Номер 3.46, страница 158 - гдз по алгебре 7 класс учебник Арефьева, Пирютко

Алгебра, 7 класс Учебник, авторы: Арефьева Ирина Глебовна, Пирютко Ольга Николаевна, издательство Народная асвета, Минск, 2022, зелёного цвета

Авторы: Арефьева И. Г., Пирютко О. Н.

Тип: Учебник

Издательство: Народная асвета

Год издания: 2022 - 2026

Цвет обложки: зелёный с графиком

ISBN: ISBN 978-985-03-3770-2

Допущено Министерством образования Республики Беларусь

Популярные ГДЗ в 7 классе

Глава 3. Линейные уравнения. Линейные неравенства. Линейная функция. Параграф 15. Линейные уравнения с одной переменной - номер 3.46, страница 158.

№3.46 (с. 158)
Условие. №3.46 (с. 158)
скриншот условия
Алгебра, 7 класс Учебник, авторы: Арефьева Ирина Глебовна, Пирютко Ольга Николаевна, издательство Народная асвета, Минск, 2022, зелёного цвета, страница 158, номер 3.46, Условие

3.46. Найдите корень уравнения:

a) $3x - 2 = 2(x + 1) - 4;$

б) $10x - (2x - 4) = 4(3x - 2);$

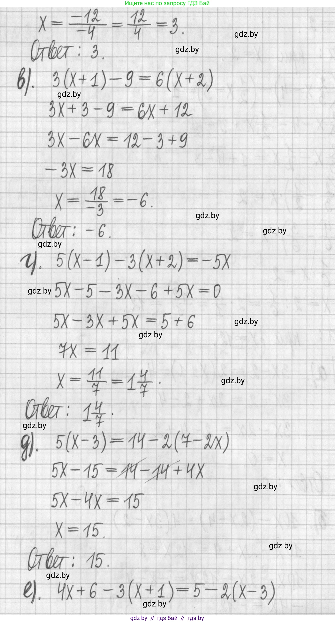
в) $3(x + 1) - 9 = 6(x + 2);$

Г) $5(x - 1) - 3(x + 2) = -5x;$

д) $5(x - 3) = 14 - 2(7 - 2x);$

е) $4x + 6 - 3(x + 1) = 5 - 2(x - 3).$

Решение. №3.46 (с. 158)
Алгебра, 7 класс Учебник, авторы: Арефьева Ирина Глебовна, Пирютко Ольга Николаевна, издательство Народная асвета, Минск, 2022, зелёного цвета, страница 158, номер 3.46, Решение Алгебра, 7 класс Учебник, авторы: Арефьева Ирина Глебовна, Пирютко Ольга Николаевна, издательство Народная асвета, Минск, 2022, зелёного цвета, страница 158, номер 3.46, Решение (продолжение 2)
Решение 2. №3.46 (с. 158)

а) Решим уравнение: $3x - 2 = 2(x + 1) - 4$.

Сначала раскроем скобки в правой части уравнения:

$3x - 2 = 2x + 2 - 4$

Упростим правую часть:

$3x - 2 = 2x - 2$

Теперь перенесем слагаемые с $x$ в левую часть, а числа — в правую:

$3x - 2x = -2 + 2$

Приведем подобные слагаемые:

$x = 0$

Ответ: 0.

б) Решим уравнение: $10x - (2x - 4) = 4(3x - 2)$.

Раскроем скобки в обеих частях уравнения:

$10x - 2x + 4 = 12x - 8$

Упростим левую часть:

$8x + 4 = 12x - 8$

Перенесем слагаемые с $x$ в правую часть, а числа — в левую, чтобы коэффициент при $x$ был положительным:

$4 + 8 = 12x - 8x$

Приведем подобные слагаемые:

$12 = 4x$

Найдем $x$:

$x = \frac{12}{4}$

$x = 3$

Ответ: 3.

в) Решим уравнение: $3(x + 1) - 9 = 6(x + 2)$.

Раскроем скобки в обеих частях уравнения:

$3x + 3 - 9 = 6x + 12$

Упростим левую часть:

$3x - 6 = 6x + 12$

Перенесем слагаемые с $x$ в правую часть, а числа — в левую:

$-6 - 12 = 6x - 3x$

Приведем подобные слагаемые:

$-18 = 3x$

Найдем $x$:

$x = \frac{-18}{3}$

$x = -6$

Ответ: -6.

г) Решим уравнение: $5(x - 1) - 3(x + 2) = -5x$.

Раскроем скобки в левой части уравнения:

$5x - 5 - 3x - 6 = -5x$

Упростим левую часть:

$2x - 11 = -5x$

Перенесем слагаемые с $x$ в левую часть, а числа — в правую:

$2x + 5x = 11$

Приведем подобные слагаемые:

$7x = 11$

Найдем $x$:

$x = \frac{11}{7}$

Выделим целую часть из неправильной дроби:

$x = 1\frac{4}{7}$

Ответ: $1\frac{4}{7}$.

д) Решим уравнение: $5(x - 3) = 14 - 2(7 - 2x)$.

Раскроем скобки в обеих частях уравнения:

$5x - 15 = 14 - 14 + 4x$

Упростим правую часть:

$5x - 15 = 4x$

Перенесем слагаемые с $x$ в левую часть, а числа — в правую:

$5x - 4x = 15$

Приведем подобные слагаемые:

$x = 15$

Ответ: 15.

е) Решим уравнение: $4x + 6 - 3(x + 1) = 5 - 2(x - 3)$.

Раскроем скобки в обеих частях уравнения:

$4x + 6 - 3x - 3 = 5 - 2x + 6$

Упростим обе части:

$x + 3 = 11 - 2x$

Перенесем слагаемые с $x$ в левую часть, а числа — в правую:

$x + 2x = 11 - 3$

Приведем подобные слагаемые:

$3x = 8$

Найдем $x$:

$x = \frac{8}{3}$

Выделим целую часть из неправильной дроби:

$x = 2\frac{2}{3}$

Ответ: $2\frac{2}{3}$.

Помогло решение? Оставьте отзыв в комментариях ниже.

Присоединяйтесь к Телеграм-группе @gdz_by_belarus

Присоединиться

Мы подготовили для вас ответ c подробным объяснением домашего задания по алгебре за 7 класс, для упражнения номер 3.46 расположенного на странице 158 к учебнику 2022 года издания для учащихся школ и гимназий.

Теперь на нашем сайте ГДЗ.ТОП вы всегда легко и бесплатно найдёте условие с правильным ответом на вопрос «Как решить ДЗ» и «Как сделать» задание по алгебре к упражнению №3.46 (с. 158), авторов: Арефьева (Ирина Глебовна), Пирютко (Ольга Николаевна), учебного пособия издательства Народная асвета.