Номер 3.75, страница 165 - гдз по алгебре 9 класс учебник Арефьева, Пирютко

Алгебра, 9 класс Учебник, авторы: Арефьева Ирина Глебовна, Пирютко Ольга Николаевна, издательство Народная асвета, Минск, 2019, голубого цвета

Авторы: Арефьева И. Г., Пирютко О. Н.

Тип: Учебник

Издательство: Народная асвета

Год издания: 2019 - 2026

Цвет обложки: голубой, синий с графиком

ISBN: 978-985-03-3077-2

Допущено Министерством образования Республики Беларусь

Популярные ГДЗ в 9 классе

Глава 3. Дробно-рациональные уравнения и неравенства. Параграф 11. Системы нелинейных уравнений - номер 3.75, страница 165.

№3.75 (с. 165)
Условие. №3.75 (с. 165)
скриншот условия
Алгебра, 9 класс Учебник, авторы: Арефьева Ирина Глебовна, Пирютко Ольга Николаевна, издательство Народная асвета, Минск, 2019, голубого цвета, страница 165, номер 3.75, Условие

3.75. Произведение цифр двузначного числа в три раза меньше самого числа. Если к этому числу прибавить 18, то получится число, написанное теми же цифрами, но в обратном порядке. Найдите это число.

Решение. №3.75 (с. 165)
Алгебра, 9 класс Учебник, авторы: Арефьева Ирина Глебовна, Пирютко Ольга Николаевна, издательство Народная асвета, Минск, 2019, голубого цвета, страница 165, номер 3.75, Решение
Решение 2. №3.75 (с. 165)

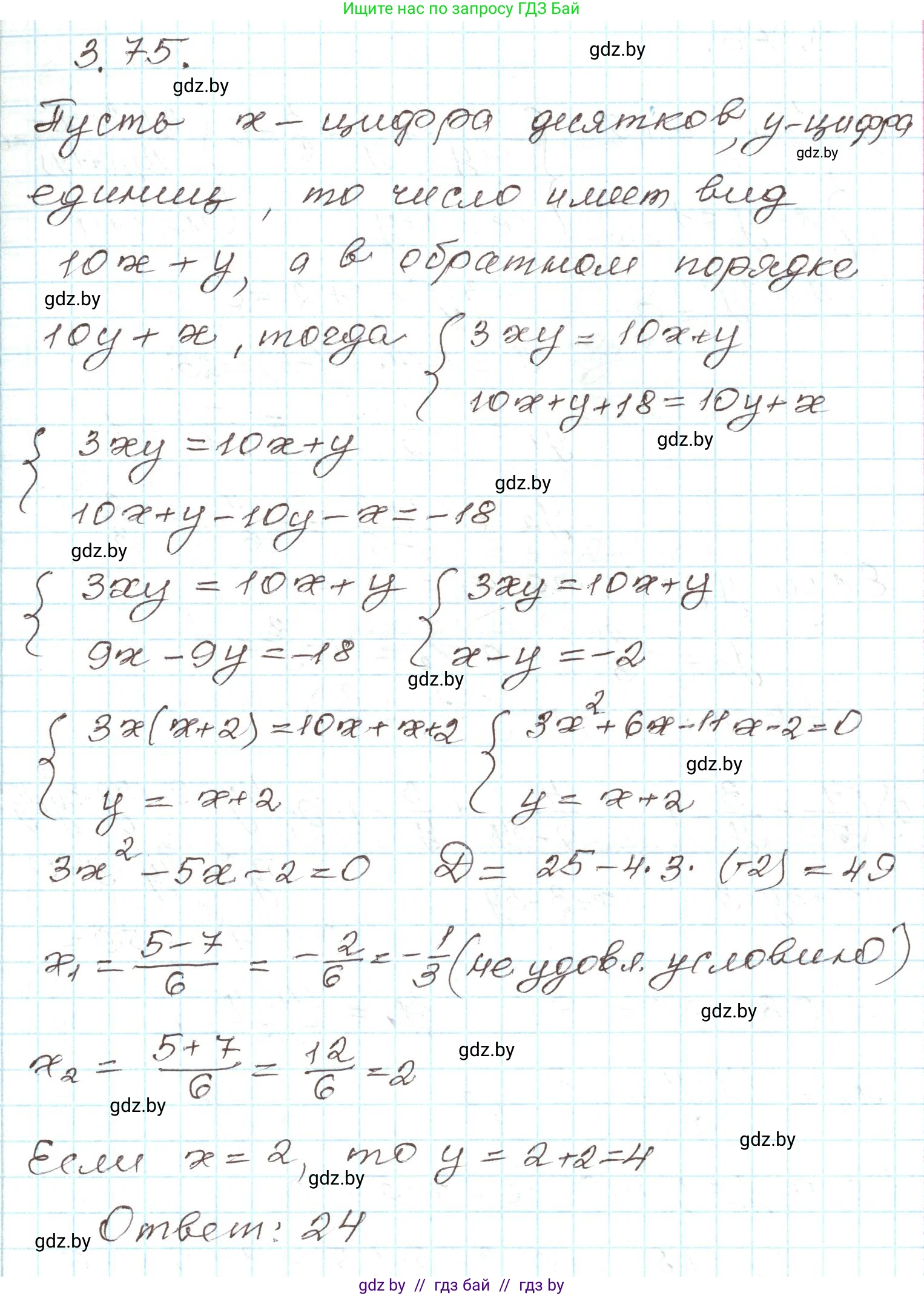
Пусть искомое двузначное число представлено как $\overline{ab}$, где $a$ — цифра десятков, а $b$ — цифра единиц. В алгебраическом виде это число можно записать как $10a + b$. При этом $a \in \{1, 2, ..., 9\}$ и $b \in \{0, 1, ..., 9\}$.

Исходя из условий задачи, составим систему из двух уравнений.

1. Первое условие: "Произведение цифр двузначного числа в три раза меньше самого числа."

Это означает, что само число в три раза больше произведения его цифр. Математически это выражается так:

$10a + b = 3 \cdot (a \cdot b)$

2. Второе условие: "Если к этому числу прибавить 18, то получится число, написанное теми же цифрами, но в обратном порядке."

Число, записанное теми же цифрами в обратном порядке, это $\overline{ba}$, или $10b + a$. Таким образом, получаем уравнение:

$(10a + b) + 18 = 10b + a$

Теперь решим полученную систему уравнений.

Шаг 1: Упрощение второго уравнения

$10a + b + 18 = 10b + a$
Перенесем члены с переменными в одну сторону, а константы в другую:
$10a - a - 10b + b = -18$
$9a - 9b = -18$
Разделим обе части уравнения на 9, чтобы упростить его:
$a - b = -2$
Отсюда можно выразить $b$ через $a$:
$b = a + 2$

Шаг 2: Подстановка во первое уравнение и решение

Подставим выражение $b = a + 2$ в первое уравнение $10a + b = 3ab$:

$10a + (a + 2) = 3a(a + 2)$
$11a + 2 = 3a^2 + 6a$
Перенесем все члены в одну сторону, чтобы получить стандартное квадратное уравнение:
$3a^2 + 6a - 11a - 2 = 0$
$3a^2 - 5a - 2 = 0$

Решим это квадратное уравнение с помощью дискриминанта $D = B^2 - 4AC$:

$D = (-5)^2 - 4 \cdot 3 \cdot (-2) = 25 + 24 = 49 = 7^2$
Теперь найдем корни для $a$:
$a_1 = \frac{-B + \sqrt{D}}{2A} = \frac{5 + 7}{2 \cdot 3} = \frac{12}{6} = 2$
$a_2 = \frac{-B - \sqrt{D}}{2A} = \frac{5 - 7}{2 \cdot 3} = \frac{-2}{6} = -\frac{1}{3}$

Поскольку $a$ — это цифра десятков, она должна быть целым положительным числом. Следовательно, значение $a_2 = -\frac{1}{3}$ не подходит. Единственным верным решением является $a = 2$.

Шаг 3: Нахождение b и искомого числа

Теперь, зная $a=2$, найдем $b$ из соотношения $b = a + 2$:

$b = 2 + 2 = 4$

Таким образом, искомое число — это 24.

Шаг 4: Проверка

  • Проверим первое условие: Произведение цифр $2 \cdot 4 = 8$. Число 24. Действительно, $24 = 3 \cdot 8$. Условие выполнено.
  • Проверим второе условие: $24 + 18 = 42$. Число 42 — это число 24 с переставленными цифрами. Условие выполнено.

Найдите это число. Ответ: 24

Помогло решение? Оставьте отзыв в комментариях ниже.

Присоединяйтесь к Телеграм-группе @gdz_by_belarus

Присоединиться

Мы подготовили для вас ответ c подробным объяснением домашего задания по алгебре за 9 класс, для упражнения номер 3.75 расположенного на странице 165 к учебнику 2019 года издания для учащихся школ и гимназий.

Теперь на нашем сайте ГДЗ.ТОП вы всегда легко и бесплатно найдёте условие с правильным ответом на вопрос «Как решить ДЗ» и «Как сделать» задание по алгебре к упражнению №3.75 (с. 165), авторов: Арефьева (Ирина Глебовна), Пирютко (Ольга Николаевна), учебного пособия издательства Народная асвета.