Номер 2.249, страница 212 - гдз по алгебре 10 класс учебник Арефьева, Пирютко

Алгебра, 10 класс Учебник, авторы: Арефьева Ирина Глебовна, Пирютко Ольга Николаевна, издательство Народная асвета, Минск, 2019, голубого цвета

Авторы: Арефьева И. Г., Пирютко О. Н.

Тип: Учебник

Издательство: Народная асвета

Год издания: 2019 - 2026

Цвет обложки: голубой с графиком

Допущено Министерством образования Республики Беларусь

Популярные ГДЗ в 10 классе

Глава 2. Корень n-й степени из числа. Параграф 17. Иррациональные уравнения - номер 2.249, страница 212.

№2.249 (с. 212)
Условие. №2.249 (с. 212)
скриншот условия
Алгебра, 10 класс Учебник, авторы: Арефьева Ирина Глебовна, Пирютко Ольга Николаевна, издательство Народная асвета, Минск, 2019, голубого цвета, страница 212, номер 2.249, Условие

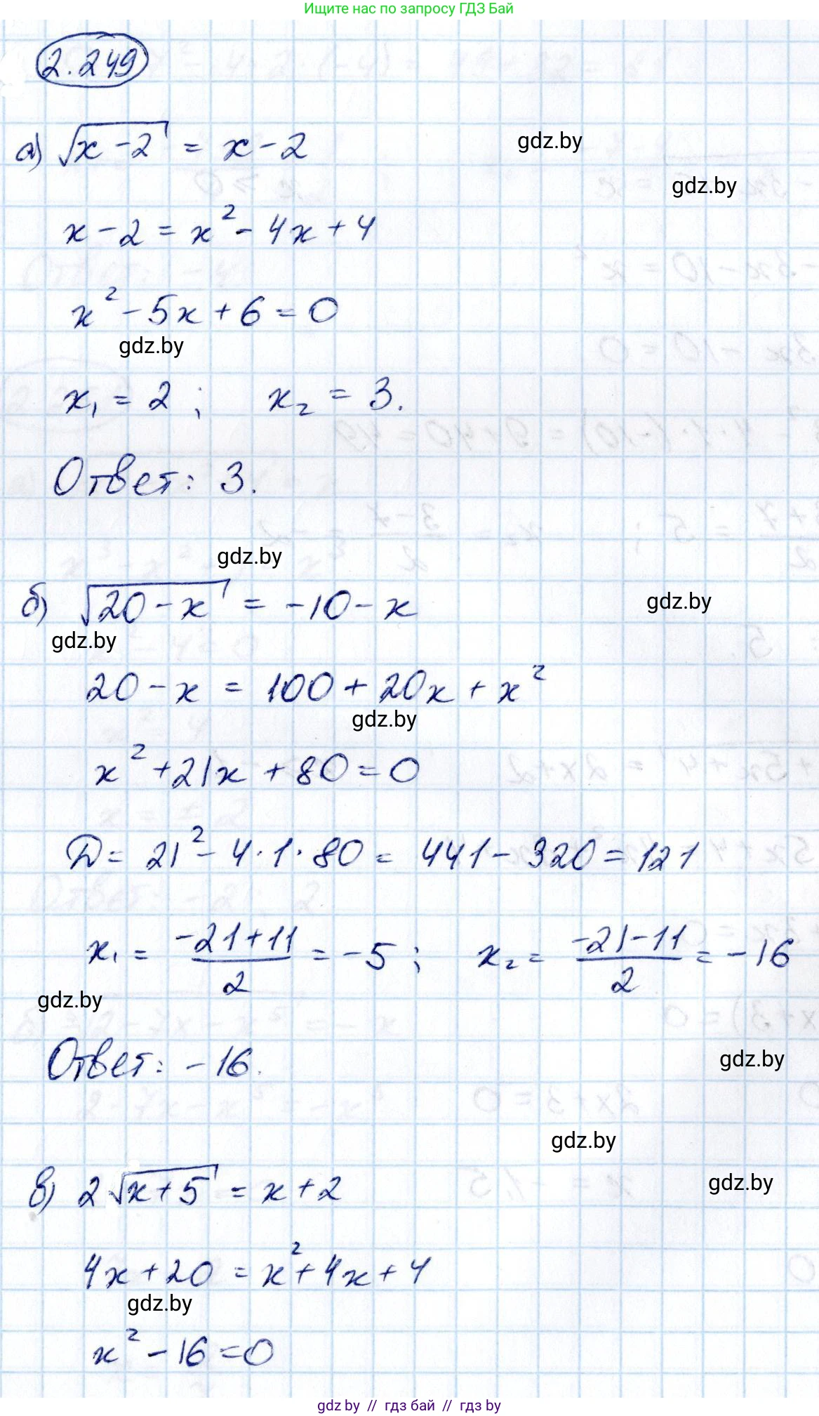
2.249. Найдите значения переменной, при которых равны значения выражений:

a) $\sqrt{x - 2}$ и $x - 2$;

б) $\sqrt{20 - x}$ и $-10 - x$;

в) $x + 2$ и $2\sqrt{x + 5}$.

Решение. №2.249 (с. 212)
Алгебра, 10 класс Учебник, авторы: Арефьева Ирина Глебовна, Пирютко Ольга Николаевна, издательство Народная асвета, Минск, 2019, голубого цвета, страница 212, номер 2.249, Решение Алгебра, 10 класс Учебник, авторы: Арефьева Ирина Глебовна, Пирютко Ольга Николаевна, издательство Народная асвета, Минск, 2019, голубого цвета, страница 212, номер 2.249, Решение (продолжение 2)
Решение 2. №2.249 (с. 212)

а) Чтобы найти значения переменной, при которых значения выражений равны, необходимо приравнять их и решить полученное уравнение:
$ \sqrt{x-2} = x - 2 $
Определим область допустимых значений (ОДЗ). Выражение под знаком корня должно быть неотрицательным:
$ x - 2 \ge 0 \implies x \ge 2 $
Поскольку правая часть уравнения ($x-2$) равна арифметическому квадратному корню, она также должна быть неотрицательной, что приводит к тому же самому условию $x \ge 2$.
Возведем обе части уравнения в квадрат, чтобы избавиться от корня:
$ (\sqrt{x-2})^2 = (x - 2)^2 $
$ x - 2 = (x - 2)^2 $
Перенесем все члены уравнения в одну сторону:
$ (x - 2)^2 - (x - 2) = 0 $
Вынесем общий множитель $(x-2)$ за скобки:
$ (x - 2)((x - 2) - 1) = 0 $
$ (x - 2)(x - 3) = 0 $
Произведение равно нулю, если один из множителей равен нулю. Отсюда получаем два возможных решения:
1) $ x - 2 = 0 \implies x_1 = 2 $
2) $ x - 3 = 0 \implies x_2 = 3 $
Оба корня ($x=2$ и $x=3$) удовлетворяют ОДЗ ($x \ge 2$).
Ответ: 2; 3.

б) Приравняем данные выражения:
$ \sqrt{20-x} = -10 - x $
Определим ОДЗ.
1. Выражение под корнем должно быть неотрицательным: $ 20 - x \ge 0 \implies x \le 20 $.
2. Правая часть уравнения, равная значению корня, также должна быть неотрицательной: $ -10 - x \ge 0 \implies -x \ge 10 \implies x \le -10 $.
Общее ОДЗ для уравнения является пересечением этих двух условий: $ x \le -10 $.
Возведем обе части уравнения в квадрат:
$ (\sqrt{20-x})^2 = (-10 - x)^2 $
$ 20 - x = (-(10+x))^2 $
$ 20 - x = (10+x)^2 $
$ 20 - x = 100 + 20x + x^2 $
Приведем уравнение к стандартному квадратному виду $ax^2+bx+c=0$:
$ x^2 + 20x + x + 100 - 20 = 0 $
$ x^2 + 21x + 80 = 0 $
Решим квадратное уравнение с помощью дискриминанта:
$ D = b^2 - 4ac = 21^2 - 4 \cdot 1 \cdot 80 = 441 - 320 = 121 = 11^2 $
$ x_1 = \frac{-b - \sqrt{D}}{2a} = \frac{-21 - 11}{2} = \frac{-32}{2} = -16 $
$ x_2 = \frac{-b + \sqrt{D}}{2a} = \frac{-21 + 11}{2} = \frac{-10}{2} = -5 $
Теперь проверим найденные корни на соответствие ОДЗ ($ x \le -10 $):
$ x_1 = -16 $ удовлетворяет условию, так как $ -16 \le -10 $.
$ x_2 = -5 $ не удовлетворяет условию, так как $ -5 \not\le -10 $. Следовательно, это посторонний корень.
Ответ: -16.

в) Приравняем выражения:
$ x + 2 = 2\sqrt{x} + 5 $
ОДЗ для данного уравнения: $ x \ge 0 $, так как подкоренное выражение не может быть отрицательным.
Для решения уравнения сгруппируем члены так, чтобы изолировать корень:
$ x - 3 = 2\sqrt{x} $
Перед возведением в квадрат необходимо учесть, что левая часть уравнения ($x-3$) должна быть неотрицательной, поскольку она равна $2\sqrt{x} \ge 0$.
$ x - 3 \ge 0 \implies x \ge 3 $
Это условие ($x \ge 3$) является более строгим, чем первоначальное ОДЗ ($x \ge 0$), поэтому используем его.
Возведем обе части уравнения $ x - 3 = 2\sqrt{x} $ в квадрат:
$ (x - 3)^2 = (2\sqrt{x})^2 $
$ x^2 - 6x + 9 = 4x $
$ x^2 - 10x + 9 = 0 $
Решим полученное квадратное уравнение. По теореме Виета, сумма корней равна 10, а их произведение равно 9. Корни легко подбираются:
$ x_1 = 1, x_2 = 9 $
Проверим корни на соответствие условию $ x \ge 3 $:
$ x_1 = 1 $ не удовлетворяет условию ($1 \not\ge 3$), значит, это посторонний корень.
$ x_2 = 9 $ удовлетворяет условию ($9 \ge 3$).
Ответ: 9.

Помогло решение? Оставьте отзыв в комментариях ниже.

Присоединяйтесь к Телеграм-группе @gdz_by_belarus

Присоединиться

Мы подготовили для вас ответ c подробным объяснением домашего задания по алгебре за 10 класс, для упражнения номер 2.249 расположенного на странице 212 к учебнику 2019 года издания для учащихся школ и гимназий.

Теперь на нашем сайте ГДЗ.ТОП вы всегда легко и бесплатно найдёте условие с правильным ответом на вопрос «Как решить ДЗ» и «Как сделать» задание по алгебре к упражнению №2.249 (с. 212), авторов: Арефьева (Ирина Глебовна), Пирютко (Ольга Николаевна), учебного пособия издательства Народная асвета.