Номер 1.348, страница 113 - гдз по алгебре 10 класс учебник Арефьева, Пирютко

Алгебра, 10 класс Учебник, авторы: Арефьева Ирина Глебовна, Пирютко Ольга Николаевна, издательство Народная асвета, Минск, 2019, голубого цвета

Авторы: Арефьева И. Г., Пирютко О. Н.

Тип: Учебник

Издательство: Народная асвета

Год издания: 2019 - 2026

Цвет обложки: голубой с графиком

Допущено Министерством образования Республики Беларусь

Популярные ГДЗ в 10 классе

Глава 1. Тригонометрия. Параграф 8. Тригонометрические уравнения - номер 1.348, страница 113.

№1.348 (с. 113)
Условие. №1.348 (с. 113)
скриншот условия
Алгебра, 10 класс Учебник, авторы: Арефьева Ирина Глебовна, Пирютко Ольга Николаевна, издательство Народная асвета, Минск, 2019, голубого цвета, страница 113, номер 1.348, Условие

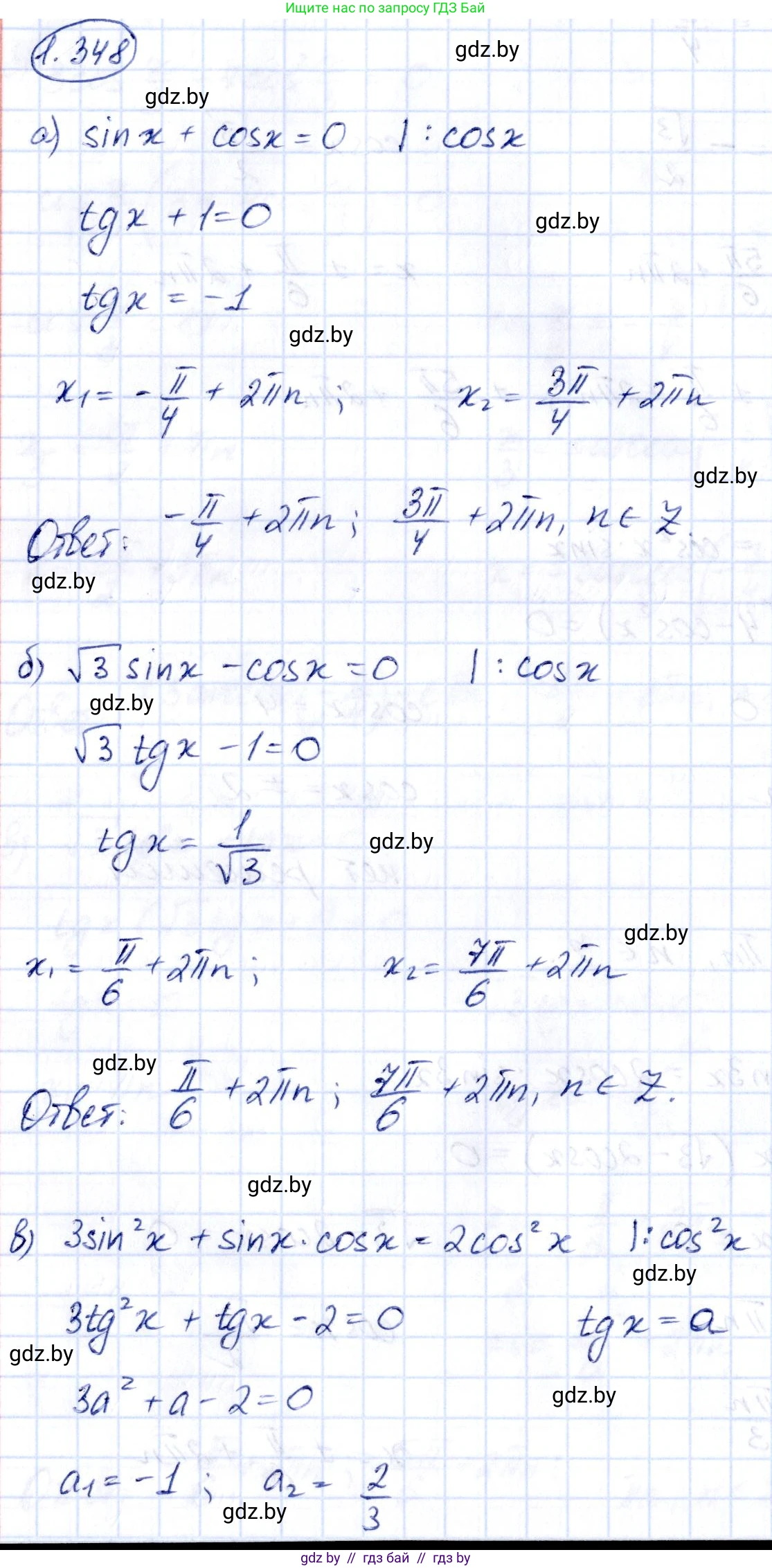
1.348. Определите, можно ли представить уравнение в виде однородного, и решите уравнение:

a) $ \sin x + \cos x = 0; $

б) $ \sqrt{3} \sin x - \cos x = 0; $

в) $ 3\sin^2 x + \sin x \cos x = 2\cos^2 x; $

г) $ 6\cos^2 x + 4\sin x \cos x = 1; $

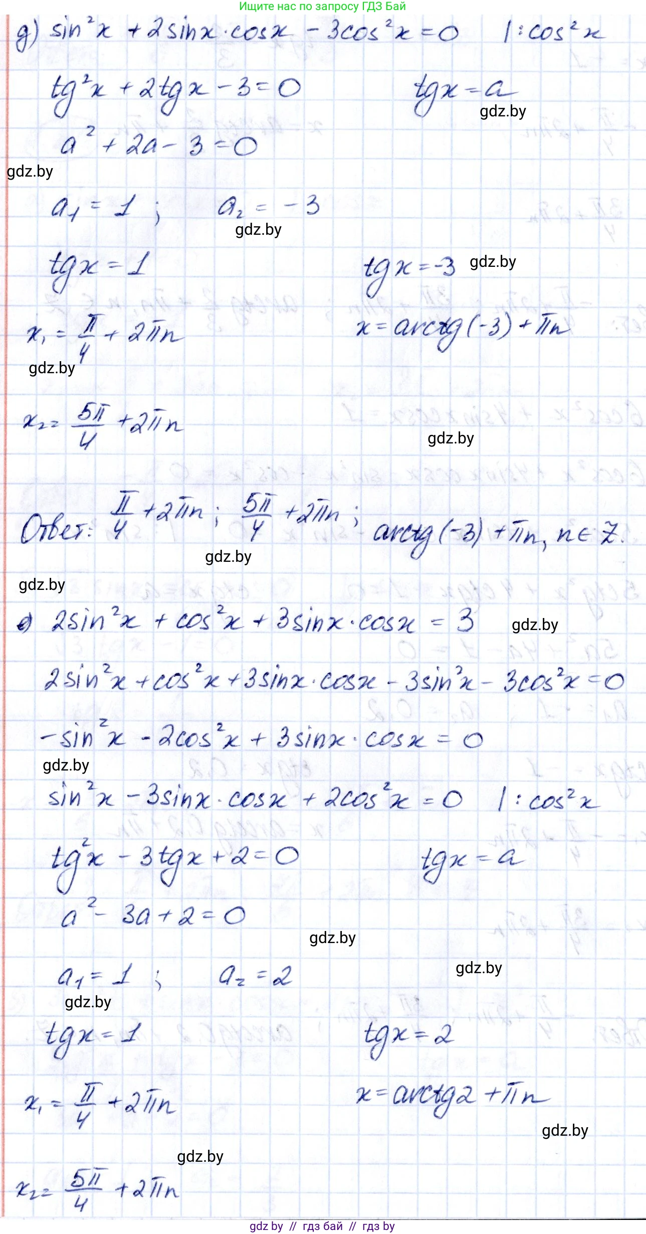
д) $ \sin^2 x + 2\sin x \cos x - 3\cos^2 x = 0; $

е) $ 2\sin^2 x + \cos^2 x + 3\sin x \cos x = 3. $

Решение. №1.348 (с. 113)
Алгебра, 10 класс Учебник, авторы: Арефьева Ирина Глебовна, Пирютко Ольга Николаевна, издательство Народная асвета, Минск, 2019, голубого цвета, страница 113, номер 1.348, Решение Алгебра, 10 класс Учебник, авторы: Арефьева Ирина Глебовна, Пирютко Ольга Николаевна, издательство Народная асвета, Минск, 2019, голубого цвета, страница 113, номер 1.348, Решение (продолжение 2)
Решение 2. №1.348 (с. 113)

а) Да, данное уравнение является однородным тригонометрическим уравнением первой степени. Для его решения разделим обе части на $ \cos x $, предполагая, что $ \cos x \neq 0 $. Если $ \cos x = 0 $, то из уравнения следует, что $ \sin x = 0 $, что невозможно, так как $ \sin^2 x + \cos^2 x = 1 $.
$ \frac{\sin x}{\cos x} + \frac{\cos x}{\cos x} = 0 $
$ \tan x + 1 = 0 $
$ \tan x = -1 $
$ x = \arctan(-1) + \pi k, k \in \mathbb{Z} $
$ x = -\frac{\pi}{4} + \pi k, k \in \mathbb{Z} $
Ответ: $ x = -\frac{\pi}{4} + \pi k, k \in \mathbb{Z} $

б) Да, это однородное тригонометрическое уравнение первой степени. Разделим обе части на $ \cos x \neq 0 $ (случай $ \cos x = 0 $ не является решением).
$ \sqrt{3} \frac{\sin x}{\cos x} - \frac{\cos x}{\cos x} = 0 $
$ \sqrt{3} \tan x - 1 = 0 $
$ \tan x = \frac{1}{\sqrt{3}} $
$ x = \arctan(\frac{1}{\sqrt{3}}) + \pi k, k \in \mathbb{Z} $
$ x = \frac{\pi}{6} + \pi k, k \in \mathbb{Z} $
Ответ: $ x = \frac{\pi}{6} + \pi k, k \in \mathbb{Z} $

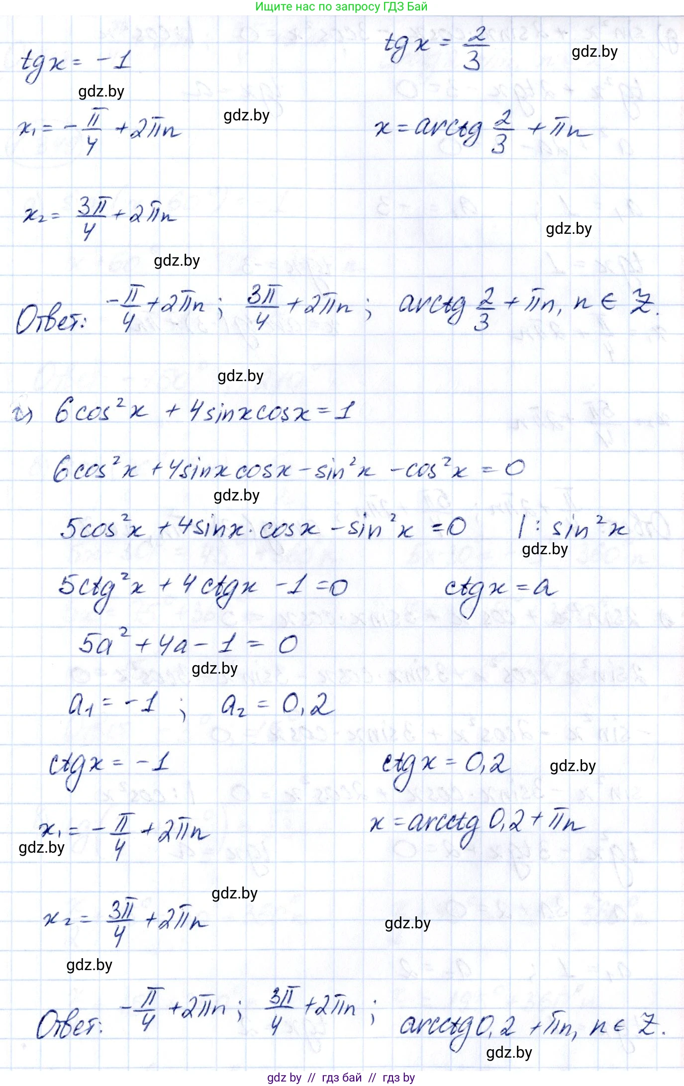
в) Да, данное уравнение можно представить в виде однородного уравнения второй степени, перенеся все члены в одну часть:
$ 3\sin^2 x + \sin x \cos x - 2\cos^2 x = 0 $
Разделим обе части на $ \cos^2 x \neq 0 $ (случай $ \cos x = 0 $ не является решением, так как тогда $ 3\sin^2 x = 0 $, что означает $ \sin x = 0 $, а это невозможно).
$ 3\frac{\sin^2 x}{\cos^2 x} + \frac{\sin x \cos x}{\cos^2 x} - 2\frac{\cos^2 x}{\cos^2 x} = 0 $
$ 3\tan^2 x + \tan x - 2 = 0 $
Сделаем замену $ t = \tan x $. Получим квадратное уравнение $ 3t^2 + t - 2 = 0 $.
Дискриминант $ D = 1^2 - 4 \cdot 3 \cdot (-2) = 1 + 24 = 25 $.
$ t_1 = \frac{-1 - \sqrt{25}}{2 \cdot 3} = \frac{-6}{6} = -1 $
$ t_2 = \frac{-1 + \sqrt{25}}{2 \cdot 3} = \frac{4}{6} = \frac{2}{3} $
Возвращаемся к замене:
1) $ \tan x = -1 \implies x = -\frac{\pi}{4} + \pi k, k \in \mathbb{Z} $
2) $ \tan x = \frac{2}{3} \implies x = \arctan(\frac{2}{3}) + \pi n, n \in \mathbb{Z} $
Ответ: $ x = -\frac{\pi}{4} + \pi k, k \in \mathbb{Z}; \quad x = \arctan(\frac{2}{3}) + \pi n, n \in \mathbb{Z} $

г) Да, уравнение можно привести к однородному, используя основное тригонометрическое тождество $ 1 = \sin^2 x + \cos^2 x $.
$ 6\cos^2 x + 4\sin x \cos x = \sin^2 x + \cos^2 x $
Переносим все члены в одну сторону:
$ \sin^2 x - 4\sin x \cos x - 5\cos^2 x = 0 $
Это однородное уравнение второй степени. Делим на $ \cos^2 x \neq 0 $.
$ \tan^2 x - 4\tan x - 5 = 0 $
Сделаем замену $ t = \tan x $. Получим $ t^2 - 4t - 5 = 0 $.
По теореме Виета, корни $ t_1 = 5, t_2 = -1 $.
1) $ \tan x = 5 \implies x = \arctan(5) + \pi k, k \in \mathbb{Z} $
2) $ \tan x = -1 \implies x = -\frac{\pi}{4} + \pi n, n \in \mathbb{Z} $
Ответ: $ x = \arctan(5) + \pi k, k \in \mathbb{Z}; \quad x = -\frac{\pi}{4} + \pi n, n \in \mathbb{Z} $

д) Да, это однородное тригонометрическое уравнение второй степени. Разделим обе части на $ \cos^2 x \neq 0 $.
$ \frac{\sin^2 x}{\cos^2 x} + 2\frac{\sin x \cos x}{\cos^2 x} - 3\frac{\cos^2 x}{\cos^2 x} = 0 $
$ \tan^2 x + 2\tan x - 3 = 0 $
Сделаем замену $ t = \tan x $. Получим $ t^2 + 2t - 3 = 0 $.
По теореме Виета, корни $ t_1 = 1, t_2 = -3 $.
1) $ \tan x = 1 \implies x = \frac{\pi}{4} + \pi k, k \in \mathbb{Z} $
2) $ \tan x = -3 \implies x = \arctan(-3) + \pi n = -\arctan(3) + \pi n, n \in \mathbb{Z} $
Ответ: $ x = \frac{\pi}{4} + \pi k, k \in \mathbb{Z}; \quad x = -\arctan(3) + \pi n, n \in \mathbb{Z} $

е) Да, уравнение можно привести к однородному, заменив $ 3 $ на $ 3(\sin^2 x + \cos^2 x) $.
$ 2\sin^2 x + \cos^2 x + 3\sin x \cos x = 3\sin^2 x + 3\cos^2 x $
Переносим все члены в одну сторону:
$ (2\sin^2 x - 3\sin^2 x) + 3\sin x \cos x + (\cos^2 x - 3\cos^2 x) = 0 $
$ -\sin^2 x + 3\sin x \cos x - 2\cos^2 x = 0 $
Умножим на -1:
$ \sin^2 x - 3\sin x \cos x + 2\cos^2 x = 0 $
Это однородное уравнение второй степени. Делим на $ \cos^2 x \neq 0 $.
$ \tan^2 x - 3\tan x + 2 = 0 $
Сделаем замену $ t = \tan x $. Получим $ t^2 - 3t + 2 = 0 $.
По теореме Виета, корни $ t_1 = 1, t_2 = 2 $.
1) $ \tan x = 1 \implies x = \frac{\pi}{4} + \pi k, k \in \mathbb{Z} $
2) $ \tan x = 2 \implies x = \arctan(2) + \pi n, n \in \mathbb{Z} $
Ответ: $ x = \frac{\pi}{4} + \pi k, k \in \mathbb{Z}; \quad x = \arctan(2) + \pi n, n \in \mathbb{Z} $

Помогло решение? Оставьте отзыв в комментариях ниже.

Присоединяйтесь к Телеграм-группе @gdz_by_belarus

Присоединиться

Мы подготовили для вас ответ c подробным объяснением домашего задания по алгебре за 10 класс, для упражнения номер 1.348 расположенного на странице 113 к учебнику 2019 года издания для учащихся школ и гимназий.

Теперь на нашем сайте ГДЗ.ТОП вы всегда легко и бесплатно найдёте условие с правильным ответом на вопрос «Как решить ДЗ» и «Как сделать» задание по алгебре к упражнению №1.348 (с. 113), авторов: Арефьева (Ирина Глебовна), Пирютко (Ольга Николаевна), учебного пособия издательства Народная асвета.