Номер 2.254, страница 213 - гдз по алгебре 10 класс учебник Арефьева, Пирютко

Алгебра, 10 класс Учебник, авторы: Арефьева Ирина Глебовна, Пирютко Ольга Николаевна, издательство Народная асвета, Минск, 2019, голубого цвета

Авторы: Арефьева И. Г., Пирютко О. Н.

Тип: Учебник

Издательство: Народная асвета

Год издания: 2019 - 2026

Цвет обложки: голубой с графиком

Допущено Министерством образования Республики Беларусь

Популярные ГДЗ в 10 классе

Глава 2. Корень n-й степени из числа. Параграф 17. Иррациональные уравнения - номер 2.254, страница 213.

№2.254 (с. 213)
Условие. №2.254 (с. 213)
скриншот условия
Алгебра, 10 класс Учебник, авторы: Арефьева Ирина Глебовна, Пирютко Ольга Николаевна, издательство Народная асвета, Минск, 2019, голубого цвета, страница 213, номер 2.254, Условие

2.254. Решите уравнение:

а) $\sqrt{2x + 5} = \sqrt{4x + 1};$

б) $\sqrt[3]{2x + 1} = \sqrt[3]{8 - x};$

в) $\sqrt[4]{2x - 3} = 2\sqrt[4]{x + 3};$

г) $\sqrt{x^2 - 36} - \sqrt{2x - 1} = 0;$

д) $\sqrt{x^2 + 4x - 16} = \sqrt{2x - 1};$

е) $\sqrt[8]{x^2 - 4x + 5} = \sqrt[8]{x - 1}.$

Решение. №2.254 (с. 213)
Алгебра, 10 класс Учебник, авторы: Арефьева Ирина Глебовна, Пирютко Ольга Николаевна, издательство Народная асвета, Минск, 2019, голубого цвета, страница 213, номер 2.254, Решение Алгебра, 10 класс Учебник, авторы: Арефьева Ирина Глебовна, Пирютко Ольга Николаевна, издательство Народная асвета, Минск, 2019, голубого цвета, страница 213, номер 2.254, Решение (продолжение 2)
Решение 2. №2.254 (с. 213)

а) Дано иррациональное уравнение:

$$\sqrt{2x + 5} = \sqrt{4x + 1}$$

Для решения уравнения необходимо, чтобы подкоренные выражения были неотрицательными. Это определяет область допустимых значений (ОДЗ).

1. $2x + 5 \ge 0 \Rightarrow 2x \ge -5 \Rightarrow x \ge -2.5$

2. $4x + 1 \ge 0 \Rightarrow 4x \ge -1 \Rightarrow x \ge -0.25$

Объединяя условия, получаем ОДЗ: $x \ge -0.25$.

Возведем обе части уравнения в квадрат, чтобы избавиться от знака корня:

$$(\sqrt{2x + 5})^2 = (\sqrt{4x + 1})^2$$

$$2x + 5 = 4x + 1$$

Перенесем слагаемые с $x$ в одну сторону, а числа в другую:

$$5 - 1 = 4x - 2x$$

$$4 = 2x$$

$$x = 2$$

Проверим, удовлетворяет ли найденный корень ОДЗ ($x \ge -0.25$).

Поскольку $2 \ge -0.25$, корень $x=2$ является действительным решением уравнения.

Ответ: 2

б) Дано иррациональное уравнение:

$$\sqrt[3]{2x + 1} = \sqrt[3]{8 - x}$$

Поскольку корень нечетной степени (кубический корень) определен для любого действительного числа, область допустимых значений (ОДЗ) для данного уравнения — все действительные числа ($x \in \mathbb{R}$).

Возведем обе части уравнения в третью степень:

$$(\sqrt[3]{2x + 1})^3 = (\sqrt[3]{8 - x})^3$$

$$2x + 1 = 8 - x$$

Решим полученное линейное уравнение:

$$2x + x = 8 - 1$$

$$3x = 7$$

$$x = \frac{7}{3}$$

Так как ограничений на ОДЗ нет, найденное значение является решением уравнения. Выделим целую часть из неправильной дроби.

Ответ: $2\frac{1}{3}$

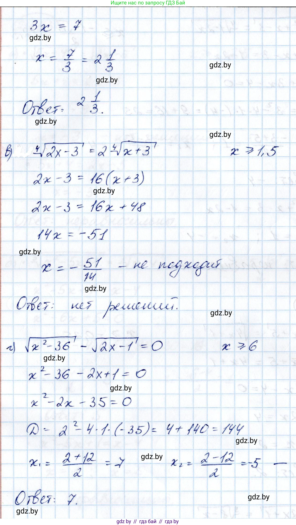
в) Дано иррациональное уравнение:

$$\sqrt[4]{2x - 3} = 2\sqrt[4]{x + 3}$$

Определим ОДЗ. Так как корни четной степени (четвертой), подкоренные выражения должны быть неотрицательны:

1. $2x - 3 \ge 0 \Rightarrow 2x \ge 3 \Rightarrow x \ge 1.5$

2. $x + 3 \ge 0 \Rightarrow x \ge -3$

Общая ОДЗ: $x \ge 1.5$.

Возведем обе части уравнения в четвертую степень:

$$(\sqrt[4]{2x - 3})^4 = (2\sqrt[4]{x + 3})^4$$

$$2x - 3 = 2^4 \cdot (\sqrt[4]{x + 3})^4$$

$$2x - 3 = 16(x + 3)$$

$$2x - 3 = 16x + 48$$

$$ -3 - 48 = 16x - 2x$$

$$-51 = 14x$$

$$x = -\frac{51}{14}$$

Проверим корень на соответствие ОДЗ ($x \ge 1.5$).

$-\frac{51}{14} \approx -3.64$. Это значение не удовлетворяет условию $x \ge 1.5$. Следовательно, найденный корень является посторонним.

Ответ: нет решений

г) Дано иррациональное уравнение:

$$\sqrt{x^2 - 36} - \sqrt{2x - 1} = 0$$

Перепишем уравнение в виде:

$$\sqrt{x^2 - 36} = \sqrt{2x - 1}$$

Определим ОДЗ:

1. $x^2 - 36 \ge 0 \Rightarrow (x-6)(x+6) \ge 0 \Rightarrow x \in (-\infty, -6] \cup [6, \infty)$

2. $2x - 1 \ge 0 \Rightarrow 2x \ge 1 \Rightarrow x \ge 0.5$

Пересечение этих условий дает ОДЗ: $x \ge 6$.

Возведем обе части в квадрат:

$$x^2 - 36 = 2x - 1$$

$$x^2 - 2x - 35 = 0$$

Решим квадратное уравнение с помощью теоремы Виета. Ищем два числа, произведение которых равно -35, а сумма равна 2. Это числа 7 и -5.

Корни: $x_1 = 7$, $x_2 = -5$.

Проверим корни на соответствие ОДЗ ($x \ge 6$):

$x_1 = 7$: $7 \ge 6$ (верно).

$x_2 = -5$: $-5 \ge 6$ (неверно). Корень $x=-5$ является посторонним.

Ответ: 7

д) Дано иррациональное уравнение:

$$\sqrt{x^2 + 4x - 16} = \sqrt{2x - 1}$$

Определим ОДЗ:

1. $2x - 1 \ge 0 \Rightarrow x \ge 0.5$

2. $x^2 + 4x - 16 \ge 0$. Найдем корни $x^2 + 4x - 16 = 0$: $D = 16-4(-16)=80$, $x = \frac{-4 \pm \sqrt{80}}{2} = -2 \pm 2\sqrt{5}$. Таким образом, $x \in (-\infty, -2-2\sqrt{5}] \cup [-2+2\sqrt{5}, \infty)$.

Приближенно $ -2+2\sqrt{5} \approx 2.47$. Пересекая с $x \ge 0.5$, получаем ОДЗ: $x \ge -2+2\sqrt{5}$.

Возведем обе части в квадрат:

$$x^2 + 4x - 16 = 2x - 1$$

$$x^2 + 2x - 15 = 0$$

По теореме Виета, произведение корней равно -15, сумма равна -2. Корни: $x_1 = 3$, $x_2 = -5$.

Проверим корни на соответствие ОДЗ ($x \ge -2+2\sqrt{5} \approx 2.47$):

$x_1 = 3$: $3 \ge 2.47$ (верно).

$x_2 = -5$: $-5 \ge 2.47$ (неверно). Корень $x=-5$ является посторонним.

Ответ: 3

е) Дано иррациональное уравнение:

$$\sqrt[8]{x^2 - 4x + 5} = \sqrt[8]{x - 1}$$

Определим ОДЗ. Так как корни четной степени, подкоренные выражения должны быть неотрицательны:

1. $x - 1 \ge 0 \Rightarrow x \ge 1$

2. $x^2 - 4x + 5 \ge 0$. Дискриминант этого квадратного трехчлена $D = (-4)^2 - 4 \cdot 1 \cdot 5 = 16 - 20 = -4$. Поскольку $D<0$ и коэффициент при $x^2$ положителен ($a=1>0$), выражение $x^2 - 4x + 5$ всегда положительно.

Следовательно, ОДЗ уравнения: $x \ge 1$.

Возведем обе части уравнения в восьмую степень:

$$x^2 - 4x + 5 = x - 1$$

$$x^2 - 5x + 6 = 0$$

По теореме Виета, произведение корней равно 6, а сумма равна 5. Корни: $x_1 = 2$, $x_2 = 3$.

Проверим оба корня на соответствие ОДЗ ($x \ge 1$):

$x_1 = 2$: $2 \ge 1$ (верно).

$x_2 = 3$: $3 \ge 1$ (верно).

Оба корня подходят.

Ответ: 2; 3

Помогло решение? Оставьте отзыв в комментариях ниже.

Присоединяйтесь к Телеграм-группе @gdz_by_belarus

Присоединиться

Мы подготовили для вас ответ c подробным объяснением домашего задания по алгебре за 10 класс, для упражнения номер 2.254 расположенного на странице 213 к учебнику 2019 года издания для учащихся школ и гимназий.

Теперь на нашем сайте ГДЗ.ТОП вы всегда легко и бесплатно найдёте условие с правильным ответом на вопрос «Как решить ДЗ» и «Как сделать» задание по алгебре к упражнению №2.254 (с. 213), авторов: Арефьева (Ирина Глебовна), Пирютко (Ольга Николаевна), учебного пособия издательства Народная асвета.