Номер 2.231, страница 100 - гдз по алгебре 7 класс учебник Арефьева, Пирютко

Алгебра, 7 класс Учебник, авторы: Арефьева Ирина Глебовна, Пирютко Ольга Николаевна, издательство Народная асвета, Минск, 2022, зелёного цвета

Авторы: Арефьева И. Г., Пирютко О. Н.

Тип: Учебник

Издательство: Народная асвета

Год издания: 2022 - 2026

Цвет обложки: зелёный с графиком

ISBN: ISBN 978-985-03-3770-2

Допущено Министерством образования Республики Беларусь

Популярные ГДЗ в 7 классе

Глава 2. Выражения и их преобразования. Параграф 11. Умножение многочленов - номер 2.231, страница 100.

№2.231 (с. 100)
Условие. №2.231 (с. 100)
скриншот условия
Алгебра, 7 класс Учебник, авторы: Арефьева Ирина Глебовна, Пирютко Ольга Николаевна, издательство Народная асвета, Минск, 2022, зелёного цвета, страница 100, номер 2.231, Условие

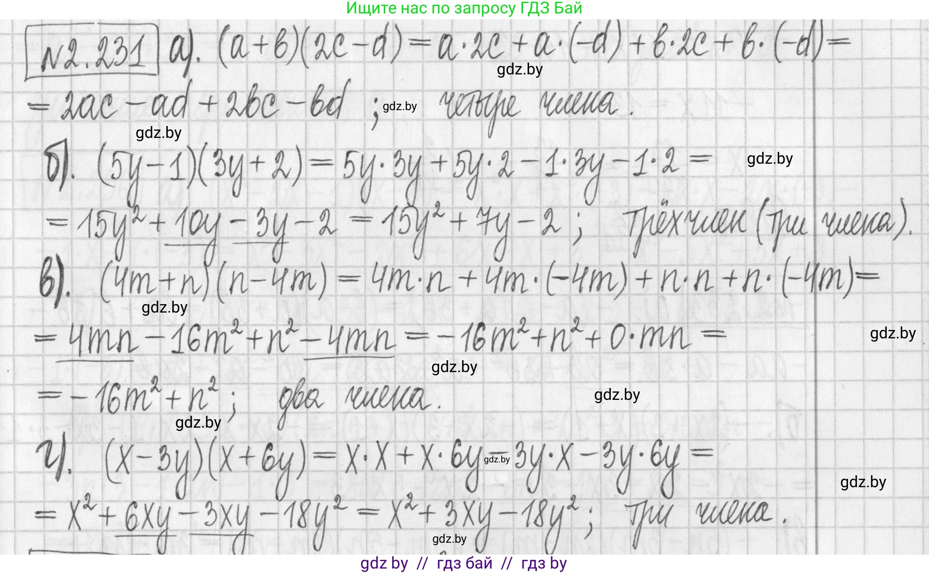
2.231. Выполните умножение:

а) $(a + b)(2c - d);$

б) $(5y - 1)(3y + 2);$

в) $(4m + n)(n - 4m);$

г) $(x - 3y)(x + 6y).$

Сколько членов в полученном многочлене?

Решение. №2.231 (с. 100)
Алгебра, 7 класс Учебник, авторы: Арефьева Ирина Глебовна, Пирютко Ольга Николаевна, издательство Народная асвета, Минск, 2022, зелёного цвета, страница 100, номер 2.231, Решение
Решение 2. №2.231 (с. 100)

а) $(a + b)(2c - d)$

Чтобы выполнить умножение, необходимо каждый член из первой скобки умножить на каждый член из второй скобки и сложить полученные произведения:

$(a + b)(2c - d) = a \cdot 2c + a \cdot (-d) + b \cdot 2c + b \cdot (-d) = 2ac - ad + 2bc - bd$

В полученном многочлене нет подобных слагаемых, поэтому он представлен в стандартном виде.

Ответ: $2ac - ad + 2bc - bd$. В многочлене 4 члена.

б) $(5y - 1)(3y + 2)$

Выполним умножение по тому же правилу:

$(5y - 1)(3y + 2) = 5y \cdot 3y + 5y \cdot 2 - 1 \cdot 3y - 1 \cdot 2 = 15y^2 + 10y - 3y - 2$

Теперь приведем подобные слагаемые ($10y$ и $-3y$):

$15y^2 + (10y - 3y) - 2 = 15y^2 + 7y - 2$

Ответ: $15y^2 + 7y - 2$. В многочлене 3 члена.

в) $(4m + n)(n - 4m)$

Можно заметить, что это выражение является произведением суммы и разности двух выражений. Для удобства переставим слагаемые: $(n + 4m)(n - 4m)$.

Применим формулу разности квадратов: $(x+y)(x-y) = x^2 - y^2$.

$(n + 4m)(n - 4m) = n^2 - (4m)^2 = n^2 - 16m^2$

Ответ: $n^2 - 16m^2$. В многочлене 2 члена.

г) $(x - 3y)(x + 6y)$

Выполним умножение:

$(x - 3y)(x + 6y) = x \cdot x + x \cdot 6y - 3y \cdot x - 3y \cdot 6y = x^2 + 6xy - 3xy - 18y^2$

Приведем подобные слагаемые ($6xy$ и $-3xy$):

$x^2 + (6xy - 3xy) - 18y^2 = x^2 + 3xy - 18y^2$

Ответ: $x^2 + 3xy - 18y^2$. В многочлене 3 члена.

Помогло решение? Оставьте отзыв в комментариях ниже.

Присоединяйтесь к Телеграм-группе @gdz_by_belarus

Присоединиться

Мы подготовили для вас ответ c подробным объяснением домашего задания по алгебре за 7 класс, для упражнения номер 2.231 расположенного на странице 100 к учебнику 2022 года издания для учащихся школ и гимназий.

Теперь на нашем сайте ГДЗ.ТОП вы всегда легко и бесплатно найдёте условие с правильным ответом на вопрос «Как решить ДЗ» и «Как сделать» задание по алгебре к упражнению №2.231 (с. 100), авторов: Арефьева (Ирина Глебовна), Пирютко (Ольга Николаевна), учебного пособия издательства Народная асвета.