Номер 1.347, страница 113 - гдз по алгебре 10 класс учебник Арефьева, Пирютко

Алгебра, 10 класс Учебник, авторы: Арефьева Ирина Глебовна, Пирютко Ольга Николаевна, издательство Народная асвета, Минск, 2019, голубого цвета

Авторы: Арефьева И. Г., Пирютко О. Н.

Тип: Учебник

Издательство: Народная асвета

Год издания: 2019 - 2026

Цвет обложки: голубой с графиком

Допущено Министерством образования Республики Беларусь

Популярные ГДЗ в 10 классе

Глава 1. Тригонометрия. Параграф 8. Тригонометрические уравнения - номер 1.347, страница 113.

№1.347 (с. 113)
Условие. №1.347 (с. 113)
скриншот условия
Алгебра, 10 класс Учебник, авторы: Арефьева Ирина Глебовна, Пирютко Ольга Николаевна, издательство Народная асвета, Минск, 2019, голубого цвета, страница 113, номер 1.347, Условие

1.347. Решите уравнение, используя способ разложения выражения на множители:

а) $(\sin x - 0,5)(\sin x + 1) = 0;$

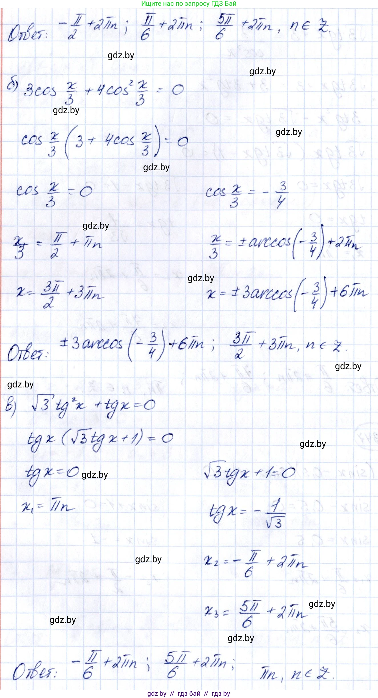
б) $3\cos \frac{x}{3} + 4\cos^2 \frac{x}{3} = 0;$

в) $\sqrt{3}\operatorname{tg}^2 x + \operatorname{tg}x = 0;$

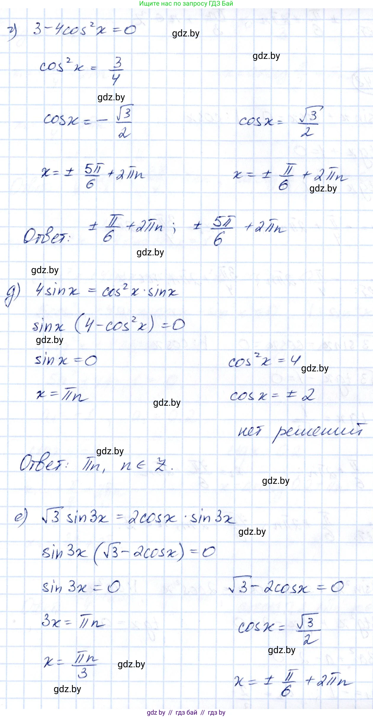
г) $3 - 4\cos^2 x = 0;$

д) $4\sin x = \cos^2 x \sin x;$

е) $\sqrt{3}\sin3x = 2\cos x\sin3x.$

Решение. №1.347 (с. 113)
Алгебра, 10 класс Учебник, авторы: Арефьева Ирина Глебовна, Пирютко Ольга Николаевна, издательство Народная асвета, Минск, 2019, голубого цвета, страница 113, номер 1.347, Решение Алгебра, 10 класс Учебник, авторы: Арефьева Ирина Глебовна, Пирютко Ольга Николаевна, издательство Народная асвета, Минск, 2019, голубого цвета, страница 113, номер 1.347, Решение (продолжение 2)
Решение 2. №1.347 (с. 113)

а) $(\sin x - 0,5)(\sin x + 1) = 0$
Произведение равно нулю, когда хотя бы один из множителей равен нулю. Следовательно, уравнение распадается на два:
1. $\sin x - 0,5 = 0 \Rightarrow \sin x = 0,5$
Решения этого уравнения: $x = (-1)^n \arcsin(0,5) + \pi n$, где $n \in \mathbb{Z}$.
Поскольку $\arcsin(0,5) = \frac{\pi}{6}$, получаем $x = (-1)^n \frac{\pi}{6} + \pi n, n \in \mathbb{Z}$.

2. $\sin x + 1 = 0 \Rightarrow \sin x = -1$
Это частный случай, решение которого: $x = -\frac{\pi}{2} + 2\pi k$, где $k \in \mathbb{Z}$.

Ответ: $x = (-1)^n \frac{\pi}{6} + \pi n, n \in \mathbb{Z}$; $x = -\frac{\pi}{2} + 2\pi k, k \in \mathbb{Z}$.

б) $3\cos\frac{x}{3} + 4\cos^2\frac{x}{3} = 0$
Вынесем общий множитель $\cos\frac{x}{3}$ за скобки:
$\cos\frac{x}{3}(3 + 4\cos\frac{x}{3}) = 0$
Произведение равно нулю, когда хотя бы один из множителей равен нулю:
1. $\cos\frac{x}{3} = 0$
$\frac{x}{3} = \frac{\pi}{2} + \pi n, n \in \mathbb{Z}$
$x = \frac{3\pi}{2} + 3\pi n, n \in \mathbb{Z}$.

2. $3 + 4\cos\frac{x}{3} = 0$
$4\cos\frac{x}{3} = -3 \Rightarrow \cos\frac{x}{3} = -\frac{3}{4}$
$\frac{x}{3} = \pm\arccos(-\frac{3}{4}) + 2\pi k, k \in \mathbb{Z}$
$x = \pm3\arccos(-\frac{3}{4}) + 6\pi k, k \in \mathbb{Z}$. Используя тождество $\arccos(-a) = \pi - \arccos(a)$, можно также записать: $x = \pm3(\pi - \arccos\frac{3}{4}) + 6\pi k, k \in \mathbb{Z}$.

В первой серии решений $x = \frac{3\pi}{2} + 3\pi n$ выделим целую часть из неправильной дроби $\frac{3}{2} = 1\frac{1}{2}$.
Ответ: $x = 1\frac{1}{2}\pi + 3\pi n, n \in \mathbb{Z}$; $x = \pm3\arccos(-\frac{3}{4}) + 6\pi k, k \in \mathbb{Z}$.

в) $\sqrt{3}\tg^2 x + \tg x = 0$
Вынесем общий множитель $\tg x$ за скобки. Область допустимых значений (ОДЗ): $x \ne \frac{\pi}{2} + \pi k, k \in \mathbb{Z}$.
$\tg x (\sqrt{3}\tg x + 1) = 0$
Произведение равно нулю, когда хотя бы один из множителей равен нулю:
1. $\tg x = 0$
Решение: $x = \pi n, n \in \mathbb{Z}$. Данное решение удовлетворяет ОДЗ.

2. $\sqrt{3}\tg x + 1 = 0$
$\tg x = -\frac{1}{\sqrt{3}}$
Решение: $x = \arctan(-\frac{1}{\sqrt{3}}) + \pi m = -\frac{\pi}{6} + \pi m, m \in \mathbb{Z}$. Данное решение удовлетворяет ОДЗ.

Ответ: $x = \pi n, n \in \mathbb{Z}$; $x = -\frac{\pi}{6} + \pi m, m \in \mathbb{Z}$.

г) $3 - 4\cos^2 x = 0$
Используем формулу разности квадратов $a^2 - b^2 = (a-b)(a+b)$:
$(\sqrt{3} - 2\cos x)(\sqrt{3} + 2\cos x) = 0$
Произведение равно нулю, когда хотя бы один из множителей равен нулю:
1. $\sqrt{3} - 2\cos x = 0 \Rightarrow \cos x = \frac{\sqrt{3}}{2}$
Решение: $x = \pm\frac{\pi}{6} + 2\pi n, n \in \mathbb{Z}$.

2. $\sqrt{3} + 2\cos x = 0 \Rightarrow \cos x = -\frac{\sqrt{3}}{2}$
Решение: $x = \pm\frac{5\pi}{6} + 2\pi k, k \in \mathbb{Z}$.

Эти две группы решений можно объединить в одну более компактную запись: $x = \pm\frac{\pi}{6} + \pi m, m \in \mathbb{Z}$.
Ответ: $x = \pm\frac{\pi}{6} + \pi m, m \in \mathbb{Z}$.

д) $4\sin x = \cos^2 x \sin x$
Перенесем все члены в левую часть и вынесем общий множитель $\sin x$:
$4\sin x - \cos^2 x \sin x = 0$
$\sin x (4 - \cos^2 x) = 0$
Произведение равно нулю, когда хотя бы один из множителей равен нулю:
1. $\sin x = 0$
Решение: $x = \pi n, n \in \mathbb{Z}$.

2. $4 - \cos^2 x = 0$
$\cos^2 x = 4 \Rightarrow \cos x = \pm 2$. Это уравнение не имеет решений, так как $|\cos x| \le 1$.

Таким образом, решением исходного уравнения является только первая серия корней.
Ответ: $x = \pi n, n \in \mathbb{Z}$.

е) $\sqrt{3}\sin 3x = 2\cos x \sin 3x$
Перенесем все члены в левую часть и вынесем общий множитель $\sin 3x$:
$\sqrt{3}\sin 3x - 2\cos x \sin 3x = 0$
$\sin 3x (\sqrt{3} - 2\cos x) = 0$
Произведение равно нулю, когда хотя бы один из множителей равен нулю:
1. $\sin 3x = 0$
$3x = \pi n, n \in \mathbb{Z} \Rightarrow x = \frac{\pi n}{3}, n \in \mathbb{Z}$.

2. $\sqrt{3} - 2\cos x = 0$
$2\cos x = \sqrt{3} \Rightarrow \cos x = \frac{\sqrt{3}}{2}$
Решение: $x = \pm\frac{\pi}{6} + 2\pi k, k \in \mathbb{Z}$.

Обе серии корней являются решением уравнения.
Ответ: $x = \frac{\pi n}{3}, n \in \mathbb{Z}$; $x = \pm\frac{\pi}{6} + 2\pi k, k \in \mathbb{Z}$.

Помогло решение? Оставьте отзыв в комментариях ниже.

Присоединяйтесь к Телеграм-группе @gdz_by_belarus

Присоединиться

Мы подготовили для вас ответ c подробным объяснением домашего задания по алгебре за 10 класс, для упражнения номер 1.347 расположенного на странице 113 к учебнику 2019 года издания для учащихся школ и гимназий.

Теперь на нашем сайте ГДЗ.ТОП вы всегда легко и бесплатно найдёте условие с правильным ответом на вопрос «Как решить ДЗ» и «Как сделать» задание по алгебре к упражнению №1.347 (с. 113), авторов: Арефьева (Ирина Глебовна), Пирютко (Ольга Николаевна), учебного пособия издательства Народная асвета.