Номер 3.206, страница 198 - гдз по алгебре 9 класс учебник Арефьева, Пирютко

Алгебра, 9 класс Учебник, авторы: Арефьева Ирина Глебовна, Пирютко Ольга Николаевна, издательство Народная асвета, Минск, 2019, голубого цвета

Авторы: Арефьева И. Г., Пирютко О. Н.

Тип: Учебник

Издательство: Народная асвета

Год издания: 2019 - 2026

Цвет обложки: голубой, синий с графиком

ISBN: 978-985-03-3077-2

Допущено Министерством образования Республики Беларусь

Популярные ГДЗ в 9 классе

Глава 3. Дробно-рациональные уравнения и неравенства. Параграф 13. Дробно-рациональные неравенства. Метод интервалов для решения рациональных неравенств - номер 3.206, страница 198.

№3.206 (с. 198)
Условие. №3.206 (с. 198)
скриншот условия
Алгебра, 9 класс Учебник, авторы: Арефьева Ирина Глебовна, Пирютко Ольга Николаевна, издательство Народная асвета, Минск, 2019, голубого цвета, страница 198, номер 3.206, Условие

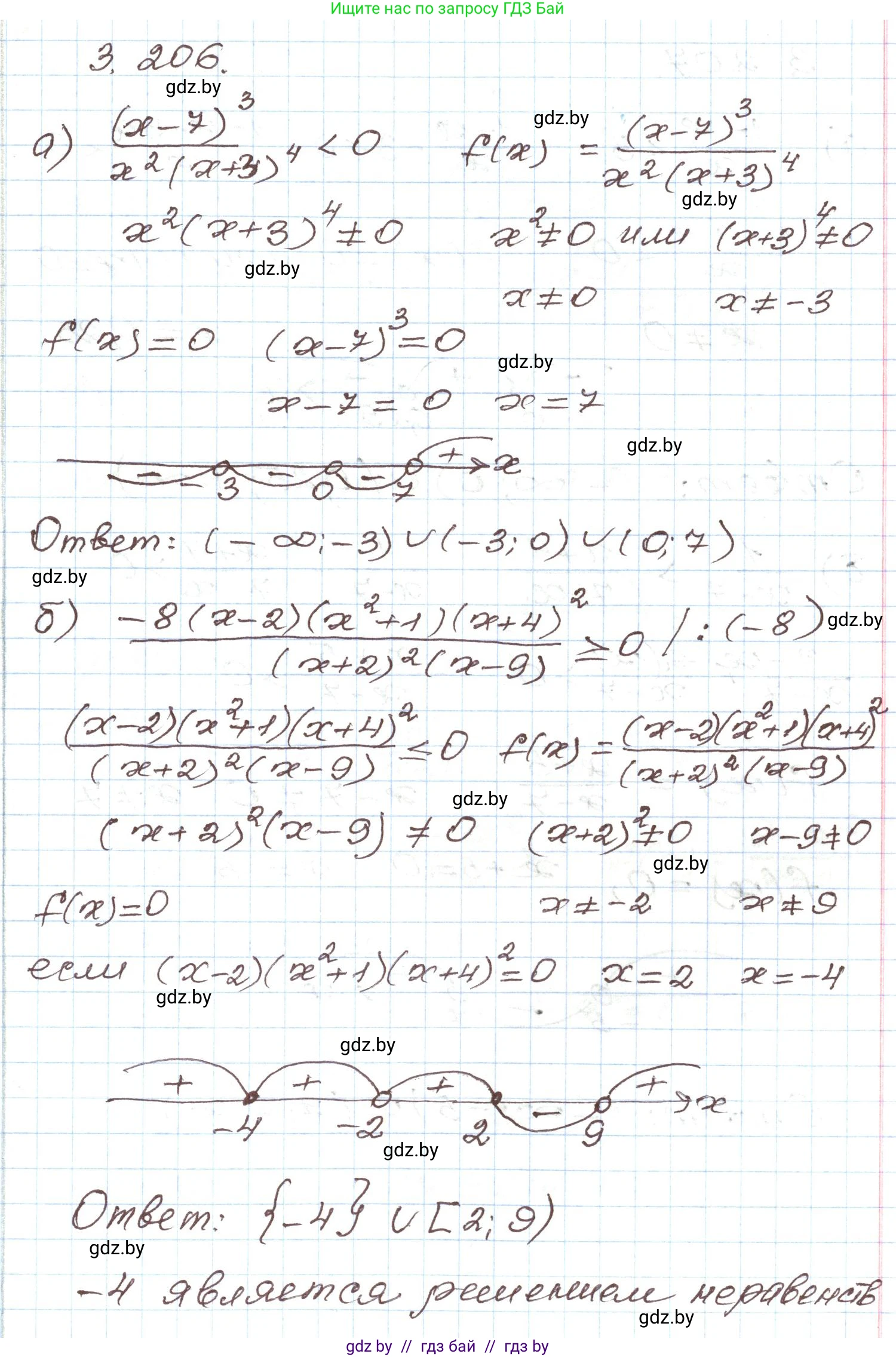
3.206. Решите неравенство:

а) $\frac{(x-7)^3}{x^2(x+3)^4} < 0;$

б) $\frac{-8(x-2)(x^2+1)(x+4)^2}{(x+2)^2(x-9)} \ge 0.$

Являются ли числа $-3; -4$ решением какого-либо из этих неравенств?

Решение. №3.206 (с. 198)
Алгебра, 9 класс Учебник, авторы: Арефьева Ирина Глебовна, Пирютко Ольга Николаевна, издательство Народная асвета, Минск, 2019, голубого цвета, страница 198, номер 3.206, Решение
Решение 2. №3.206 (с. 198)

а) Решим неравенство методом интервалов:

$$ \frac{(x - 7)^3}{x^2(x + 3)^4} < 0 $$

1. Найдем нули числителя и знаменателя (критические точки):

  • Нули числителя: $(x - 7)^3 = 0 \implies x = 7$. Корень имеет нечетную кратность (3), поэтому при переходе через эту точку знак выражения будет меняться.
  • Нули знаменателя: $x^2(x + 3)^4 = 0$. Отсюда $x = 0$ (корень четной кратности 2) и $x = -3$ (корень четной кратности 4). При переходе через эти точки знак выражения меняться не будет.

2. Область допустимых значений (ОДЗ): знаменатель не должен быть равен нулю, поэтому $x \ne 0$ и $x \ne -3$.

3. Отметим точки на числовой оси. Так как неравенство строгое ($< 0$), все точки будут выколотыми (не войдут в решение).

4. Определим знаки выражения на полученных интервалах. Возьмем точку из крайнего правого интервала $(7; +\infty)$, например $x=10$.

$$ \frac{(10 - 7)^3}{10^2(10 + 3)^4} = \frac{3^3}{100 \cdot 13^4} > 0 $$

Знак на интервале $(7; +\infty)$ — плюс. Двигаясь справа налево, меняем знак при переходе через корень нечетной кратности и сохраняем знак при переходе через корень четной кратности:

  • Интервал $(7; +\infty)$: +
  • Интервал $(0; 7)$: - (знак изменился, так как кратность корня $x=7$ нечетная)
  • Интервал $(-3; 0)$: - (знак не изменился, так как кратность корня $x=0$ четная)
  • Интервал $(-\infty; -3)$: - (знак не изменился, так как кратность корня $x=-3$ четная)

Нас интересуют интервалы, где выражение меньше нуля, то есть имеет знак минус.

Ответ: $x \in (-\infty; -3) \cup (-3; 0) \cup (0; 7)$.


б) Решим неравенство:

$$ \frac{-8(x - 2)(x^2 + 1)(x + 4)^2}{(x + 2)^2(x - 9)} \ge 0 $$

1. Упростим неравенство. Разделим обе части на -8, при этом знак неравенства изменится на противоположный. Выражение $x^2 + 1$ всегда положительно ($x^2 + 1 \ge 1$), поэтому его можно исключить из рассмотрения, так как оно не влияет на знак дроби.

$$ \frac{(x - 2)(x + 4)^2}{(x + 2)^2(x - 9)} \le 0 $$

2. Найдем нули числителя и знаменателя методом интервалов:

  • Нули числителя: $(x - 2)(x + 4)^2 = 0 \implies x = 2$ (корень нечетной кратности 1) и $x = -4$ (корень четной кратности 2).
  • Нули знаменателя: $(x + 2)^2(x - 9) = 0 \implies x = -2$ (корень четной кратности 2) и $x = 9$ (корень нечетной кратности 1).

3. ОДЗ: $x \ne -2$ и $x \ne 9$.

4. Отметим точки на числовой оси. Корни числителя ($x=2, x=-4$) будут закрашенными, так как неравенство нестрогое ($\le 0$). Корни знаменателя ($x=-2, x=9$) будут выколотыми.

5. Определим знаки выражения $\frac{(x-2)(x+4)^2}{(x+2)^2(x-9)}$ на интервалах. Для $x > 9$ (например, $x=10$) выражение положительно. Двигаясь справа налево:

  • Интервал $(9; +\infty)$: +
  • Интервал $(2; 9)$: - (знак изменился, $x=9$ — нечетная кратность)
  • Интервал $(-2; 2)$: + (знак изменился, $x=2$ — нечетная кратность)
  • Интервал $(-4; -2)$: + (знак не изменился, $x=-2$ — четная кратность)
  • Интервал $(-\infty; -4)$: + (знак не изменился, $x=-4$ — четная кратность)

Нас интересуют промежутки, где выражение меньше или равно нулю. Выражение меньше нуля на интервале $(2; 9)$. Выражение равно нулю в точках, где числитель равен нулю, то есть при $x=2$ и $x=-4$. Точка $x=2$ уже входит в интервал $[2; 9)$. Точку $x=-4$ нужно добавить в решение как изолированную.

Ответ: $x \in \{-4\} \cup [2; 9)$.


Являются ли числа -3; -4 решением какого-либо из этих неравенств?

Проверим каждое число для обоих неравенств.

Проверка для числа -3:

  • Неравенство а): При подстановке $x=-3$ в знаменатель дроби $\frac{(x - 7)^3}{x^2(x + 3)^4}$ получаем ноль. Деление на ноль не определено, поэтому число -3 не входит в ОДЗ и не является решением.
  • Неравенство б): Подставим $x=-3$ в исходное неравенство: $$ \frac{-8(-3 - 2)((-3)^2 + 1)(-3 + 4)^2}{(-3 + 2)^2(-3 - 9)} = \frac{-8(-5)(10)(1)^2}{(-1)^2(-12)} = \frac{400}{-12} = -\frac{100}{3} = -33\frac{1}{3} $$ Проверяем условие: $-33\frac{1}{3} \ge 0$. Это неверно. Значит, -3 не является решением.

Вывод: Число -3 не является решением ни одного из данных неравенств.

Проверка для числа -4:

  • Неравенство а): Подставим $x=-4$: $$ \frac{(-4 - 7)^3}{(-4)^2(-4 + 3)^4} = \frac{(-11)^3}{16(-1)^4} = \frac{-1331}{16} = -83\frac{3}{16} $$ Проверяем условие: $-83\frac{3}{16} < 0$. Это верно. Значит, -4 является решением.
  • Неравенство б): Подставим $x=-4$: $$ \frac{-8(-4 - 2)((-4)^2 + 1)(-4 + 4)^2}{(-4 + 2)^2(-4 - 9)} = \frac{-8(-6)(17)(0)^2}{(-2)^2(-13)} = \frac{0}{-52} = 0 $$ Проверяем условие: $0 \ge 0$. Это верно. Значит, -4 является решением.

Вывод: Число -4 является решением обоих неравенств.

Ответ: Число -3 не является решением ни одного из неравенств. Число -4 является решением и неравенства а), и неравенства б).

Помогло решение? Оставьте отзыв в комментариях ниже.

Присоединяйтесь к Телеграм-группе @gdz_by_belarus

Присоединиться

Мы подготовили для вас ответ c подробным объяснением домашего задания по алгебре за 9 класс, для упражнения номер 3.206 расположенного на странице 198 к учебнику 2019 года издания для учащихся школ и гимназий.

Теперь на нашем сайте ГДЗ.ТОП вы всегда легко и бесплатно найдёте условие с правильным ответом на вопрос «Как решить ДЗ» и «Как сделать» задание по алгебре к упражнению №3.206 (с. 198), авторов: Арефьева (Ирина Глебовна), Пирютко (Ольга Николаевна), учебного пособия издательства Народная асвета.