Номер 2.336, страница 121 - гдз по алгебре 7 класс учебник Арефьева, Пирютко

Алгебра, 7 класс Учебник, авторы: Арефьева Ирина Глебовна, Пирютко Ольга Николаевна, издательство Народная асвета, Минск, 2022, зелёного цвета

Авторы: Арефьева И. Г., Пирютко О. Н.

Тип: Учебник

Издательство: Народная асвета

Год издания: 2022 - 2026

Цвет обложки: зелёный с графиком

ISBN: ISBN 978-985-03-3770-2

Допущено Министерством образования Республики Беларусь

Популярные ГДЗ в 7 классе

Глава 2. Выражения и их преобразования. Параграф 13. Формулы сокращенного умножения: произведение суммы и разности двух выражений - номер 2.336, страница 121.

№2.336 (с. 121)
Условие. №2.336 (с. 121)
скриншот условия
Алгебра, 7 класс Учебник, авторы: Арефьева Ирина Глебовна, Пирютко Ольга Николаевна, издательство Народная асвета, Минск, 2022, зелёного цвета, страница 121, номер 2.336, Условие

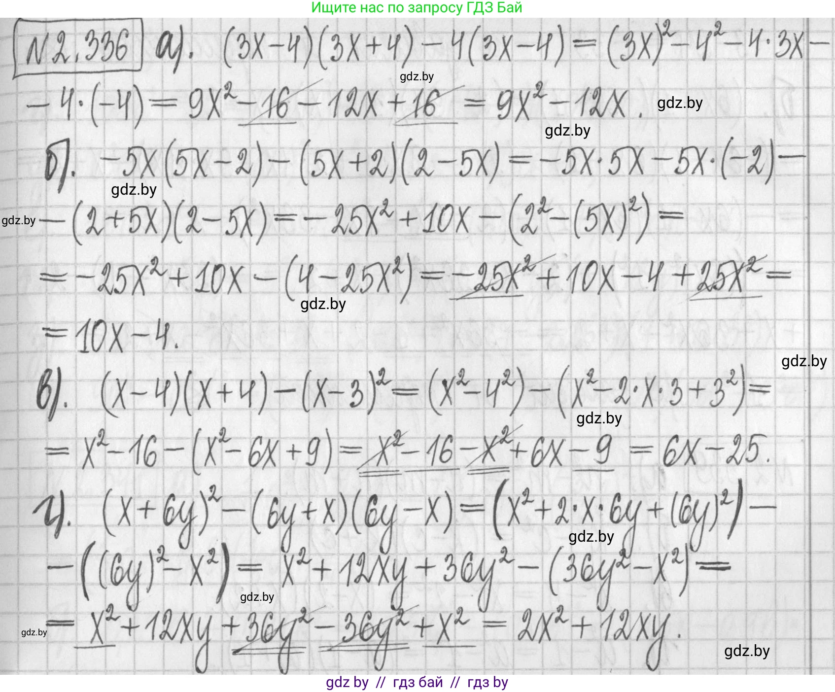
2.336. Представьте в виде многочлена выражение:

а) $(3x - 4)(3x + 4) - 4(3x - 4);$

б) $-5x(5x - 2) - (5x + 2)(2 - 5x);$

в) $(x - 4)(x + 4) - (x - 3)^2;$

г) $(x + 6y)^2 - (6y + x)(6y - x).$

Решение. №2.336 (с. 121)
Алгебра, 7 класс Учебник, авторы: Арефьева Ирина Глебовна, Пирютко Ольга Николаевна, издательство Народная асвета, Минск, 2022, зелёного цвета, страница 121, номер 2.336, Решение
Решение 2. №2.336 (с. 121)

а) Представим выражение $(3x-4)(3x+4)-4(3x-4)$ в виде многочлена. Для этого применим формулу разности квадратов $(a-b)(a+b)=a^2-b^2$ для первого произведения и распределительный закон для второго.

$(3x-4)(3x+4)-4(3x-4) = ((3x)^2 - 4^2) - (4 \cdot 3x - 4 \cdot 4)$

$= (9x^2 - 16) - (12x - 16)$

Раскроем скобки и приведем подобные слагаемые:

$9x^2 - 16 - 12x + 16 = 9x^2 - 12x$

Ответ: $9x^2 - 12x$

б) Представим выражение $-5x(5x-2)-(5x+2)(2-5x)$ в виде многочлена. Раскроем скобки в первом слагаемом. Во втором слагаемом заметим, что $(2-5x) = -(5x-2)$, что позволяет использовать формулу разности квадратов.

$-5x(5x-2)-(5x+2)(2-5x) = (-25x^2 + 10x) - (-(5x+2)(5x-2))$

$= -25x^2 + 10x + (5x+2)(5x-2)$

$= -25x^2 + 10x + ((5x)^2 - 2^2)$

$= -25x^2 + 10x + 25x^2 - 4$

Приводим подобные слагаемые:

$(-25x^2 + 25x^2) + 10x - 4 = 10x - 4$

Ответ: $10x - 4$

в) Представим выражение $(x-4)(x+4)-(x-3)^2$ в виде многочлена. Используем формулу разности квадратов $(a-b)(a+b)=a^2-b^2$ и формулу квадрата разности $(a-b)^2=a^2-2ab+b^2$.

$(x-4)(x+4)-(x-3)^2 = (x^2 - 4^2) - (x^2 - 2 \cdot x \cdot 3 + 3^2)$

$= (x^2 - 16) - (x^2 - 6x + 9)$

Раскроем скобки и приведем подобные слагаемые:

$x^2 - 16 - x^2 + 6x - 9 = (x^2 - x^2) + 6x - (16 + 9) = 6x - 25$

Ответ: $6x - 25$

г) Представим выражение $(x+6y)^2-(6y+x)(6y-x)$ в виде многочлена. Применим формулу квадрата суммы $(a+b)^2=a^2+2ab+b^2$ и формулу разности квадратов $(a+b)(a-b)=a^2-b^2$.

$(x+6y)^2-(6y+x)(6y-x) = (x^2 + 2 \cdot x \cdot 6y + (6y)^2) - ((6y)^2 - x^2)$

$= (x^2 + 12xy + 36y^2) - (36y^2 - x^2)$

Раскроем скобки и приведем подобные слагаемые:

$x^2 + 12xy + 36y^2 - 36y^2 + x^2 = (x^2 + x^2) + 12xy + (36y^2 - 36y^2) = 2x^2 + 12xy$

Ответ: $2x^2 + 12xy$

Помогло решение? Оставьте отзыв в комментариях ниже.

Присоединяйтесь к Телеграм-группе @gdz_by_belarus

Присоединиться

Мы подготовили для вас ответ c подробным объяснением домашего задания по алгебре за 7 класс, для упражнения номер 2.336 расположенного на странице 121 к учебнику 2022 года издания для учащихся школ и гимназий.

Теперь на нашем сайте ГДЗ.ТОП вы всегда легко и бесплатно найдёте условие с правильным ответом на вопрос «Как решить ДЗ» и «Как сделать» задание по алгебре к упражнению №2.336 (с. 121), авторов: Арефьева (Ирина Глебовна), Пирютко (Ольга Николаевна), учебного пособия издательства Народная асвета.