Номер 2.263, страница 214 - гдз по алгебре 10 класс учебник Арефьева, Пирютко

Алгебра, 10 класс Учебник, авторы: Арефьева Ирина Глебовна, Пирютко Ольга Николаевна, издательство Народная асвета, Минск, 2019, голубого цвета

Авторы: Арефьева И. Г., Пирютко О. Н.

Тип: Учебник

Издательство: Народная асвета

Год издания: 2019 - 2026

Цвет обложки: голубой с графиком

Допущено Министерством образования Республики Беларусь

Популярные ГДЗ в 10 классе

Глава 2. Корень n-й степени из числа. Параграф 17. Иррациональные уравнения - номер 2.263, страница 214.

№2.263 (с. 214)
Условие. №2.263 (с. 214)
скриншот условия
Алгебра, 10 класс Учебник, авторы: Арефьева Ирина Глебовна, Пирютко Ольга Николаевна, издательство Народная асвета, Минск, 2019, голубого цвета, страница 214, номер 2.263, Условие

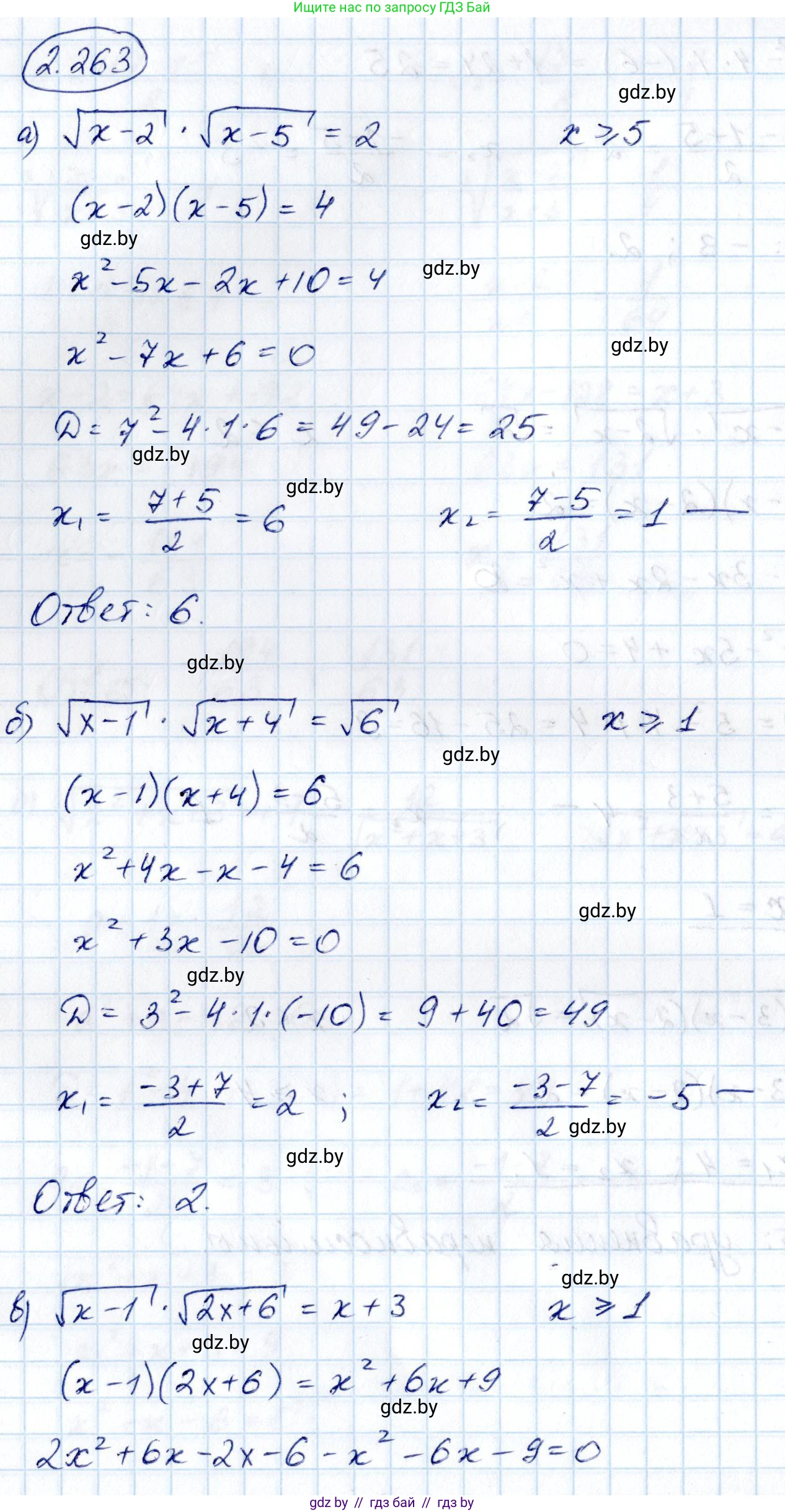
2.263. Найдите корни уравнения:

а) $ \sqrt{x-2} \cdot \sqrt{x-5} = 2; $

б) $ \sqrt{x-1} \sqrt{x+4} = \sqrt{6}; $

в) $ \sqrt{x-1} \cdot \sqrt{2x+6} = x+3; $

г) $ \frac{2}{\sqrt{2-x}} = \frac{\sqrt{x+6}}{x+4}. $

Решение. №2.263 (с. 214)
Алгебра, 10 класс Учебник, авторы: Арефьева Ирина Глебовна, Пирютко Ольга Николаевна, издательство Народная асвета, Минск, 2019, голубого цвета, страница 214, номер 2.263, Решение Алгебра, 10 класс Учебник, авторы: Арефьева Ирина Глебовна, Пирютко Ольга Николаевна, издательство Народная асвета, Минск, 2019, голубого цвета, страница 214, номер 2.263, Решение (продолжение 2)
Решение 2. №2.263 (с. 214)

а) $\sqrt{x-2} \cdot \sqrt{x-5} = 2$

Найдем область допустимых значений (ОДЗ). Выражения под знаком корня должны быть неотрицательными:

$x - 2 \ge 0 \Rightarrow x \ge 2$
$x - 5 \ge 0 \Rightarrow x \ge 5$

Пересечением этих условий является $x \ge 5$.

Возведем обе части уравнения в квадрат, так как обе части неотрицательны в ОДЗ:

$(\sqrt{x-2} \cdot \sqrt{x-5})^2 = 2^2$

$(x-2)(x-5) = 4$

$x^2 - 5x - 2x + 10 = 4$

$x^2 - 7x + 6 = 0$

Решим квадратное уравнение. По теореме Виета, корни уравнения: $x_1 = 1$, $x_2 = 6$.

Проверим корни на принадлежность ОДЗ ($x \ge 5$):

$x_1 = 1$ не удовлетворяет условию $1 \ge 5$, следовательно, это посторонний корень.

$x_2 = 6$ удовлетворяет условию $6 \ge 5$.

Ответ: 6

б) $\sqrt{x-1}\sqrt{x+4} = \sqrt{6}$

Найдем ОДЗ:

$x - 1 \ge 0 \Rightarrow x \ge 1$
$x + 4 \ge 0 \Rightarrow x \ge -4$

Пересечением условий является $x \ge 1$.

Возведем обе части уравнения в квадрат:

$(\sqrt{x-1}\sqrt{x+4})^2 = (\sqrt{6})^2$

$(x-1)(x+4) = 6$

$x^2 + 4x - x - 4 = 6$

$x^2 + 3x - 10 = 0$

Решим квадратное уравнение с помощью дискриминанта:

$D = b^2 - 4ac = 3^2 - 4 \cdot 1 \cdot (-10) = 9 + 40 = 49$

$x_{1,2} = \frac{-b \pm \sqrt{D}}{2a} = \frac{-3 \pm 7}{2}$

$x_1 = \frac{-3+7}{2} = \frac{4}{2} = 2$

$x_2 = \frac{-3-7}{2} = \frac{-10}{2} = -5$

Проверим корни на принадлежность ОДЗ ($x \ge 1$):

$x_1 = 2$ удовлетворяет условию $2 \ge 1$.

$x_2 = -5$ не удовлетворяет условию $-5 \ge 1$, это посторонний корень.

Ответ: 2

в) $\sqrt{x-1} \cdot \sqrt{2x+6} = x+3$

Найдем ОДЗ:

$x - 1 \ge 0 \Rightarrow x \ge 1$
$2x + 6 \ge 0 \Rightarrow 2x \ge -6 \Rightarrow x \ge -3$

Также, так как левая часть уравнения неотрицательна, правая часть тоже должна быть неотрицательной:

$x + 3 \ge 0 \Rightarrow x \ge -3$

Пересечением всех условий ($x \ge 1$, $x \ge -3$) является $x \ge 1$.

Возведем обе части уравнения в квадрат:

$(\sqrt{x-1} \cdot \sqrt{2x+6})^2 = (x+3)^2$

$(x-1)(2x+6) = x^2 + 6x + 9$

$2x^2 + 6x - 2x - 6 = x^2 + 6x + 9$

$2x^2 + 4x - 6 = x^2 + 6x + 9$

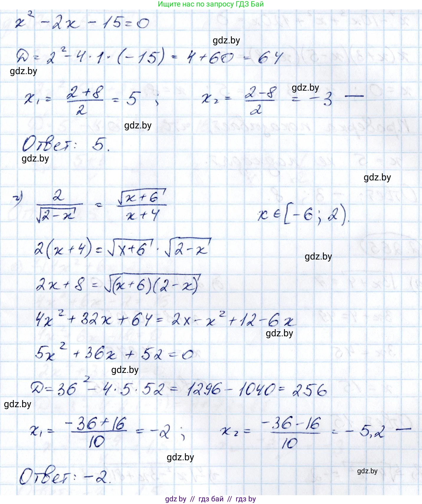
$x^2 - 2x - 15 = 0$

По теореме Виета, корни уравнения: $x_1 = 5$, $x_2 = -3$.

Проверим корни на принадлежность ОДЗ ($x \ge 1$):

$x_1 = 5$ удовлетворяет условию $5 \ge 1$.

$x_2 = -3$ не удовлетворяет условию $-3 \ge 1$, это посторонний корень.

Ответ: 5

г) $\frac{2}{\sqrt{2-x}} = \frac{\sqrt{x+6}}{x+4}$

Найдем ОДЗ:

$2 - x > 0 \Rightarrow x < 2$
$x + 6 \ge 0 \Rightarrow x \ge -6$
$x + 4 \neq 0 \Rightarrow x \neq -4$

Объединяя условия, получаем: $x \in [-6, -4) \cup (-4, 2)$.

Левая часть уравнения всегда положительна, так как числитель 2, а знаменатель $\sqrt{2-x}$ положителен в ОДЗ. Следовательно, и правая часть должна быть положительной:

$\frac{\sqrt{x+6}}{x+4} > 0$

Так как $\sqrt{x+6} \ge 0$, для положительности дроби необходимо, чтобы знаменатель был положителен: $x+4 > 0 \Rightarrow x > -4$. Также числитель не должен быть равен нулю ($x \neq -6$).

Новое, более строгое ОДЗ является пересечением $x \in [-6, -4) \cup (-4, 2)$ и $x > -4$, что дает $x \in (-4, 2)$.

Возведем обе части в квадрат:

$(\frac{2}{\sqrt{2-x}})^2 = (\frac{\sqrt{x+6}}{x+4})^2$

$\frac{4}{2-x} = \frac{x+6}{(x+4)^2}$

Используем правило пропорции:

$4(x+4)^2 = (2-x)(x+6)$

$4(x^2 + 8x + 16) = -x^2 - 6x + 2x + 12$

$4(x^2 + 8x + 16) = -x^2 - 4x + 12$

$4x^2 + 32x + 64 = -x^2 - 4x + 12$

$5x^2 + 36x + 52 = 0$

Решим квадратное уравнение:

$D = 36^2 - 4 \cdot 5 \cdot 52 = 1296 - 1040 = 256 = 16^2$

$x_{1,2} = \frac{-36 \pm 16}{10}$

$x_1 = \frac{-36+16}{10} = \frac{-20}{10} = -2$

$x_2 = \frac{-36-16}{10} = \frac{-52}{10} = -5.2$

Проверим корни на принадлежность ОДЗ ($x \in (-4, 2)$):

$x_1 = -2$ удовлетворяет условию $-4 < -2 < 2$.

$x_2 = -5.2$ не удовлетворяет условию, так как $-5.2 < -4$. Это посторонний корень.

Ответ: -2

Помогло решение? Оставьте отзыв в комментариях ниже.

Присоединяйтесь к Телеграм-группе @gdz_by_belarus

Присоединиться

Мы подготовили для вас ответ c подробным объяснением домашего задания по алгебре за 10 класс, для упражнения номер 2.263 расположенного на странице 214 к учебнику 2019 года издания для учащихся школ и гимназий.

Теперь на нашем сайте ГДЗ.ТОП вы всегда легко и бесплатно найдёте условие с правильным ответом на вопрос «Как решить ДЗ» и «Как сделать» задание по алгебре к упражнению №2.263 (с. 214), авторов: Арефьева (Ирина Глебовна), Пирютко (Ольга Николаевна), учебного пособия издательства Народная асвета.