Номер 2.245, страница 212 - гдз по алгебре 10 класс учебник Арефьева, Пирютко

Алгебра, 10 класс Учебник, авторы: Арефьева Ирина Глебовна, Пирютко Ольга Николаевна, издательство Народная асвета, Минск, 2019, голубого цвета

Авторы: Арефьева И. Г., Пирютко О. Н.

Тип: Учебник

Издательство: Народная асвета

Год издания: 2019 - 2026

Цвет обложки: голубой с графиком

Допущено Министерством образования Республики Беларусь

Популярные ГДЗ в 10 классе

Глава 2. Корень n-й степени из числа. Параграф 17. Иррациональные уравнения - номер 2.245, страница 212.

№2.245 (с. 212)
Условие. №2.245 (с. 212)
скриншот условия
Алгебра, 10 класс Учебник, авторы: Арефьева Ирина Глебовна, Пирютко Ольга Николаевна, издательство Народная асвета, Минск, 2019, голубого цвета, страница 212, номер 2.245, Условие

2.245. Решите уравнение:

а) $\sqrt[3]{x^2 - 31} = -3;$

б) $\sqrt[4]{x^2 - 6x + 16} = 2;$

В) $\sqrt{3x^2 - x - 15} = 3;$

Г) $\sqrt{16x^2 + 16x + 29} = 5;$

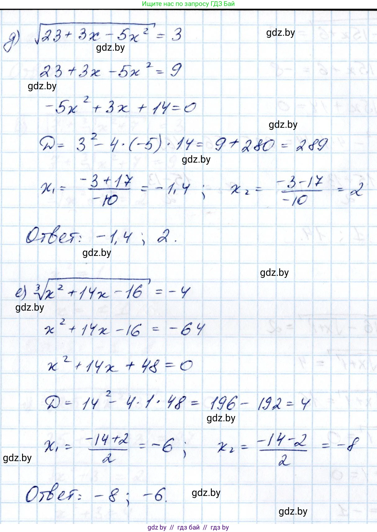
Д) $\sqrt{23 + 3x - 5x^2} = 3;$

е) $\sqrt[3]{x^2 + 14x - 16} = -4.$

Решение. №2.245 (с. 212)
Алгебра, 10 класс Учебник, авторы: Арефьева Ирина Глебовна, Пирютко Ольга Николаевна, издательство Народная асвета, Минск, 2019, голубого цвета, страница 212, номер 2.245, Решение Алгебра, 10 класс Учебник, авторы: Арефьева Ирина Глебовна, Пирютко Ольга Николаевна, издательство Народная асвета, Минск, 2019, голубого цвета, страница 212, номер 2.245, Решение (продолжение 2)
Решение 2. №2.245 (с. 212)

а) $\sqrt[3]{x^2 - 31} = -3$
Возведем обе части уравнения в третью степень, чтобы избавиться от кубического корня:
$(\sqrt[3]{x^2 - 31})^3 = (-3)^3$
$x^2 - 31 = -27$
Перенесем -31 в правую часть:
$x^2 = -27 + 31$
$x^2 = 4$
Извлечем квадратный корень из обеих частей:
$x_1 = 2$, $x_2 = -2$
Ответ: 2; -2.

б) $\sqrt[4]{x^2 - 6x + 16} = 2$
Возведем обе части уравнения в четвертую степень. Так как корень четной степени, результат (2) должен быть неотрицательным, что выполняется.
$(\sqrt[4]{x^2 - 6x + 16})^4 = 2^4$
$x^2 - 6x + 16 = 16$
Перенесем 16 в левую часть:
$x^2 - 6x = 0$
Вынесем $x$ за скобки:
$x(x - 6) = 0$
Отсюда получаем два корня:
$x_1 = 0$ или $x - 6 = 0 \implies x_2 = 6$
Ответ: 0; 6.

в) $\sqrt{3x^2 - x - 15} = 3$
Возведем обе части уравнения в квадрат. Так как корень четной степени, результат (3) должен быть неотрицательным, что выполняется.
$(\sqrt{3x^2 - x - 15})^2 = 3^2$
$3x^2 - x - 15 = 9$
Перенесем 9 в левую часть, чтобы получить стандартное квадратное уравнение:
$3x^2 - x - 24 = 0$
Решим квадратное уравнение с помощью дискриминанта $D = b^2 - 4ac$:
$D = (-1)^2 - 4(3)(-24) = 1 + 288 = 289 = 17^2$
Найдем корни:
$x_1 = \frac{-(-1) + 17}{2 \cdot 3} = \frac{18}{6} = 3$
$x_2 = \frac{-(-1) - 17}{2 \cdot 3} = \frac{-16}{6} = -\frac{8}{3} = -2\frac{2}{3}$
Ответ: 3; $-2\frac{2}{3}$.

г) $\sqrt{16x^2 + 16x + 29} = 5$
Возведем обе части уравнения в квадрат:
$(\sqrt{16x^2 + 16x + 29})^2 = 5^2$
$16x^2 + 16x + 29 = 25$
Перенесем 25 в левую часть:
$16x^2 + 16x + 4 = 0$
Разделим все уравнение на 4 для упрощения:
$4x^2 + 4x + 1 = 0$
Левая часть является полным квадратом:
$(2x + 1)^2 = 0$
Отсюда:
$2x + 1 = 0$
$2x = -1$
$x = -\frac{1}{2}$
Ответ: $-\frac{1}{2}$.

д) $\sqrt{23 + 3x - 5x^2} = 3$
Возведем обе части уравнения в квадрат:
$(\sqrt{23 + 3x - 5x^2})^2 = 3^2$
$23 + 3x - 5x^2 = 9$
Перенесем все члены в одну сторону, чтобы получить стандартное квадратное уравнение:
$-5x^2 + 3x + 23 - 9 = 0$
$-5x^2 + 3x + 14 = 0$
Умножим на -1 для удобства:
$5x^2 - 3x - 14 = 0$
Решим с помощью дискриминанта $D = b^2 - 4ac$:
$D = (-3)^2 - 4(5)(-14) = 9 + 280 = 289 = 17^2$
Найдем корни:
$x_1 = \frac{-(-3) + 17}{2 \cdot 5} = \frac{20}{10} = 2$
$x_2 = \frac{-(-3) - 17}{2 \cdot 5} = \frac{-14}{10} = -\frac{7}{5} = -1\frac{2}{5}$
Ответ: 2; $-1\frac{2}{5}$.

е) $\sqrt[3]{x^2 + 14x - 16} = -4$
Возведем обе части уравнения в третью степень:
$(\sqrt[3]{x^2 + 14x - 16})^3 = (-4)^3$
$x^2 + 14x - 16 = -64$
Перенесем -64 в левую часть:
$x^2 + 14x - 16 + 64 = 0$
$x^2 + 14x + 48 = 0$
Решим квадратное уравнение с помощью теоремы Виета. Сумма корней $x_1 + x_2 = -14$, а произведение $x_1 \cdot x_2 = 48$. Подбором находим корни:
$x_1 = -6$, $x_2 = -8$
Ответ: -6; -8.

Помогло решение? Оставьте отзыв в комментариях ниже.

Присоединяйтесь к Телеграм-группе @gdz_by_belarus

Присоединиться

Мы подготовили для вас ответ c подробным объяснением домашего задания по алгебре за 10 класс, для упражнения номер 2.245 расположенного на странице 212 к учебнику 2019 года издания для учащихся школ и гимназий.

Теперь на нашем сайте ГДЗ.ТОП вы всегда легко и бесплатно найдёте условие с правильным ответом на вопрос «Как решить ДЗ» и «Как сделать» задание по алгебре к упражнению №2.245 (с. 212), авторов: Арефьева (Ирина Глебовна), Пирютко (Ольга Николаевна), учебного пособия издательства Народная асвета.