Номер 3.51, страница 158 - гдз по алгебре 7 класс учебник Арефьева, Пирютко

Алгебра, 7 класс Учебник, авторы: Арефьева Ирина Глебовна, Пирютко Ольга Николаевна, издательство Народная асвета, Минск, 2022, зелёного цвета

Авторы: Арефьева И. Г., Пирютко О. Н.

Тип: Учебник

Издательство: Народная асвета

Год издания: 2022 - 2026

Цвет обложки: зелёный с графиком

ISBN: ISBN 978-985-03-3770-2

Допущено Министерством образования Республики Беларусь

Популярные ГДЗ в 7 классе

Глава 3. Линейные уравнения. Линейные неравенства. Линейная функция. Параграф 15. Линейные уравнения с одной переменной - номер 3.51, страница 158.

№3.51 (с. 158)
Условие. №3.51 (с. 158)
скриншот условия
Алгебра, 7 класс Учебник, авторы: Арефьева Ирина Глебовна, Пирютко Ольга Николаевна, издательство Народная асвета, Минск, 2022, зелёного цвета, страница 158, номер 3.51, Условие

3.51. Выполните тождественные преобразования в левой и правой частях уравнения и решите его:

а) $(2 - x)(x + 2) = x(3 - x)$;

б) $x(x - 2) - 8 = (x + 2)(x - 4)$;

в) $2(x + 3)(x - 2) - 7 = (2x + 1)(x - 3)$;

г) $13x(6x - 1) - 6x(13x - 9) = -13 - 24x$.

Решение. №3.51 (с. 158)
Алгебра, 7 класс Учебник, авторы: Арефьева Ирина Глебовна, Пирютко Ольга Николаевна, издательство Народная асвета, Минск, 2022, зелёного цвета, страница 158, номер 3.51, Решение Алгебра, 7 класс Учебник, авторы: Арефьева Ирина Глебовна, Пирютко Ольга Николаевна, издательство Народная асвета, Минск, 2022, зелёного цвета, страница 158, номер 3.51, Решение (продолжение 2)
Решение 2. №3.51 (с. 158)

а) $(2 - x)(x + 2) = x(3 - x)$

Выполним тождественные преобразования в обеих частях уравнения. В левой части используем формулу разности квадратов $(a-b)(a+b)=a^2-b^2$:

$(2 - x)(2 + x) = 2^2 - x^2 = 4 - x^2$

В правой части раскроем скобки, умножив $x$ на каждый член в скобках:

$x(3 - x) = 3x - x^2$

Теперь уравнение имеет вид:

$4 - x^2 = 3x - x^2$

Прибавим к обеим частям уравнения $x^2$, чтобы избавиться от квадратичных членов:

$4 - x^2 + x^2 = 3x - x^2 + x^2$

$4 = 3x$

Чтобы найти $x$, разделим обе части на 3:

$x = \frac{4}{3}$

Так как это неправильная дробь, выделим целую часть:

$x = 1\frac{1}{3}$

Ответ: $1\frac{1}{3}$

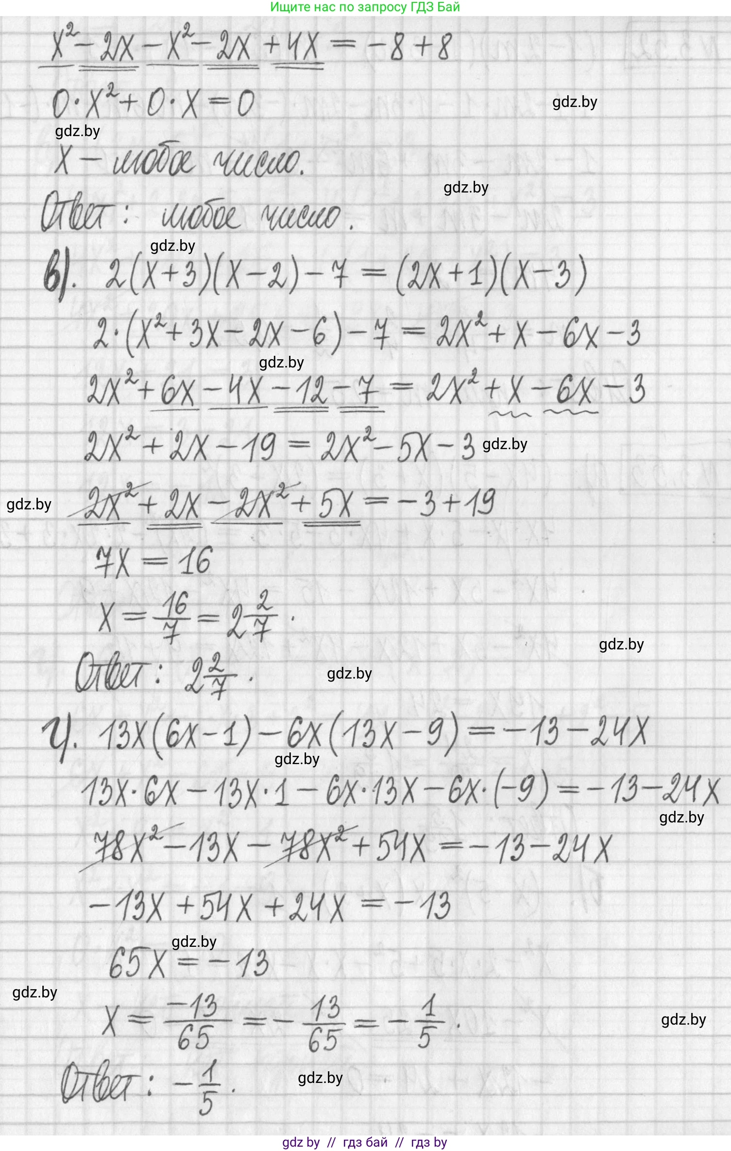
б) $x(x - 2) - 8 = (x + 2)(x - 4)$

Преобразуем левую часть, раскрыв скобки:

$x \cdot x - x \cdot 2 - 8 = x^2 - 2x - 8$

Преобразуем правую часть, перемножив многочлены:

$(x + 2)(x - 4) = x^2 - 4x + 2x - 8 = x^2 - 2x - 8$

Получаем уравнение:

$x^2 - 2x - 8 = x^2 - 2x - 8$

Мы видим, что левая и правая части уравнения тождественно равны. Если мы перенесем все члены в одну сторону, они взаимно уничтожатся:

$(x^2 - x^2) + (-2x + 2x) + (-8 + 8) = 0$

$0 = 0$

Это верное равенство, которое не зависит от $x$. Следовательно, уравнение справедливо для любого значения $x$.

Ответ: $x$ - любое число.

в) $2(x + 3)(x - 2) - 7 = (2x + 1)(x - 3)$

Преобразуем левую часть уравнения. Сначала перемножим скобки, а затем умножим результат на 2:

$2(x^2 - 2x + 3x - 6) - 7 = 2(x^2 + x - 6) - 7 = 2x^2 + 2x - 12 - 7 = 2x^2 + 2x - 19$

Преобразуем правую часть уравнения, перемножив многочлены:

$(2x + 1)(x - 3) = 2x^2 - 6x + x - 3 = 2x^2 - 5x - 3$

Теперь уравнение имеет вид:

$2x^2 + 2x - 19 = 2x^2 - 5x - 3$

Вычтем $2x^2$ из обеих частей:

$2x - 19 = -5x - 3$

Перенесем члены с $x$ в левую сторону, а свободные члены (константы) в правую:

$2x + 5x = 19 - 3$

$7x = 16$

Разделим обе части на 7:

$x = \frac{16}{7}$

Выделим целую часть из неправильной дроби:

$x = 2\frac{2}{7}$

Ответ: $2\frac{2}{7}$

г) $13x(6x - 1) - 6x(13x - 9) = -13 - 24x$

Преобразуем левую часть, раскрыв скобки:

$(13x \cdot 6x - 13x \cdot 1) - (6x \cdot 13x - 6x \cdot 9) = (78x^2 - 13x) - (78x^2 - 54x)$

Раскроем вторые скобки, изменив знаки на противоположные:

$78x^2 - 13x - 78x^2 + 54x$

Приведем подобные слагаемые:

$(78x^2 - 78x^2) + (-13x + 54x) = 0 + 41x = 41x$

Теперь уравнение имеет вид:

$41x = -13 - 24x$

Перенесем член с $x$ из правой части в левую:

$41x + 24x = -13$

$65x = -13$

Чтобы найти $x$, разделим обе части на 65:

$x = -\frac{13}{65}$

Сократим дробь, разделив числитель и знаменатель на 13:

$x = -\frac{1}{5}$

Ответ: $-\frac{1}{5}$

Помогло решение? Оставьте отзыв в комментариях ниже.

Присоединяйтесь к Телеграм-группе @gdz_by_belarus

Присоединиться

Мы подготовили для вас ответ c подробным объяснением домашего задания по алгебре за 7 класс, для упражнения номер 3.51 расположенного на странице 158 к учебнику 2022 года издания для учащихся школ и гимназий.

Теперь на нашем сайте ГДЗ.ТОП вы всегда легко и бесплатно найдёте условие с правильным ответом на вопрос «Как решить ДЗ» и «Как сделать» задание по алгебре к упражнению №3.51 (с. 158), авторов: Арефьева (Ирина Глебовна), Пирютко (Ольга Николаевна), учебного пособия издательства Народная асвета.