Номер 3.31, страница 156 - гдз по алгебре 7 класс учебник Арефьева, Пирютко

Алгебра, 7 класс Учебник, авторы: Арефьева Ирина Глебовна, Пирютко Ольга Николаевна, издательство Народная асвета, Минск, 2022, зелёного цвета

Авторы: Арефьева И. Г., Пирютко О. Н.

Тип: Учебник

Издательство: Народная асвета

Год издания: 2022 - 2026

Цвет обложки: зелёный с графиком

ISBN: ISBN 978-985-03-3770-2

Допущено Министерством образования Республики Беларусь

Популярные ГДЗ в 7 классе

Глава 3. Линейные уравнения. Линейные неравенства. Линейная функция. Параграф 15. Линейные уравнения с одной переменной - номер 3.31, страница 156.

№3.31 (с. 156)
Условие. №3.31 (с. 156)
скриншот условия
Алгебра, 7 класс Учебник, авторы: Арефьева Ирина Глебовна, Пирютко Ольга Николаевна, издательство Народная асвета, Минск, 2022, зелёного цвета, страница 156, номер 3.31, Условие

3.31. Примените формулы квадрата суммы и квадрата разности и решите уравнение:

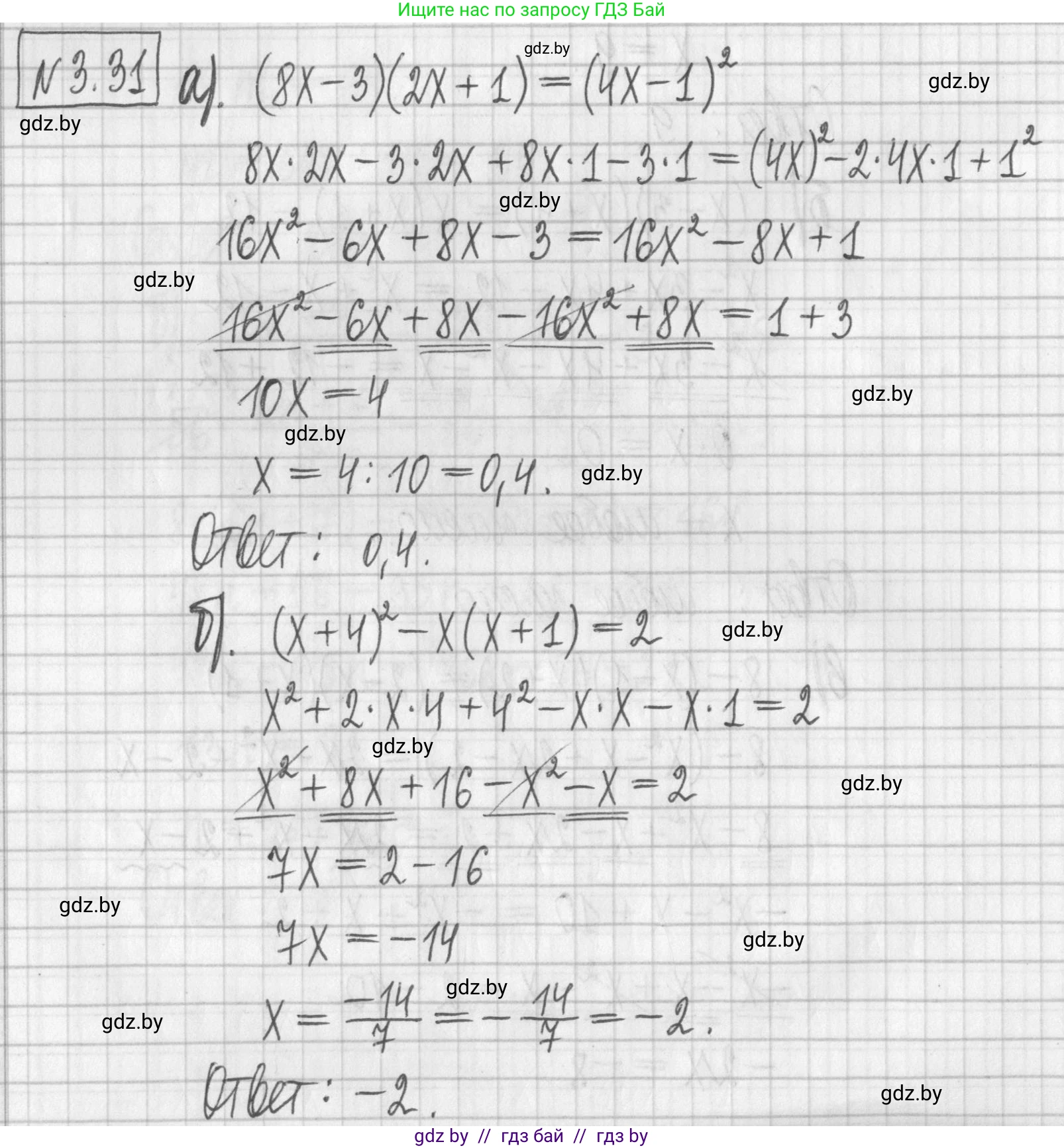
а) $(8x - 3)(2x + 1) = (4x - 1)^2;$

б) $(x + 4)^2 - x(x + 1) = 2;$

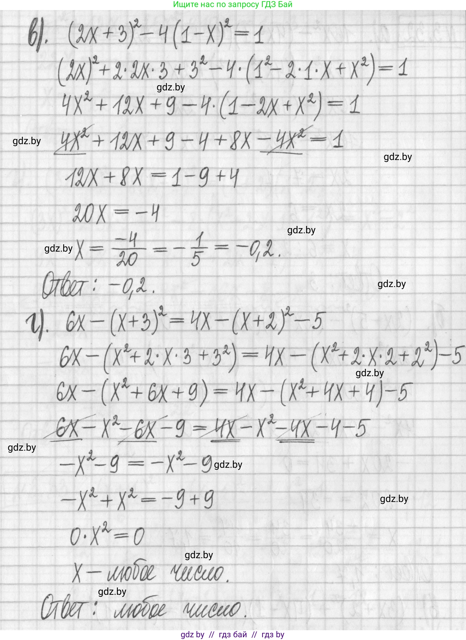
в) $(2x + 3)^2 - 4(1 - x)^2 = 1;$

г) $6x - (x + 3)^2 = 4x - (x + 2)^2 - 5.$

Решение. №3.31 (с. 156)
Алгебра, 7 класс Учебник, авторы: Арефьева Ирина Глебовна, Пирютко Ольга Николаевна, издательство Народная асвета, Минск, 2022, зелёного цвета, страница 156, номер 3.31, Решение Алгебра, 7 класс Учебник, авторы: Арефьева Ирина Глебовна, Пирютко Ольга Николаевна, издательство Народная асвета, Минск, 2022, зелёного цвета, страница 156, номер 3.31, Решение (продолжение 2)
Решение 2. №3.31 (с. 156)

Для решения уравнений применим формулы сокращенного умножения: квадрат суммы $(a+b)^2 = a^2 + 2ab + b^2$ и квадрат разности $(a-b)^2 = a^2 - 2ab + b^2$.

а) $(8x - 3)(2x + 1) = (4x - 1)^2$

Раскроем скобки в обеих частях уравнения. В левой части перемножим многочлены, а в правой применим формулу квадрата разности.

$8x \cdot 2x + 8x \cdot 1 - 3 \cdot 2x - 3 \cdot 1 = (4x)^2 - 2 \cdot 4x \cdot 1 + 1^2$

$16x^2 + 8x - 6x - 3 = 16x^2 - 8x + 1$

Приведем подобные слагаемые:

$16x^2 + 2x - 3 = 16x^2 - 8x + 1$

Перенесем члены с переменной $x$ в левую часть, а числовые члены - в правую. Члены с $x^2$ взаимно уничтожаются.

$2x + 8x = 1 + 3$

$10x = 4$

$x = \frac{4}{10} = \frac{2}{5}$

Ответ: $x = \frac{2}{5}$


б) $(x + 4)^2 - x(x + 1) = 2$

Раскроем скобки, используя формулу квадрата суммы и распределительный закон умножения.

$(x^2 + 2 \cdot x \cdot 4 + 4^2) - (x \cdot x + x \cdot 1) = 2$

$x^2 + 8x + 16 - x^2 - x = 2$

Приведем подобные слагаемые:

$(x^2 - x^2) + (8x - x) + 16 = 2$

$7x + 16 = 2$

Перенесем 16 в правую часть:

$7x = 2 - 16$

$7x = -14$

$x = \frac{-14}{7}$

$x = -2$

Ответ: $x = -2$


в) $(2x + 3)^2 - 4(1 - x)^2 = 1$

Раскроем скобки, используя формулы квадрата суммы и квадрата разности.

$((2x)^2 + 2 \cdot 2x \cdot 3 + 3^2) - 4(1^2 - 2 \cdot 1 \cdot x + x^2) = 1$

$(4x^2 + 12x + 9) - 4(1 - 2x + x^2) = 1$

Раскроем вторые скобки:

$4x^2 + 12x + 9 - 4 + 8x - 4x^2 = 1$

Приведем подобные слагаемые:

$(4x^2 - 4x^2) + (12x + 8x) + (9 - 4) = 1$

$20x + 5 = 1$

Перенесем 5 в правую часть:

$20x = 1 - 5$

$20x = -4$

$x = -\frac{4}{20} = -\frac{1}{5}$

Ответ: $x = -\frac{1}{5}$


г) $6x - (x + 3)^2 = 4x - (x + 2)^2 - 5$

Раскроем скобки в обеих частях уравнения, используя формулу квадрата суммы.

$6x - (x^2 + 2 \cdot x \cdot 3 + 3^2) = 4x - (x^2 + 2 \cdot x \cdot 2 + 2^2) - 5$

$6x - (x^2 + 6x + 9) = 4x - (x^2 + 4x + 4) - 5$

Раскроем скобки, меняя знаки:

$6x - x^2 - 6x - 9 = 4x - x^2 - 4x - 4 - 5$

Приведем подобные слагаемые в каждой части:

$(6x - 6x) - x^2 - 9 = (4x - 4x) - x^2 - (4 + 5)$

$-x^2 - 9 = -x^2 - 9$

Мы получили верное равенство $-9 = -9$, которое не зависит от значения переменной $x$. Это означает, что исходное уравнение является тождеством.

Ответ: $x$ - любое число.

Помогло решение? Оставьте отзыв в комментариях ниже.

Присоединяйтесь к Телеграм-группе @gdz_by_belarus

Присоединиться

Мы подготовили для вас ответ c подробным объяснением домашего задания по алгебре за 7 класс, для упражнения номер 3.31 расположенного на странице 156 к учебнику 2022 года издания для учащихся школ и гимназий.

Теперь на нашем сайте ГДЗ.ТОП вы всегда легко и бесплатно найдёте условие с правильным ответом на вопрос «Как решить ДЗ» и «Как сделать» задание по алгебре к упражнению №3.31 (с. 156), авторов: Арефьева (Ирина Глебовна), Пирютко (Ольга Николаевна), учебного пособия издательства Народная асвета.