Номер 1.343, страница 113 - гдз по алгебре 10 класс учебник Арефьева, Пирютко

Алгебра, 10 класс Учебник, авторы: Арефьева Ирина Глебовна, Пирютко Ольга Николаевна, издательство Народная асвета, Минск, 2019, голубого цвета

Авторы: Арефьева И. Г., Пирютко О. Н.

Тип: Учебник

Издательство: Народная асвета

Год издания: 2019 - 2026

Цвет обложки: голубой с графиком

Допущено Министерством образования Республики Беларусь

Популярные ГДЗ в 10 классе

Глава 1. Тригонометрия. Параграф 8. Тригонометрические уравнения - номер 1.343, страница 113.

№1.343 (с. 113)
Условие. №1.343 (с. 113)
скриншот условия
Алгебра, 10 класс Учебник, авторы: Арефьева Ирина Глебовна, Пирютко Ольга Николаевна, издательство Народная асвета, Минск, 2019, голубого цвета, страница 113, номер 1.343, Условие

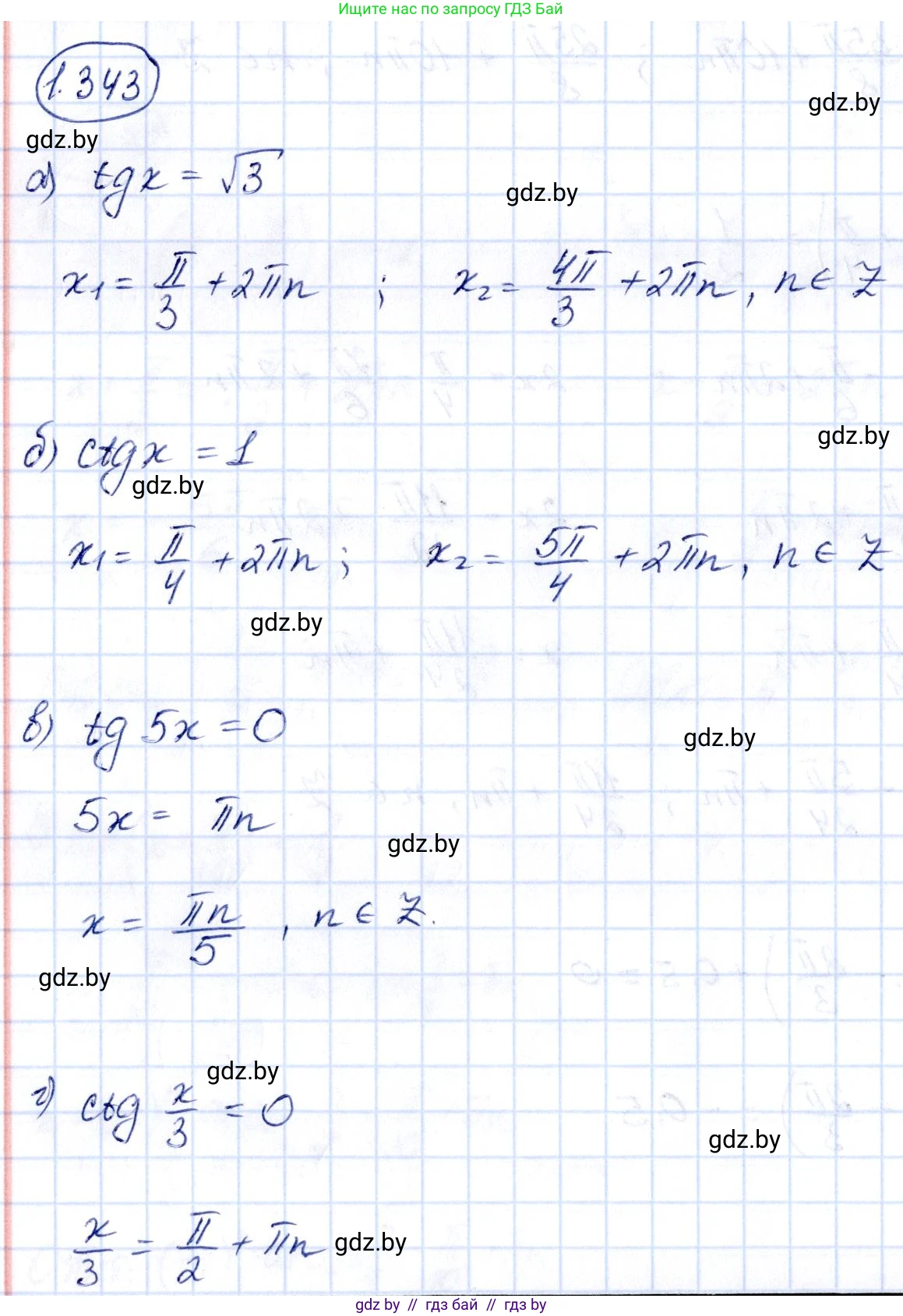
1.343. Решите уравнение, используя формулы решения простейших тригонометрических уравнений:

а) $tgx = \sqrt{3}$;

б) $ctgx = 1$;

в) $tg5x = 0$;

г) $ctg\frac{x}{3} = 0$;

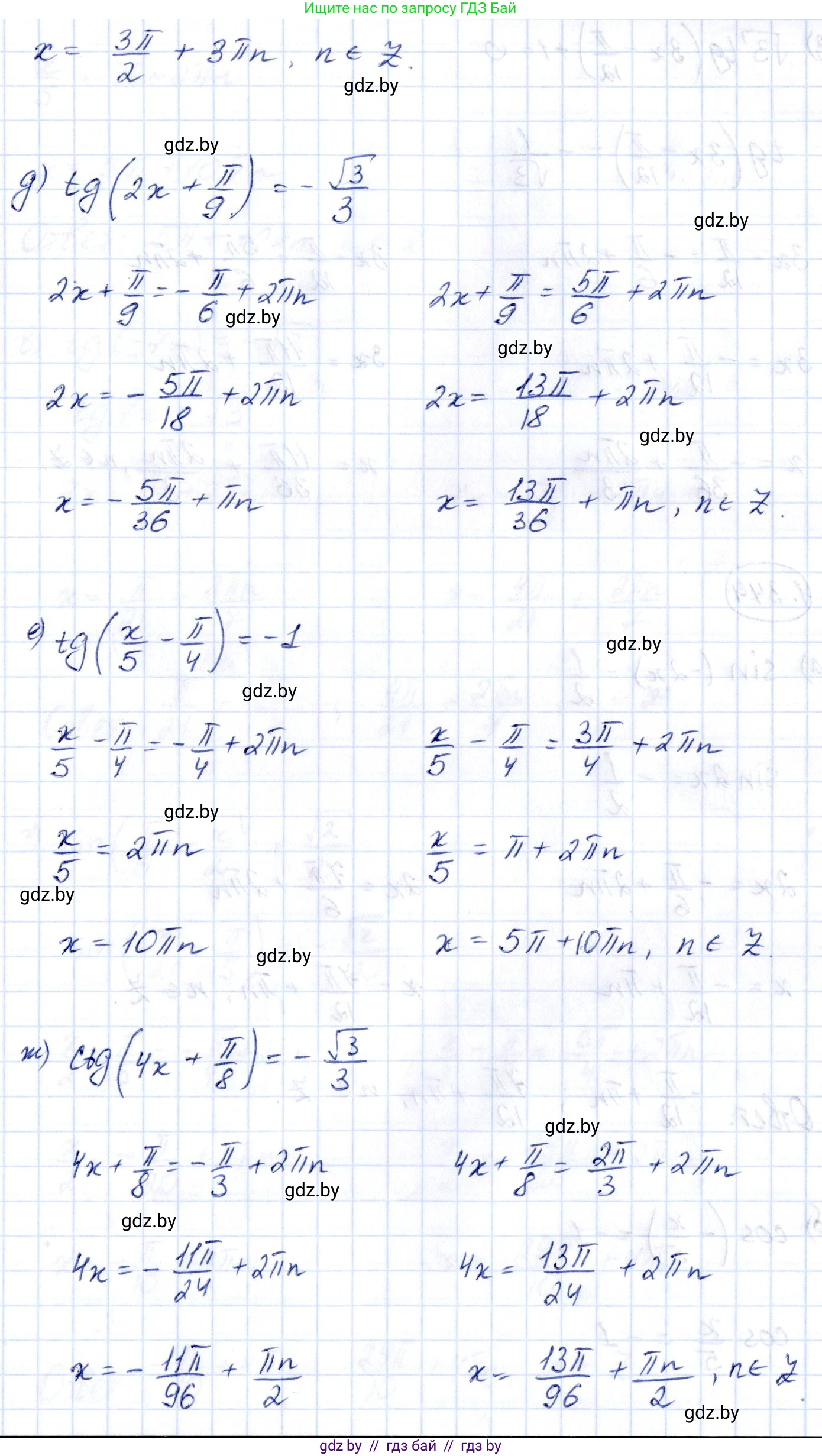
д) $tg\left(2x + \frac{\pi}{9}\right) = -\frac{\sqrt{3}}{3}$;

е) $tg\left(\frac{x}{5} - \frac{\pi}{4}\right) = -1$;

ж) $ctg\left(4x + \frac{\pi}{8}\right) = -\frac{\sqrt{3}}{3}$;

з) $\sqrt{3}tg\left(3x - \frac{\pi}{12}\right) + 1 = 0$.

Решение. №1.343 (с. 113)
Алгебра, 10 класс Учебник, авторы: Арефьева Ирина Глебовна, Пирютко Ольга Николаевна, издательство Народная асвета, Минск, 2019, голубого цвета, страница 113, номер 1.343, Решение Алгебра, 10 класс Учебник, авторы: Арефьева Ирина Глебовна, Пирютко Ольга Николаевна, издательство Народная асвета, Минск, 2019, голубого цвета, страница 113, номер 1.343, Решение (продолжение 2)
Решение 2. №1.343 (с. 113)

а) Дано уравнение $ \text{tg}x = \sqrt{3} $.
Для решения используем общую формулу для уравнений вида $ \text{tg}x = a $: $ x = \text{arctg}(a) + \pi n $, где $ n \in \mathbb{Z} $.
В данном случае $ a = \sqrt{3} $.
$ x = \text{arctg}(\sqrt{3}) + \pi n $.
Значение арктангенса $ \text{arctg}(\sqrt{3}) = \frac{\pi}{3} $, так как $ \text{tg}(\frac{\pi}{3}) = \sqrt{3} $ и $ \frac{\pi}{3} \in (-\frac{\pi}{2}, \frac{\pi}{2}) $.
Подставляем значение в формулу: $ x = \frac{\pi}{3} + \pi n, n \in \mathbb{Z} $.
Ответ: $ x = \frac{\pi}{3} + \pi n, n \in \mathbb{Z} $.

б) Дано уравнение $ \text{ctg}x = 1 $.
Для решения используем общую формулу для уравнений вида $ \text{ctg}x = a $: $ x = \text{arcctg}(a) + \pi n $, где $ n \in \mathbb{Z} $.
В данном случае $ a = 1 $.
$ x = \text{arcctg}(1) + \pi n $.
Значение арккотангенса $ \text{arcctg}(1) = \frac{\pi}{4} $, так как $ \text{ctg}(\frac{\pi}{4}) = 1 $ и $ \frac{\pi}{4} \in (0, \pi) $.
Подставляем значение в формулу: $ x = \frac{\pi}{4} + \pi n, n \in \mathbb{Z} $.
Ответ: $ x = \frac{\pi}{4} + \pi n, n \in \mathbb{Z} $.

в) Дано уравнение $ \text{tg}5x = 0 $.
Аргумент тангенса равен $ 5x $. Применим общую формулу: $ 5x = \text{arctg}(0) + \pi n, n \in \mathbb{Z} $.
Значение $ \text{arctg}(0) = 0 $.
Получаем уравнение: $ 5x = 0 + \pi n $, то есть $ 5x = \pi n $.
Выражаем $ x $: $ x = \frac{\pi n}{5}, n \in \mathbb{Z} $.
Ответ: $ x = \frac{\pi n}{5}, n \in \mathbb{Z} $.

г) Дано уравнение $ \text{ctg}\frac{x}{3} = 0 $.
Аргумент котангенса равен $ \frac{x}{3} $. Применим общую формулу: $ \frac{x}{3} = \text{arcctg}(0) + \pi n, n \in \mathbb{Z} $.
Значение $ \text{arcctg}(0) = \frac{\pi}{2} $.
Получаем уравнение: $ \frac{x}{3} = \frac{\pi}{2} + \pi n $.
Выражаем $ x $, умножив обе части на 3: $ x = 3 \cdot (\frac{\pi}{2} + \pi n) = \frac{3\pi}{2} + 3\pi n, n \in \mathbb{Z} $.
Выделим целую часть из неправильной дроби $ \frac{3}{2} = 1\frac{1}{2} $.
Ответ: $ x = 1\frac{1}{2}\pi + 3\pi n, n \in \mathbb{Z} $.

д) Дано уравнение $ \text{tg}(2x + \frac{\pi}{9}) = -\frac{\sqrt{3}}{3} $.
Аргумент тангенса равен $ 2x + \frac{\pi}{9} $. Применим общую формулу: $ 2x + \frac{\pi}{9} = \text{arctg}(-\frac{\sqrt{3}}{3}) + \pi n, n \in \mathbb{Z} $.
Используем свойство нечетности арктангенса $ \text{arctg}(-a) = -\text{arctg}(a) $.
$ \text{arctg}(-\frac{\sqrt{3}}{3}) = -\text{arctg}(\frac{\sqrt{3}}{3}) = -\frac{\pi}{6} $.
Получаем уравнение: $ 2x + \frac{\pi}{9} = -\frac{\pi}{6} + \pi n $.
Выражаем $ 2x $: $ 2x = -\frac{\pi}{6} - \frac{\pi}{9} + \pi n $.
Приводим дроби к общему знаменателю 18: $ 2x = -\frac{3\pi}{18} - \frac{2\pi}{18} + \pi n = -\frac{5\pi}{18} + \pi n $.
Выражаем $ x $, разделив обе части на 2: $ x = -\frac{5\pi}{36} + \frac{\pi n}{2}, n \in \mathbb{Z} $.
Ответ: $ x = -\frac{5\pi}{36} + \frac{\pi n}{2}, n \in \mathbb{Z} $.

е) Дано уравнение $ \text{tg}(\frac{x}{5} - \frac{\pi}{4}) = -1 $.
Аргумент тангенса равен $ \frac{x}{5} - \frac{\pi}{4} $. Применим общую формулу: $ \frac{x}{5} - \frac{\pi}{4} = \text{arctg}(-1) + \pi n, n \in \mathbb{Z} $.
Значение $ \text{arctg}(-1) = -\frac{\pi}{4} $.
Получаем уравнение: $ \frac{x}{5} - \frac{\pi}{4} = -\frac{\pi}{4} + \pi n $.
Упрощаем: $ \frac{x}{5} = \pi n $.
Выражаем $ x $, умножив обе части на 5: $ x = 5\pi n, n \in \mathbb{Z} $.
Ответ: $ x = 5\pi n, n \in \mathbb{Z} $.

ж) Дано уравнение $ \text{ctg}(4x + \frac{\pi}{8}) = -\frac{\sqrt{3}}{3} $.
Аргумент котангенса равен $ 4x + \frac{\pi}{8} $. Применим общую формулу: $ 4x + \frac{\pi}{8} = \text{arcctg}(-\frac{\sqrt{3}}{3}) + \pi n, n \in \mathbb{Z} $.
Используем свойство арккотангенса $ \text{arcctg}(-a) = \pi - \text{arcctg}(a) $.
$ \text{arcctg}(-\frac{\sqrt{3}}{3}) = \pi - \text{arcctg}(\frac{\sqrt{3}}{3}) = \pi - \frac{\pi}{3} = \frac{2\pi}{3} $.
Получаем уравнение: $ 4x + \frac{\pi}{8} = \frac{2\pi}{3} + \pi n $.
Выражаем $ 4x $: $ 4x = \frac{2\pi}{3} - \frac{\pi}{8} + \pi n $.
Приводим дроби к общему знаменателю 24: $ 4x = \frac{16\pi}{24} - \frac{3\pi}{24} + \pi n = \frac{13\pi}{24} + \pi n $.
Выражаем $ x $, разделив обе части на 4: $ x = \frac{13\pi}{96} + \frac{\pi n}{4}, n \in \mathbb{Z} $.
Ответ: $ x = \frac{13\pi}{96} + \frac{\pi n}{4}, n \in \mathbb{Z} $.

з) Дано уравнение $ \sqrt{3}\text{tg}(3x - \frac{\pi}{12}) + 1 = 0 $.
Сначала преобразуем уравнение, чтобы выразить тангенс:
$ \sqrt{3}\text{tg}(3x - \frac{\pi}{12}) = -1 $
$ \text{tg}(3x - \frac{\pi}{12}) = -\frac{1}{\sqrt{3}} = -\frac{\sqrt{3}}{3} $.
Аргумент тангенса равен $ 3x - \frac{\pi}{12} $. Применим общую формулу: $ 3x - \frac{\pi}{12} = \text{arctg}(-\frac{\sqrt{3}}{3}) + \pi n, n \in \mathbb{Z} $.
Значение $ \text{arctg}(-\frac{\sqrt{3}}{3}) = -\frac{\pi}{6} $.
Получаем уравнение: $ 3x - \frac{\pi}{12} = -\frac{\pi}{6} + \pi n $.
Выражаем $ 3x $: $ 3x = -\frac{\pi}{6} + \frac{\pi}{12} + \pi n $.
Приводим дроби к общему знаменателю 12: $ 3x = -\frac{2\pi}{12} + \frac{\pi}{12} + \pi n = -\frac{\pi}{12} + \pi n $.
Выражаем $ x $, разделив обе части на 3: $ x = -\frac{\pi}{36} + \frac{\pi n}{3}, n \in \mathbb{Z} $.
Ответ: $ x = -\frac{\pi}{36} + \frac{\pi n}{3}, n \in \mathbb{Z} $.

Помогло решение? Оставьте отзыв в комментариях ниже.

Присоединяйтесь к Телеграм-группе @gdz_by_belarus

Присоединиться

Мы подготовили для вас ответ c подробным объяснением домашего задания по алгебре за 10 класс, для упражнения номер 1.343 расположенного на странице 113 к учебнику 2019 года издания для учащихся школ и гимназий.

Теперь на нашем сайте ГДЗ.ТОП вы всегда легко и бесплатно найдёте условие с правильным ответом на вопрос «Как решить ДЗ» и «Как сделать» задание по алгебре к упражнению №1.343 (с. 113), авторов: Арефьева (Ирина Глебовна), Пирютко (Ольга Николаевна), учебного пособия издательства Народная асвета.