$ x^2+x+3 \ge 0 $$

Найдем дискриминант этого квадратного трехчлена: $D = 1^2 - 4 \cdot 1 \cdot 3 = 1 - 12 = -11$.

Так как дискриминант отрицательный ($D < 0$) и старший коэффициент положителен ($a=1>0$), то парабола $y=x^2+x+3$ полностью лежит выше оси абсцисс, то есть $x^2+x+3 > 0$ для любых действительных значений $x$. Следовательно, ОДЗ: $x \in (-\infty; +\infty)$.

Введем замену. Пусть:

$$ y = \sqrt{x^2+x+3} $$

Поскольку $x^2+x+3$ всегда положительно, то $y$ также всегда положителен ($y > 0$).

Подставим замену в уравнение:

$$ y + 1 = \frac{12}{y} $$

Умножим обе части на $y$ (зная, что $y \neq 0$):

$$ y(y+1) = 12 $$ $$ y^2 + y - 12 = 0 $$

Решим полученное квадратное уравнение. По теореме Виета, сумма корней равна $-1$, а их произведение равно $-12$. Корни легко находятся:

$$ y_1 = -4, \quad y_2 = 3 $$

Согласно условию замены, $y > 0$. Поэтому корень $y_1 = -4$ является посторонним. Остается единственный корень $y_2 = 3$.

Выполним обратную замену:

$$ \sqrt{x^2+x+3} = 3 $$

Возведем обе части в квадрат:

$$ x^2+x+3 = 3^2 $$ $$ x^2+x+3 = 9 $$ $$ x^2+x-6 = 0 $$

Решим это квадратное уравнение. По теореме Виета, сумма корней равна $-1$, а произведение $-6$. Корни:

$$ x_1 = -3, \quad x_2 = 2 $$

Ответ: -3; 2.

Помогло решение? Оставьте отзыв в комментариях ниже.

Присоединяйтесь к Телеграм-группе @gdz_by_belarus

Присоединиться

Мы подготовили для вас ответ c подробным объяснением домашего задания по алгебре за 10 класс, для упражнения номер 2.261 расположенного на странице 213 к учебнику 2019 года издания для учащихся школ и гимназий.

Теперь на нашем сайте ГДЗ.ТОП вы всегда легко и бесплатно найдёте условие с правильным ответом на вопрос «Как решить ДЗ» и «Как сделать» задание по алгебре к упражнению №2.261 (с. 213), авторов: Арефьева (Ирина Глебовна), Пирютко (Ольга Николаевна), учебного пособия издательства Народная асвета.