Номер 2.384, страница 134 - гдз по алгебре 7 класс учебник Арефьева, Пирютко
Авторы: Арефьева И. Г., Пирютко О. Н.
Тип: Учебник
Издательство: Народная асвета
Год издания: 2022 - 2026
Цвет обложки: зелёный с графиком
ISBN: ISBN 978-985-03-3770-2
Допущено Министерством образования Республики Беларусь
Популярные ГДЗ в 7 классе
Глава 2. Выражения и их преобразования. Параграф 14. Разложение многочлена на множители - номер 2.384, страница 134.
№2.384 (с. 134)
Условие. №2.384 (с. 134)
скриншот условия
2.384. Используя способ группировки, разложите многочлен на множители:
а) $ac + bc + 2ad + 2bd;$
б) $xy + xn - 3mn - 3my;$
в) $3ax - 4ay + 3bx - 4by;$
г) $2ax - bx - 4a + 2b;$
д) $5ay - 3bx + ax - 15by;$
е) $6ad - 8ab - 12bc + 9cd.$
Решение. №2.384 (с. 134)
Решение 2. №2.384 (с. 134)
а) $ac + bc + 2ad + 2bd$
Сгруппируем первое и второе слагаемые, а также третье и четвертое:
$(ac + bc) + (2ad + 2bd)$
Вынесем общий множитель из каждой скобки. Из первой скобки вынесем $c$, из второй – $2d$:
$c(a + b) + 2d(a + b)$
Теперь вынесем общий множитель $(a + b)$ за скобки:
$(a + b)(c + 2d)$
Ответ: $(a + b)(c + 2d)$
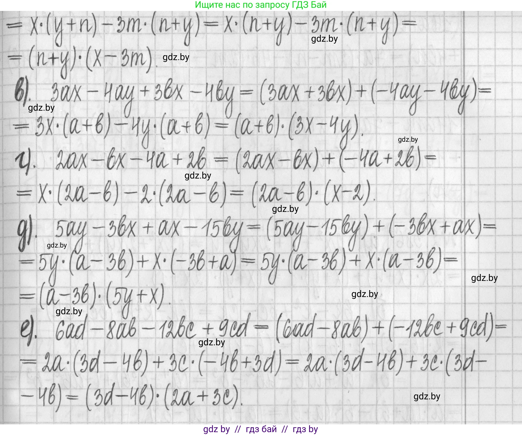
б) $xy + xn - 3mn - 3my$
Сгруппируем первое и второе слагаемые, а также третье и четвертое:
$(xy + xn) + (-3mn - 3my)$
Вынесем общий множитель из каждой скобки. Из первой скобки вынесем $x$, из второй – $-3m$:
$x(y + n) - 3m(n + y)$
Поскольку $y+n = n+y$, вынесем общий множитель $(y + n)$ за скобки:
$(y + n)(x - 3m)$
Ответ: $(y + n)(x - 3m)$
в) $3ax - 4ay + 3bx - 4by$
Сгруппируем первое и второе слагаемые, а также третье и четвертое:
$(3ax - 4ay) + (3bx - 4by)$
Вынесем общий множитель из каждой скобки. Из первой скобки вынесем $a$, из второй – $b$:
$a(3x - 4y) + b(3x - 4y)$
Теперь вынесем общий множитель $(3x - 4y)$ за скобки:
$(3x - 4y)(a + b)$
Ответ: $(3x - 4y)(a + b)$
г) $2ax - bx - 4a + 2b$
Сгруппируем первое и второе слагаемые, а также третье и четвертое:
$(2ax - bx) + (-4a + 2b)$
Вынесем общий множитель из каждой скобки. Из первой скобки вынесем $x$, из второй – $-2$:
$x(2a - b) - 2(2a - b)$
Теперь вынесем общий множитель $(2a - b)$ за скобки:
$(2a - b)(x - 2)$
Ответ: $(2a - b)(x - 2)$
д) $5ay - 3bx + ax - 15by$
Перегруппируем слагаемые для удобства: сгруппируем слагаемые с переменной $a$ и с переменной $b$:
$(5ay + ax) - (3bx + 15by)$ - этот вариант не подходит. Попробуем сгруппировать слагаемые с переменными $x$ и $y$.
$(ax - 3bx) + (5ay - 15by)$
Вынесем общий множитель из каждой скобки. Из первой скобки вынесем $x$, из второй – $5y$:
$x(a - 3b) + 5y(a - 3b)$
Теперь вынесем общий множитель $(a - 3b)$ за скобки:
$(a - 3b)(x + 5y)$
Ответ: $(a - 3b)(x + 5y)$
е) $6ad - 8ab - 12bc + 9cd$
Сгруппируем первое и второе слагаемые, а также третье и четвертое:
$(6ad - 8ab) + (9cd - 12bc)$
Вынесем общий множитель из каждой скобки. Из первой скобки вынесем $2a$, из второй – $3c$:
$2a(3d - 4b) + 3c(3d - 4b)$
Теперь вынесем общий множитель $(3d - 4b)$ за скобки:
$(3d - 4b)(2a + 3c)$
Ответ: $(3d - 4b)(2a + 3c)$
Другие задания:
Помогло решение? Оставьте отзыв в комментариях ниже.
Присоединяйтесь к Телеграм-группе @gdz_by_belarus
ПрисоединитьсяМы подготовили для вас ответ c подробным объяснением домашего задания по алгебре за 7 класс, для упражнения номер 2.384 расположенного на странице 134 к учебнику 2022 года издания для учащихся школ и гимназий.
Теперь на нашем сайте ГДЗ.ТОП вы всегда легко и бесплатно найдёте условие с правильным ответом на вопрос «Как решить ДЗ» и «Как сделать» задание по алгебре к упражнению №2.384 (с. 134), авторов: Арефьева (Ирина Глебовна), Пирютко (Ольга Николаевна), учебного пособия издательства Народная асвета.