Номер 4.142, страница 294 - гдз по алгебре 7 класс учебник Арефьева, Пирютко

Алгебра, 7 класс Учебник, авторы: Арефьева Ирина Глебовна, Пирютко Ольга Николаевна, издательство Народная асвета, Минск, 2022, зелёного цвета

Авторы: Арефьева И. Г., Пирютко О. Н.

Тип: Учебник

Издательство: Народная асвета

Год издания: 2022 - 2026

Цвет обложки: зелёный с графиком

ISBN: ISBN 978-985-03-3770-2

Допущено Министерством образования Республики Беларусь

Популярные ГДЗ в 7 классе

Глава 4. Системы двух линейных уравнений с двумя переменными. Параграф 25. Решение текстовых задач с помощью системы линейных уравнений - номер 4.142, страница 294.

№4.142 (с. 294)
Условие. №4.142 (с. 294)
скриншот условия
Алгебра, 7 класс Учебник, авторы: Арефьева Ирина Глебовна, Пирютко Ольга Николаевна, издательство Народная асвета, Минск, 2022, зелёного цвета, страница 294, номер 4.142, Условие

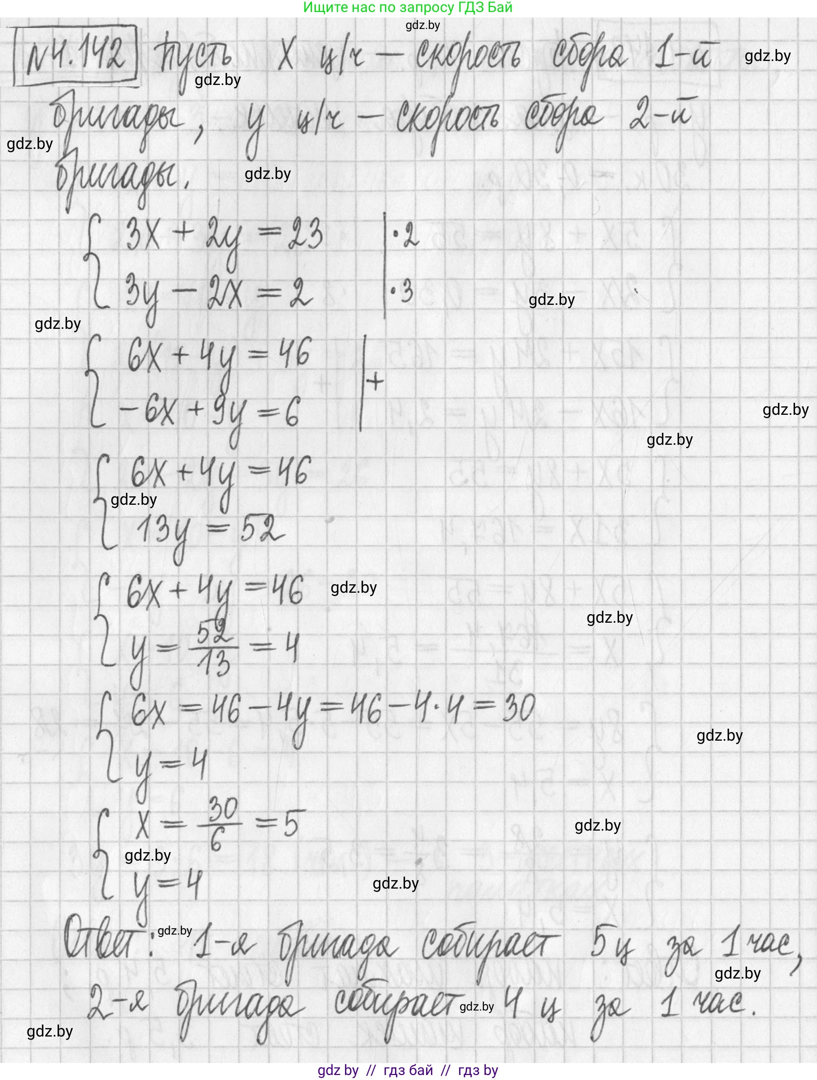
4.142. Две бригады студентов работали на сборе яблок. В первый день одна бригада работала 3 ч, а вторая — 2 ч, причем вместе они собрали 23 ц яблок. На следующий день первая бригада за 2 ч собрала на 2 ц яблок меньше, чем вторая за 3 ч. Сколько центнеров яблок собирала каждая бригада за 1 ч?

Решение. №4.142 (с. 294)
Алгебра, 7 класс Учебник, авторы: Арефьева Ирина Глебовна, Пирютко Ольга Николаевна, издательство Народная асвета, Минск, 2022, зелёного цвета, страница 294, номер 4.142, Решение
Решение 2. №4.142 (с. 294)

Для решения задачи необходимо составить и решить систему уравнений. Пусть $x$ — количество центнеров яблок, которое собирает первая бригада за 1 час, а $y$ — количество центнеров яблок, которое собирает вторая бригада за 1 час.

1. Составление системы уравнений

Из условия, что в первый день первая бригада работала 3 часа (собрала $3x$ ц), а вторая — 2 часа (собрала $2y$ ц), и вместе они собрали 23 ц яблок, получаем первое уравнение: $$3x + 2y = 23$$

Из условия, что на следующий день первая бригада за 2 часа (собрала $2x$ ц) собрала на 2 ц яблок меньше, чем вторая за 3 часа (собрала $3y$ ц), получаем второе уравнение: $$2x = 3y - 2$$ Приведем его к стандартному виду для системы: $$2x - 3y = -2$$

2. Решение системы уравнений

Мы получили систему из двух линейных уравнений:

$$ \begin{cases} 3x + 2y = 23 \\ 2x - 3y = -2 \end{cases} $$

Решим систему методом алгебраического сложения. Умножим первое уравнение на 3, а второе — на 2, чтобы коэффициенты при переменной $y$ стали противоположными по знаку:

$$ \begin{cases} 3 \cdot (3x + 2y) = 3 \cdot 23 \\ 2 \cdot (2x - 3y) = 2 \cdot (-2) \end{cases} $$ $$ \begin{cases} 9x + 6y = 69 \\ 4x - 6y = -4 \end{cases} $$

Теперь сложим два уравнения: $$(9x + 6y) + (4x - 6y) = 69 + (-4)$$ $$13x = 65$$ $$x = \frac{65}{13}$$ $$x = 5$$

Мы нашли производительность первой бригады. Теперь подставим значение $x=5$ в первое исходное уравнение, чтобы найти $y$: $$3(5) + 2y = 23$$ $$15 + 2y = 23$$ $$2y = 23 - 15$$ $$2y = 8$$ $$y = \frac{8}{2}$$ $$y = 4$$

Таким образом, производительность первой бригады составляет 5 ц/ч, а второй — 4 ц/ч.


Сколько центнеров яблок собирала первая бригада за 1 ч?
Ответ: 5.

Сколько центнеров яблок собирала вторая бригада за 1 ч?
Ответ: 4.

Помогло решение? Оставьте отзыв в комментариях ниже.

Присоединяйтесь к Телеграм-группе @gdz_by_belarus

Присоединиться

Мы подготовили для вас ответ c подробным объяснением домашего задания по алгебре за 7 класс, для упражнения номер 4.142 расположенного на странице 294 к учебнику 2022 года издания для учащихся школ и гимназий.

Теперь на нашем сайте ГДЗ.ТОП вы всегда легко и бесплатно найдёте условие с правильным ответом на вопрос «Как решить ДЗ» и «Как сделать» задание по алгебре к упражнению №4.142 (с. 294), авторов: Арефьева (Ирина Глебовна), Пирютко (Ольга Николаевна), учебного пособия издательства Народная асвета.