Номер 3.213, страница 199 - гдз по алгебре 9 класс учебник Арефьева, Пирютко

Алгебра, 9 класс Учебник, авторы: Арефьева Ирина Глебовна, Пирютко Ольга Николаевна, издательство Народная асвета, Минск, 2019, голубого цвета

Авторы: Арефьева И. Г., Пирютко О. Н.

Тип: Учебник

Издательство: Народная асвета

Год издания: 2019 - 2026

Цвет обложки: голубой, синий с графиком

ISBN: 978-985-03-3077-2

Допущено Министерством образования Республики Беларусь

Популярные ГДЗ в 9 классе

Глава 3. Дробно-рациональные уравнения и неравенства. Параграф 13. Дробно-рациональные неравенства. Метод интервалов для решения рациональных неравенств - номер 3.213, страница 199.

№3.213 (с. 199)
Условие. №3.213 (с. 199)
скриншот условия
Алгебра, 9 класс Учебник, авторы: Арефьева Ирина Глебовна, Пирютко Ольга Николаевна, издательство Народная асвета, Минск, 2019, голубого цвета, страница 199, номер 3.213, Условие

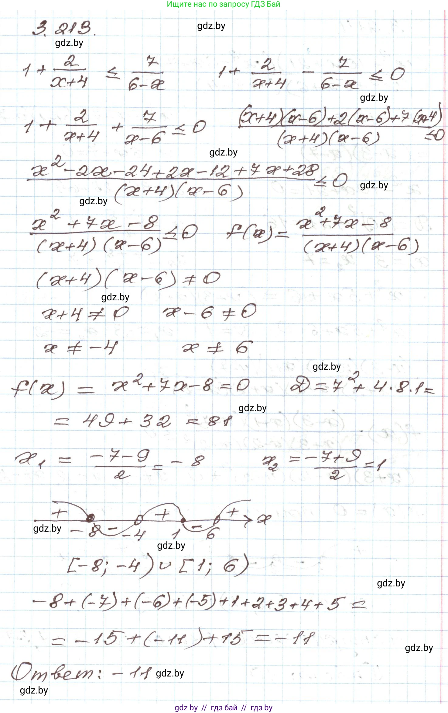
3.213*. Найдите сумму целых решений неравенства

$1 + \frac{2}{x+4} \le \frac{7}{6-x}$

Решение. №3.213 (с. 199)
Алгебра, 9 класс Учебник, авторы: Арефьева Ирина Глебовна, Пирютко Ольга Николаевна, издательство Народная асвета, Минск, 2019, голубого цвета, страница 199, номер 3.213, Решение
Решение 2. №3.213 (с. 199)

Для нахождения суммы целых решений неравенства необходимо последовательно выполнить следующие шаги:

  1. Преобразование исходного неравенства

    Исходное неравенство: $1 + \frac{2}{x+4} \le \frac{7}{6-x}$.

    Область допустимых значений (ОДЗ): $x \neq -4$ и $x \neq 6$.

    Перенесем все члены в левую часть и приведем к общему знаменателю $(x+4)(6-x)$:

    $1 + \frac{2}{x+4} - \frac{7}{6-x} \le 0$

    $\frac{(x+4)(6-x) + 2(6-x) - 7(x+4)}{(x+4)(6-x)} \le 0$

    После раскрытия скобок и приведения подобных слагаемых в числителе получаем:

    $\frac{-x^2-7x+8}{(x+4)(6-x)} \le 0$

    Чтобы упростить выражение, умножим числитель на -1 (изменив знак неравенства) и вынесем -1 из скобки $(6-x)$ в знаменателе (снова изменив знак неравенства), чтобы получить положительные коэффициенты при старших степенях $x$:

    $\frac{x^2+7x-8}{(x+4)(x-6)} \le 0$

    Ответ: $\frac{x^2+7x-8}{(x+4)(x-6)} \le 0$.

  2. Решение неравенства методом интервалов

    Находим нули числителя и знаменателя.
    Нули числителя: $x^2+7x-8=0 \Rightarrow x_1=1, x_2=-8$. Эти точки являются решениями (включительно).
    Нули знаменателя: $x+4=0 \Rightarrow x_3=-4$ и $x-6=0 \Rightarrow x_4=6$. Эти точки не являются решениями (исключаются).

    Отмечаем точки на числовой прямой и определяем знаки выражения $\frac{(x-1)(x+8)}{(x+4)(x-6)}$ на интервалах. Выражение отрицательно или равно нулю на следующих промежутках:

    Ответ: $x \in [-8, -4) \cup [1, 6)$.

  3. Нахождение целых решений

    Выбираем все целые числа из полученных промежутков.

    Из промежутка $[-8, -4)$ целыми решениями являются: -8, -7, -6, -5.

    Из промежутка $[1, 6)$ целыми решениями являются: 1, 2, 3, 4, 5.

    Ответ: $\{-8, -7, -6, -5, 1, 2, 3, 4, 5\}$.

  4. Вычисление суммы целых решений

    Складываем все найденные целые решения:

    $S = (-8) + (-7) + (-6) + (-5) + 1 + 2 + 3 + 4 + 5$

    $S = -26 + 15 = -11$

    Ответ: -11.

Помогло решение? Оставьте отзыв в комментариях ниже.

Присоединяйтесь к Телеграм-группе @gdz_by_belarus

Присоединиться

Мы подготовили для вас ответ c подробным объяснением домашего задания по алгебре за 9 класс, для упражнения номер 3.213 расположенного на странице 199 к учебнику 2019 года издания для учащихся школ и гимназий.

Теперь на нашем сайте ГДЗ.ТОП вы всегда легко и бесплатно найдёте условие с правильным ответом на вопрос «Как решить ДЗ» и «Как сделать» задание по алгебре к упражнению №3.213 (с. 199), авторов: Арефьева (Ирина Глебовна), Пирютко (Ольга Николаевна), учебного пособия издательства Народная асвета.