Номер 4.147, страница 294 - гдз по алгебре 7 класс учебник Арефьева, Пирютко

Алгебра, 7 класс Учебник, авторы: Арефьева Ирина Глебовна, Пирютко Ольга Николаевна, издательство Народная асвета, Минск, 2022, зелёного цвета

Авторы: Арефьева И. Г., Пирютко О. Н.

Тип: Учебник

Издательство: Народная асвета

Год издания: 2022 - 2026

Цвет обложки: зелёный с графиком

ISBN: ISBN 978-985-03-3770-2

Допущено Министерством образования Республики Беларусь

Популярные ГДЗ в 7 классе

Глава 4. Системы двух линейных уравнений с двумя переменными. Параграф 25. Решение текстовых задач с помощью системы линейных уравнений - номер 4.147, страница 294.

№4.147 (с. 294)
Условие. №4.147 (с. 294)
скриншот условия
Алгебра, 7 класс Учебник, авторы: Арефьева Ирина Глебовна, Пирютко Ольга Николаевна, издательство Народная асвета, Минск, 2022, зелёного цвета, страница 294, номер 4.147, Условие

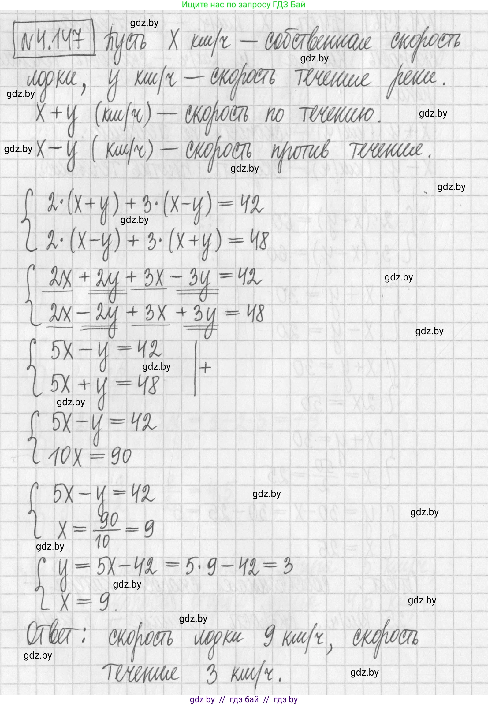
4.147. За 2 ч по течению реки и 3 ч против течения моторная лодка прошла 42 км. А за 2 ч против течения и 3 ч по течению — 48 км. Найдите собственную скорость лодки и скорость течения реки.

Решение. №4.147 (с. 294)
Алгебра, 7 класс Учебник, авторы: Арефьева Ирина Глебовна, Пирютко Ольга Николаевна, издательство Народная асвета, Минск, 2022, зелёного цвета, страница 294, номер 4.147, Решение
Решение 2. №4.147 (с. 294)

Для решения задачи введем переменные и составим систему уравнений.

Пусть $v_л$ — это собственная скорость лодки в км/ч, а $v_т$ — скорость течения реки в км/ч.

  • Скорость лодки по течению реки: $v_л + v_т$ (км/ч)
  • Скорость лодки против течения реки: $v_л - v_т$ (км/ч)

Используем основную формулу движения: расстояние = скорость × время ($S = v \cdot t$).

Шаг 1: Составление системы уравнений

На основе данных из условия задачи составим два уравнения:

1. За 2 часа по течению ($2 \cdot (v_л + v_т)$) и 3 часа против течения ($3 \cdot (v_л - v_т)$) лодка прошла 42 км.
Уравнение 1: $2(v_л + v_т) + 3(v_л - v_т) = 42$

2. За 3 часа по течению ($3 \cdot (v_л + v_т)$) и 2 часа против течения ($2 \cdot (v_л - v_т)$) лодка прошла 48 км.
Уравнение 2: $3(v_л + v_т) + 2(v_л - v_т) = 48$

Шаг 2: Упрощение уравнений

Раскроем скобки и приведем подобные слагаемые в каждом уравнении.

Для уравнения 1:
$2v_л + 2v_т + 3v_л - 3v_т = 42$
$5v_л - v_т = 42$

Для уравнения 2:
$3v_л + 3v_т + 2v_л - 2v_т = 48$
$5v_л + v_т = 48$

В результате мы получили более простую систему линейных уравнений: $$ \begin{cases} 5v_л - v_т = 42 \\ 5v_л + v_т = 48 \end{cases} $$

Шаг 3: Решение системы уравнений

Для решения системы используем метод сложения. Сложим первое и второе уравнения, чтобы найти $v_л$:

$(5v_л - v_т) + (5v_л + v_т) = 42 + 48$

$10v_л = 90$

$v_л = \frac{90}{10}$

$v_л = 9$

Таким образом, собственная скорость лодки равна 9 км/ч.

Теперь подставим найденное значение $v_л = 9$ в любое из упрощенных уравнений, например, во второе ($5v_л + v_т = 48$), чтобы найти $v_т$:

$5 \cdot 9 + v_т = 48$

$45 + v_т = 48$

$v_т = 48 - 45$

$v_т = 3$

Таким образом, скорость течения реки равна 3 км/ч.


Собственная скорость лодки
Собственная скорость лодки составляет 9 км/ч.
Ответ: 9

Скорость течения реки
Скорость течения реки составляет 3 км/ч.
Ответ: 3

Помогло решение? Оставьте отзыв в комментариях ниже.

Присоединяйтесь к Телеграм-группе @gdz_by_belarus

Присоединиться

Мы подготовили для вас ответ c подробным объяснением домашего задания по алгебре за 7 класс, для упражнения номер 4.147 расположенного на странице 294 к учебнику 2022 года издания для учащихся школ и гимназий.

Теперь на нашем сайте ГДЗ.ТОП вы всегда легко и бесплатно найдёте условие с правильным ответом на вопрос «Как решить ДЗ» и «Как сделать» задание по алгебре к упражнению №4.147 (с. 294), авторов: Арефьева (Ирина Глебовна), Пирютко (Ольга Николаевна), учебного пособия издательства Народная асвета.