Номер 3.25, страница 155 - гдз по алгебре 7 класс учебник Арефьева, Пирютко

Алгебра, 7 класс Учебник, авторы: Арефьева Ирина Глебовна, Пирютко Ольга Николаевна, издательство Народная асвета, Минск, 2022, зелёного цвета

Авторы: Арефьева И. Г., Пирютко О. Н.

Тип: Учебник

Издательство: Народная асвета

Год издания: 2022 - 2026

Цвет обложки: зелёный с графиком

ISBN: ISBN 978-985-03-3770-2

Допущено Министерством образования Республики Беларусь

Популярные ГДЗ в 7 классе

Глава 3. Линейные уравнения. Линейные неравенства. Линейная функция. Параграф 15. Линейные уравнения с одной переменной - номер 3.25, страница 155.

№3.25 (с. 155)
Условие. №3.25 (с. 155)
скриншот условия
Алгебра, 7 класс Учебник, авторы: Арефьева Ирина Глебовна, Пирютко Ольга Николаевна, издательство Народная асвета, Минск, 2022, зелёного цвета, страница 155, номер 3.25, Условие

3.25. Решите уравнение:

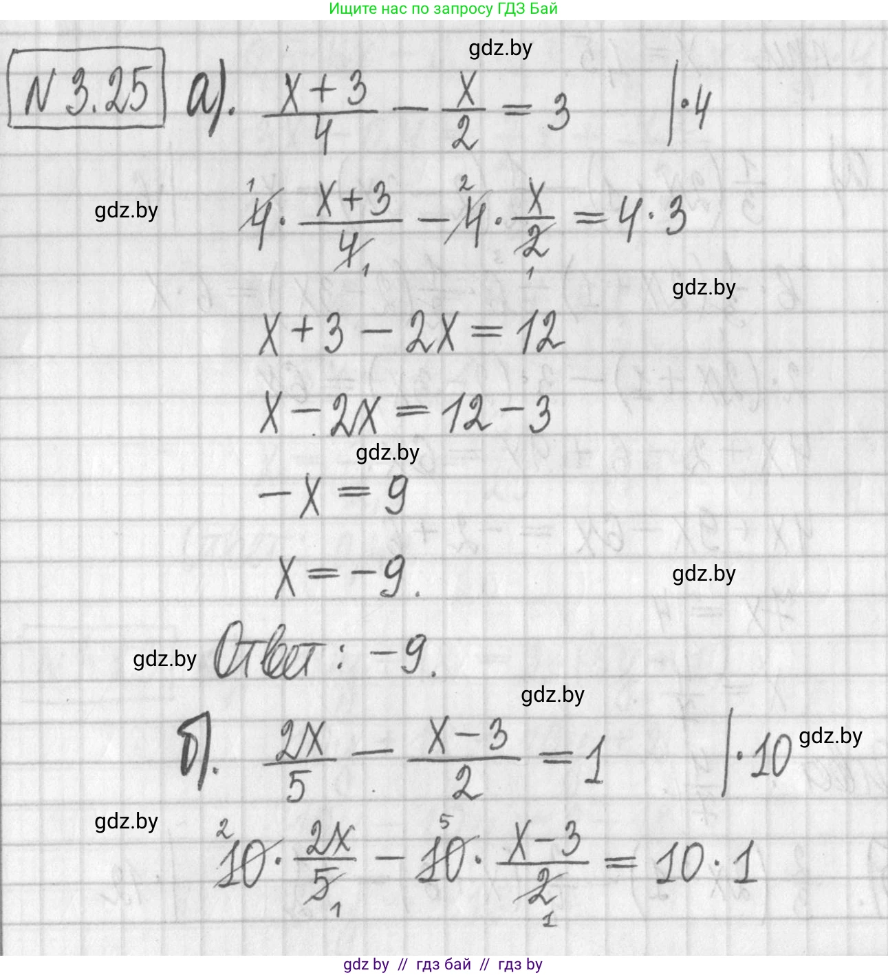
а) $\frac{x+3}{4} - \frac{x}{2} = 3;$

б) $\frac{2x}{5} - \frac{x-3}{2} = 1;$

в) $\frac{x-4}{3} - \frac{x+1}{2} = 3;$

г) $\frac{2x}{3} - \frac{2x+1}{6} = \frac{3x-5}{4};$

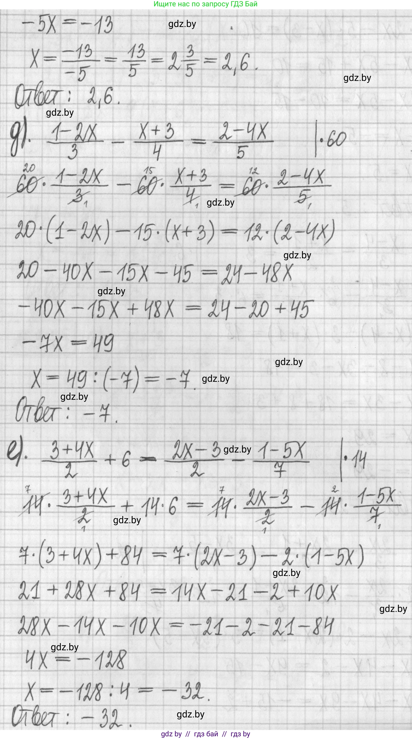
д) $\frac{1-2x}{3} - \frac{x+3}{4} = \frac{2-4x}{5};$

е) $\frac{3+4x}{2} + 6 = \frac{2x-3}{2} - \frac{1-5x}{7}.$

Решение. №3.25 (с. 155)
Алгебра, 7 класс Учебник, авторы: Арефьева Ирина Глебовна, Пирютко Ольга Николаевна, издательство Народная асвета, Минск, 2022, зелёного цвета, страница 155, номер 3.25, Решение Алгебра, 7 класс Учебник, авторы: Арефьева Ирина Глебовна, Пирютко Ольга Николаевна, издательство Народная асвета, Минск, 2022, зелёного цвета, страница 155, номер 3.25, Решение (продолжение 2)
Решение 2. №3.25 (с. 155)

а) $\frac{x+3}{4} - \frac{x}{2} = 3$

Чтобы решить это уравнение, сначала избавимся от знаменателей. Найдем наименьший общий знаменатель для 4 и 2, который равен 4. Умножим обе части уравнения на 4:

$4 \cdot \left(\frac{x+3}{4} - \frac{x}{2}\right) = 4 \cdot 3$

$4 \cdot \frac{x+3}{4} - 4 \cdot \frac{x}{2} = 12$

$(x+3) - 2x = 12$

Теперь раскроем скобки и решим полученное линейное уравнение:

$x + 3 - 2x = 12$

$-x + 3 = 12$

$-x = 12 - 3$

$-x = 9$

$x = -9$

Ответ: -9.


б) $\frac{2x}{5} - \frac{x-3}{2} = 1$

Найдем наименьший общий знаменатель для 5 и 2, который равен 10. Умножим обе части уравнения на 10:

$10 \cdot \left(\frac{2x}{5} - \frac{x-3}{2}\right) = 10 \cdot 1$

$10 \cdot \frac{2x}{5} - 10 \cdot \frac{x-3}{2} = 10$

$2 \cdot (2x) - 5 \cdot (x-3) = 10$

Раскроем скобки и упростим:

$4x - 5x + 15 = 10$

$-x + 15 = 10$

$-x = 10 - 15$

$-x = -5$

$x = 5$

Ответ: 5.


в) $\frac{x-4}{3} - \frac{x+1}{2} = 3$

Наименьший общий знаменатель для 3 и 2 равен 6. Умножим обе части уравнения на 6:

$6 \cdot \left(\frac{x-4}{3} - \frac{x+1}{2}\right) = 6 \cdot 3$

$6 \cdot \frac{x-4}{3} - 6 \cdot \frac{x+1}{2} = 18$

$2 \cdot (x-4) - 3 \cdot (x+1) = 18$

Раскроем скобки:

$2x - 8 - 3x - 3 = 18$

Приведем подобные слагаемые:

$-x - 11 = 18$

$-x = 18 + 11$

$-x = 29$

$x = -29$

Ответ: -29.


г) $\frac{2x}{3} - \frac{2x+1}{6} = \frac{3x-5}{4}$

Наименьший общий знаменатель для 3, 6 и 4 равен 12. Умножим все члены уравнения на 12:

$12 \cdot \frac{2x}{3} - 12 \cdot \frac{2x+1}{6} = 12 \cdot \frac{3x-5}{4}$

$4 \cdot (2x) - 2 \cdot (2x+1) = 3 \cdot (3x-5)$

Раскроем скобки:

$8x - 4x - 2 = 9x - 15$

Упростим левую часть:

$4x - 2 = 9x - 15$

Перенесем слагаемые с $x$ в одну сторону, а числа - в другую:

$15 - 2 = 9x - 4x$

$13 = 5x$

$x = \frac{13}{5}$

Так как дробь неправильная, выделим целую часть: $\frac{13}{5} = 2\frac{3}{5}$.

Ответ: $2\frac{3}{5}$.


д) $\frac{1-2x}{3} - \frac{x+3}{4} = \frac{2-4x}{5}$

Наименьший общий знаменатель для 3, 4 и 5 равен 60. Умножим все члены уравнения на 60:

$60 \cdot \frac{1-2x}{3} - 60 \cdot \frac{x+3}{4} = 60 \cdot \frac{2-4x}{5}$

$20 \cdot (1-2x) - 15 \cdot (x+3) = 12 \cdot (2-4x)$

Раскроем скобки:

$20 - 40x - 15x - 45 = 24 - 48x$

Приведем подобные слагаемые в левой части:

$-55x - 25 = 24 - 48x$

Сгруппируем слагаемые:

$-55x + 48x = 24 + 25$

$-7x = 49$

$x = \frac{49}{-7}$

$x = -7$

Ответ: -7.


е) $\frac{3+4x}{2} + 6 = \frac{2x-3}{2} - \frac{1-5x}{7}$

Наименьший общий знаменатель для 2 и 7 равен 14. Умножим все члены уравнения на 14:

$14 \cdot \left(\frac{3+4x}{2} + 6\right) = 14 \cdot \left(\frac{2x-3}{2} - \frac{1-5x}{7}\right)$

$14 \cdot \frac{3+4x}{2} + 14 \cdot 6 = 14 \cdot \frac{2x-3}{2} - 14 \cdot \frac{1-5x}{7}$

$7 \cdot (3+4x) + 84 = 7 \cdot (2x-3) - 2 \cdot (1-5x)$

Раскроем скобки:

$21 + 28x + 84 = 14x - 21 - 2 + 10x$

Приведем подобные слагаемые в обеих частях:

$28x + 105 = 24x - 23$

Перенесем переменные в одну сторону, а числа в другую:

$28x - 24x = -23 - 105$

$4x = -128$

$x = \frac{-128}{4}$

$x = -32$

Ответ: -32.

Помогло решение? Оставьте отзыв в комментариях ниже.

Присоединяйтесь к Телеграм-группе @gdz_by_belarus

Присоединиться

Мы подготовили для вас ответ c подробным объяснением домашего задания по алгебре за 7 класс, для упражнения номер 3.25 расположенного на странице 155 к учебнику 2022 года издания для учащихся школ и гимназий.

Теперь на нашем сайте ГДЗ.ТОП вы всегда легко и бесплатно найдёте условие с правильным ответом на вопрос «Как решить ДЗ» и «Как сделать» задание по алгебре к упражнению №3.25 (с. 155), авторов: Арефьева (Ирина Глебовна), Пирютко (Ольга Николаевна), учебного пособия издательства Народная асвета.