Номер 2.381, страница 134 - гдз по алгебре 7 класс учебник Арефьева, Пирютко

Алгебра, 7 класс Учебник, авторы: Арефьева Ирина Глебовна, Пирютко Ольга Николаевна, издательство Народная асвета, Минск, 2022, зелёного цвета

Авторы: Арефьева И. Г., Пирютко О. Н.

Тип: Учебник

Издательство: Народная асвета

Год издания: 2022 - 2026

Цвет обложки: зелёный с графиком

ISBN: ISBN 978-985-03-3770-2

Допущено Министерством образования Республики Беларусь

Популярные ГДЗ в 7 классе

Глава 2. Выражения и их преобразования. Параграф 14. Разложение многочлена на множители - номер 2.381, страница 134.

№2.381 (с. 134)
Условие. №2.381 (с. 134)
скриншот условия
Алгебра, 7 класс Учебник, авторы: Арефьева Ирина Глебовна, Пирютко Ольга Николаевна, издательство Народная асвета, Минск, 2022, зелёного цвета, страница 134, номер 2.381, Условие

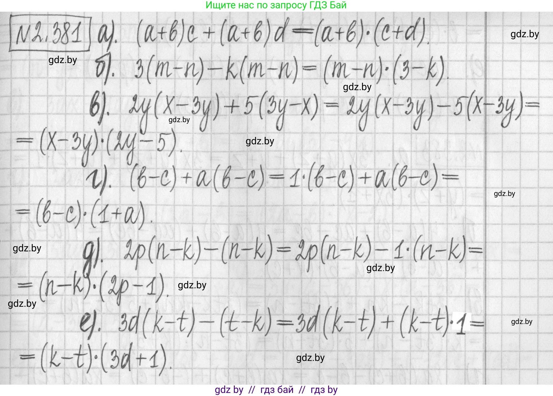
2.381. Представьте в виде произведения многочлен:

а) $(a + b)c + (a + b)d;$

б) $3(m - n) - k(m - n);$

в) $2y(x - 3y) + 5(3y - x);$

г) $(b - c) + a(b - c);$

д) $2p(n - k) - (n - k);$

е) $3d(k - t) - (t - k).$

Решение. №2.381 (с. 134)
Алгебра, 7 класс Учебник, авторы: Арефьева Ирина Глебовна, Пирютко Ольга Николаевна, издательство Народная асвета, Минск, 2022, зелёного цвета, страница 134, номер 2.381, Решение
Решение 2. №2.381 (с. 134)

а) Чтобы представить выражение $(a + b)c + (a + b)d$ в виде произведения, необходимо найти общий множитель и вынести его за скобки. В данном случае общий множитель — это многочлен $(a + b)$.

Выносим $(a + b)$ за скобки:

$(a + b)c + (a + b)d = (a + b)(c + d)$

Ответ: $(a + b)(c + d)$

б) В выражении $3(m - n) - k(m - n)$ общим множителем является многочлен $(m - n)$. Вынесем его за скобки.

$3(m - n) - k(m - n) = (m - n)(3 - k)$

Ответ: $(m - n)(3 - k)$

в) В выражении $2y(x - 3y) + 5(3y - x)$ множители в скобках отличаются знаком. Заметим, что $(3y - x) = -(x - 3y)$. Преобразуем выражение, вынеся минус за скобки во втором слагаемом:

$2y(x - 3y) + 5(-(x - 3y)) = 2y(x - 3y) - 5(x - 3y)$

Теперь у нас есть общий множитель $(x - 3y)$, который мы выносим за скобки:

$(x - 3y)(2y - 5)$

Ответ: $(x - 3y)(2y - 5)$

г) Выражение $(b - c) + a(b - c)$ можно переписать, представив первый член как произведение $1 \cdot (b - c)$:

$1 \cdot (b - c) + a(b - c)$

Общий множитель здесь — $(b - c)$. Выносим его за скобки:

$(b - c)(1 + a)$

Ответ: $(b - c)(1 + a)$

д) В выражении $2p(n - k) - (n - k)$ вычитаемое $(n - k)$ можно представить как $1 \cdot (n - k)$:

$2p(n - k) - 1 \cdot (n - k)$

Общим множителем является $(n - k)$. Выносим его за скобки:

$(n - k)(2p - 1)$

Ответ: $(n - k)(2p - 1)$

е) В выражении $3d(k - t) - (t - k)$ множители в скобках отличаются знаком. Заметим, что $(t - k) = -(k - t)$. Преобразуем выражение:

$3d(k - t) - (-(k - t)) = 3d(k - t) + (k - t)$

Теперь представим второе слагаемое как $1 \cdot (k - t)$ и вынесем общий множитель $(k - t)$ за скобки:

$3d(k - t) + 1 \cdot (k - t) = (k - t)(3d + 1)$

Ответ: $(k - t)(3d + 1)$

Помогло решение? Оставьте отзыв в комментариях ниже.

Присоединяйтесь к Телеграм-группе @gdz_by_belarus

Присоединиться

Мы подготовили для вас ответ c подробным объяснением домашего задания по алгебре за 7 класс, для упражнения номер 2.381 расположенного на странице 134 к учебнику 2022 года издания для учащихся школ и гимназий.

Теперь на нашем сайте ГДЗ.ТОП вы всегда легко и бесплатно найдёте условие с правильным ответом на вопрос «Как решить ДЗ» и «Как сделать» задание по алгебре к упражнению №2.381 (с. 134), авторов: Арефьева (Ирина Глебовна), Пирютко (Ольга Николаевна), учебного пособия издательства Народная асвета.