Номер 3.70, страница 164 - гдз по алгебре 9 класс учебник Арефьева, Пирютко

Алгебра, 9 класс Учебник, авторы: Арефьева Ирина Глебовна, Пирютко Ольга Николаевна, издательство Народная асвета, Минск, 2019, голубого цвета

Авторы: Арефьева И. Г., Пирютко О. Н.

Тип: Учебник

Издательство: Народная асвета

Год издания: 2019 - 2026

Цвет обложки: голубой, синий с графиком

ISBN: 978-985-03-3077-2

Допущено Министерством образования Республики Беларусь

Популярные ГДЗ в 9 классе

Глава 3. Дробно-рациональные уравнения и неравенства. Параграф 11. Системы нелинейных уравнений - номер 3.70, страница 164.

№3.70 (с. 164)
Условие. №3.70 (с. 164)
скриншот условия
Алгебра, 9 класс Учебник, авторы: Арефьева Ирина Глебовна, Пирютко Ольга Николаевна, издательство Народная асвета, Минск, 2019, голубого цвета, страница 164, номер 3.70, Условие

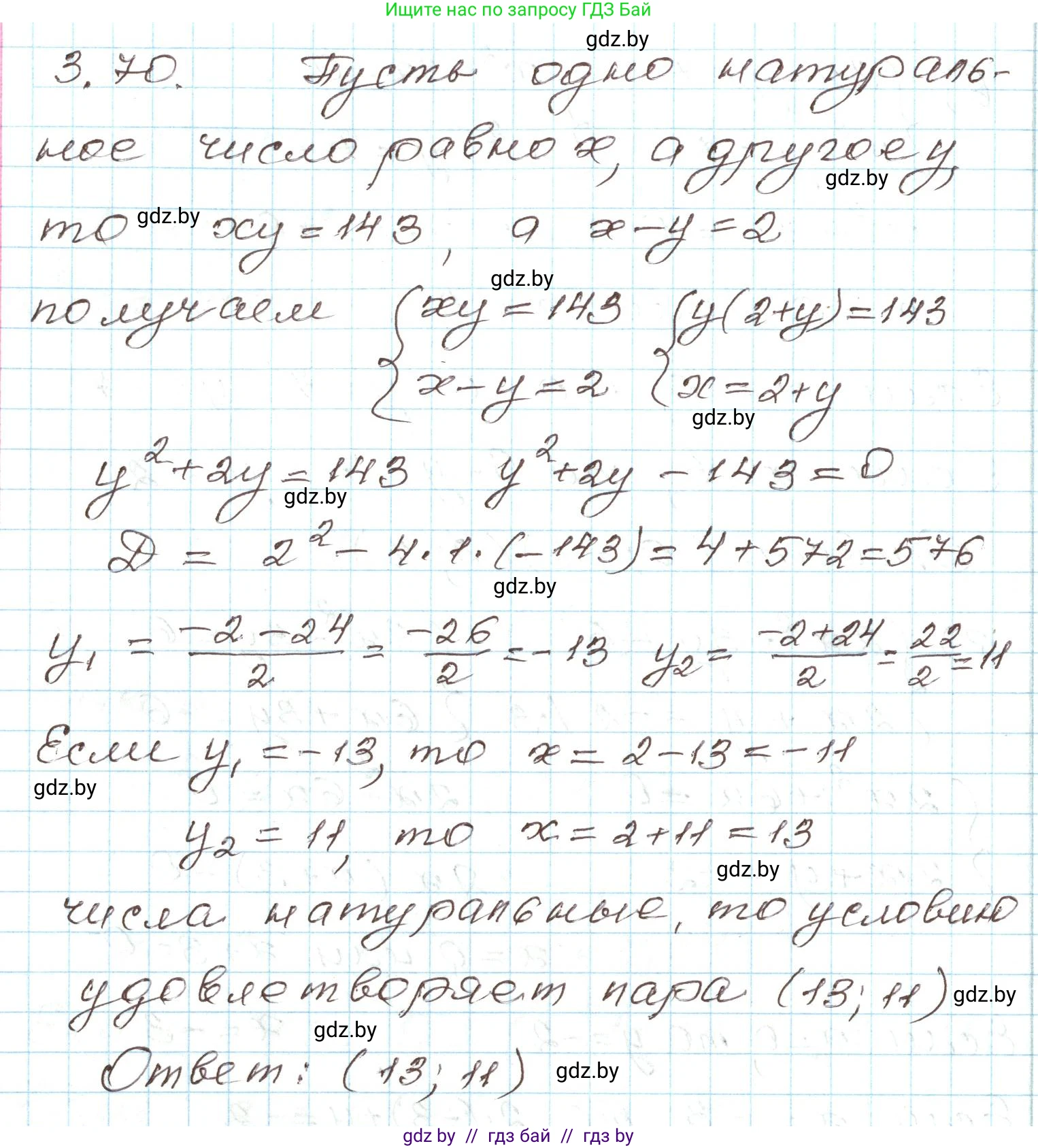
3.70. Произведение двух натуральных чисел равно 143, а их разность равна 2. Найдите эти числа.

Решение. №3.70 (с. 164)
Алгебра, 9 класс Учебник, авторы: Арефьева Ирина Глебовна, Пирютко Ольга Николаевна, издательство Народная асвета, Минск, 2019, голубого цвета, страница 164, номер 3.70, Решение
Решение 2. №3.70 (с. 164)

Пусть одно из натуральных чисел будет $x$, а второе $y$. Согласно условию задачи, можно составить систему из двух уравнений:

1. Произведение чисел равно 143: $x \cdot y = 143$

2. Разность чисел равна 2: $x - y = 2$

Выразим $x$ из второго уравнения:

$x = y + 2$

Теперь подставим это выражение в первое уравнение, чтобы найти $y$:

$(y + 2) \cdot y = 143$

Раскроем скобки и приведем уравнение к стандартному квадратному виду:

$y^2 + 2y = 143$

$y^2 + 2y - 143 = 0$

Решим полученное квадратное уравнение с помощью дискриминанта ($D = b^2 - 4ac$):

$D = 2^2 - 4 \cdot 1 \cdot (-143) = 4 + 572 = 576$

Теперь найдем корни уравнения:

$y_{1} = \frac{-b + \sqrt{D}}{2a} = \frac{-2 + \sqrt{576}}{2 \cdot 1} = \frac{-2 + 24}{2} = \frac{22}{2} = 11$

$y_{2} = \frac{-b - \sqrt{D}}{2a} = \frac{-2 - \sqrt{576}}{2 \cdot 1} = \frac{-2 - 24}{2} = \frac{-26}{2} = -13$

По условию, числа являются натуральными, то есть целыми и положительными. Поэтому корень $y_2 = -13$ не удовлетворяет условию задачи. Следовательно, одно из чисел равно 11.

Найдем второе число, подставив значение $y=11$ в выражение $x = y + 2$:

$x = 11 + 2 = 13$

Проверим найденные числа: произведение $13 \cdot 11 = 143$, разность $13 - 11 = 2$. Условия задачи выполняются.

Найдите эти числа. Ответ: 11 и 13.

Помогло решение? Оставьте отзыв в комментариях ниже.

Присоединяйтесь к Телеграм-группе @gdz_by_belarus

Присоединиться

Мы подготовили для вас ответ c подробным объяснением домашего задания по алгебре за 9 класс, для упражнения номер 3.70 расположенного на странице 164 к учебнику 2019 года издания для учащихся школ и гимназий.

Теперь на нашем сайте ГДЗ.ТОП вы всегда легко и бесплатно найдёте условие с правильным ответом на вопрос «Как решить ДЗ» и «Как сделать» задание по алгебре к упражнению №3.70 (с. 164), авторов: Арефьева (Ирина Глебовна), Пирютко (Ольга Николаевна), учебного пособия издательства Народная асвета.