Номер 2.334, страница 121 - гдз по алгебре 7 класс учебник Арефьева, Пирютко

Алгебра, 7 класс Учебник, авторы: Арефьева Ирина Глебовна, Пирютко Ольга Николаевна, издательство Народная асвета, Минск, 2022, зелёного цвета

Авторы: Арефьева И. Г., Пирютко О. Н.

Тип: Учебник

Издательство: Народная асвета

Год издания: 2022 - 2026

Цвет обложки: зелёный с графиком

ISBN: ISBN 978-985-03-3770-2

Допущено Министерством образования Республики Беларусь

Популярные ГДЗ в 7 классе

Глава 2. Выражения и их преобразования. Параграф 13. Формулы сокращенного умножения: произведение суммы и разности двух выражений - номер 2.334, страница 121.

№2.334 (с. 121)
Условие. №2.334 (с. 121)
скриншот условия
Алгебра, 7 класс Учебник, авторы: Арефьева Ирина Глебовна, Пирютко Ольга Николаевна, издательство Народная асвета, Минск, 2022, зелёного цвета, страница 121, номер 2.334, Условие

2.334. Упростите выражение:

а) $6(2y - 1)(2y + 1);$

б) $-2k(4 + 9k)(9k - 4);$

в) $(x - 8)(x + 8) - x^2;$

г) $25a^2 - (3 + 5a)(5a - 3);$

д) $(n^2 + 6m)(n^2 - 6m) + 36m^2.$

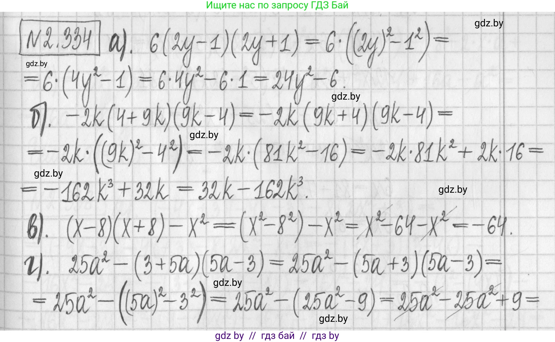
Решение. №2.334 (с. 121)
Алгебра, 7 класс Учебник, авторы: Арефьева Ирина Глебовна, Пирютко Ольга Николаевна, издательство Народная асвета, Минск, 2022, зелёного цвета, страница 121, номер 2.334, Решение Алгебра, 7 класс Учебник, авторы: Арефьева Ирина Глебовна, Пирютко Ольга Николаевна, издательство Народная асвета, Минск, 2022, зелёного цвета, страница 121, номер 2.334, Решение (продолжение 2)
Решение 2. №2.334 (с. 121)

а) $6(2y - 1)(2y + 1)$

Для упрощения произведения $(2y - 1)(2y + 1)$ воспользуемся формулой сокращенного умножения "разность квадратов": $(a-b)(a+b) = a^2 - b^2$. В данном случае $a = 2y$ и $b = 1$.

$(2y - 1)(2y + 1) = (2y)^2 - 1^2 = 4y^2 - 1$

Теперь умножим полученное выражение на 6:

$6(4y^2 - 1) = 6 \cdot 4y^2 - 6 \cdot 1 = 24y^2 - 6$

Ответ: $24y^2 - 6$


б) $-2k(4 + 9k)(9k - 4)$

Сначала преобразуем произведение в скобках. Для удобства поменяем местами слагаемые в первой скобке: $(4 + 9k) = (9k + 4)$. Получим выражение $(9k + 4)(9k - 4)$.

Это снова формула разности квадратов $(a+b)(a-b) = a^2 - b^2$, где $a = 9k$ и $b = 4$.

$(9k + 4)(9k - 4) = (9k)^2 - 4^2 = 81k^2 - 16$

Теперь умножим полученный результат на $-2k$:

$-2k(81k^2 - 16) = -2k \cdot 81k^2 - (-2k) \cdot 16 = -162k^3 + 32k$

Ответ: $-162k^3 + 32k$


в) $(x - 8)(x + 8) - x^2$

Применим формулу разности квадратов к выражению $(x - 8)(x + 8)$, где $a=x$ и $b=8$.

$(x - 8)(x + 8) = x^2 - 8^2 = x^2 - 64$

Теперь подставим это обратно в исходное выражение:

$(x^2 - 64) - x^2 = x^2 - 64 - x^2 = -64$

Ответ: $-64$


г) $25a^2 - (3 + 5a)(5a - 3)$

Рассмотрим выражение в скобках $(3 + 5a)(5a - 3)$. Поменяв местами слагаемые в первой скобке, получим $(5a + 3)(5a - 3)$.

Применим формулу разности квадратов, где $a=5a$ и $b=3$.

$(5a + 3)(5a - 3) = (5a)^2 - 3^2 = 25a^2 - 9$

Подставим результат в исходное выражение, не забывая про знак "минус" перед скобкой:

$25a^2 - (25a^2 - 9) = 25a^2 - 25a^2 + 9 = 9$

Ответ: $9$


д) $(n^2 + 6m)(n^2 - 6m) + 36m^2$

Первая часть выражения, $(n^2 + 6m)(n^2 - 6m)$, является разностью квадратов, где $a=n^2$ и $b=6m$.

$(n^2 + 6m)(n^2 - 6m) = (n^2)^2 - (6m)^2 = n^4 - 36m^2$

Подставим полученное выражение в исходное и выполним сложение:

$(n^4 - 36m^2) + 36m^2 = n^4 - 36m^2 + 36m^2 = n^4$

Ответ: $n^4$

Помогло решение? Оставьте отзыв в комментариях ниже.

Присоединяйтесь к Телеграм-группе @gdz_by_belarus

Присоединиться

Мы подготовили для вас ответ c подробным объяснением домашего задания по алгебре за 7 класс, для упражнения номер 2.334 расположенного на странице 121 к учебнику 2022 года издания для учащихся школ и гимназий.

Теперь на нашем сайте ГДЗ.ТОП вы всегда легко и бесплатно найдёте условие с правильным ответом на вопрос «Как решить ДЗ» и «Как сделать» задание по алгебре к упражнению №2.334 (с. 121), авторов: Арефьева (Ирина Глебовна), Пирютко (Ольга Николаевна), учебного пособия издательства Народная асвета.