Номер 2.230, страница 100 - гдз по алгебре 7 класс учебник Арефьева, Пирютко

Алгебра, 7 класс Учебник, авторы: Арефьева Ирина Глебовна, Пирютко Ольга Николаевна, издательство Народная асвета, Минск, 2022, зелёного цвета

Авторы: Арефьева И. Г., Пирютко О. Н.

Тип: Учебник

Издательство: Народная асвета

Год издания: 2022 - 2026

Цвет обложки: зелёный с графиком

ISBN: ISBN 978-985-03-3770-2

Допущено Министерством образования Республики Беларусь

Популярные ГДЗ в 7 классе

Глава 2. Выражения и их преобразования. Параграф 11. Умножение многочленов - номер 2.230, страница 100.

№2.230 (с. 100)
Условие. №2.230 (с. 100)
скриншот условия
Алгебра, 7 класс Учебник, авторы: Арефьева Ирина Глебовна, Пирютко Ольга Николаевна, издательство Народная асвета, Минск, 2022, зелёного цвета, страница 100, номер 2.230, Условие

2.230. Выполните умножение многочленов и определите степень произведения:

а) $(b^2 - c)(b + c^2);$

б) $(3m - 2)(5m^3 - 2m);$

в) $(4y^2 - 3y)(y + 1);$

г) $(5a^2 - 3b^2)(3a^2 - 5b^2).$

Решение. №2.230 (с. 100)
Алгебра, 7 класс Учебник, авторы: Арефьева Ирина Глебовна, Пирютко Ольга Николаевна, издательство Народная асвета, Минск, 2022, зелёного цвета, страница 100, номер 2.230, Решение Алгебра, 7 класс Учебник, авторы: Арефьева Ирина Глебовна, Пирютко Ольга Николаевна, издательство Народная асвета, Минск, 2022, зелёного цвета, страница 100, номер 2.230, Решение (продолжение 2)
Решение 2. №2.230 (с. 100)
Для выполнения задания необходимо умножить каждый член первого многочлена на каждый член второго многочлена, а затем сложить полученные произведения. После этого нужно привести подобные члены, если они есть. Степень многочлена-произведения – это наибольшая степень его членов (для многочлена с одной переменной) или наибольшая сумма степеней переменных в одном члене (для многочлена с несколькими переменными).
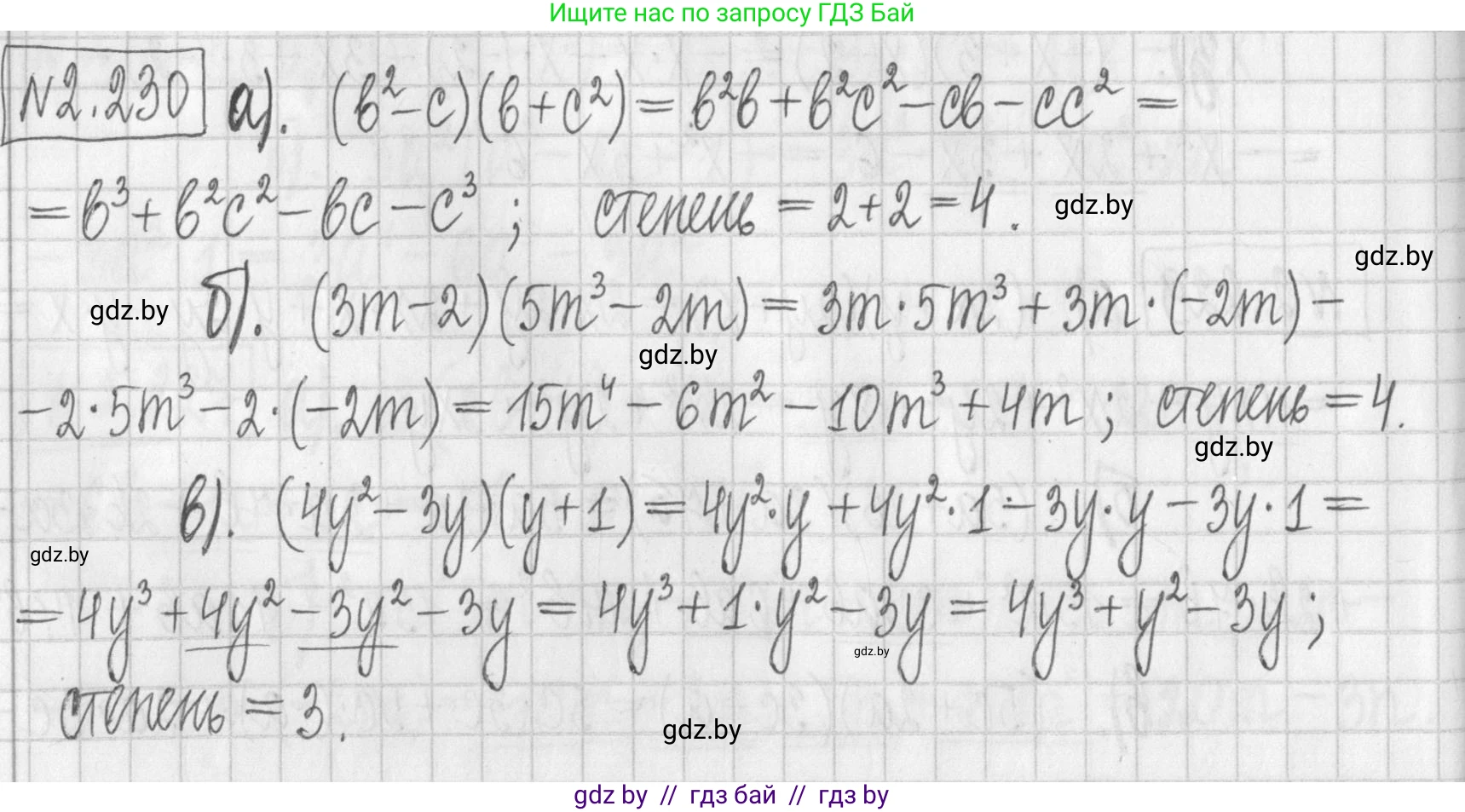
а) $(b^2 - c)(b + c^2)$

Выполним умножение, используя правило "каждый на каждый": $$(b^2 - c)(b + c^2) = b^2 \cdot b + b^2 \cdot c^2 - c \cdot b - c \cdot c^2 = b^3 + b^2c^2 - bc - c^3$$

Теперь определим степень полученного многочлена. Для этого найдем степень каждого его члена (одночлена):

  • Степень члена $b^3$ равна 3.
  • Степень члена $b^2c^2$ равна $2+2=4$.
  • Степень члена $-bc$ равна $1+1=2$.
  • Степень члена $-c^3$ равна 3.

Наибольшая из этих степеней равна 4, значит, степень всего многочлена-произведения равна 4.

Ответ: $b^3 + b^2c^2 - bc - c^3$, степень 4.

б) $(3m - 2)(5m^3 - 2m)$

Умножим многочлены: $$(3m - 2)(5m^3 - 2m) = 3m \cdot 5m^3 + 3m \cdot (-2m) - 2 \cdot 5m^3 - 2 \cdot (-2m)$$ $$= 15m^4 - 6m^2 - 10m^3 + 4m$$

Запишем многочлен в стандартном виде, расположив члены в порядке убывания степеней: $$15m^4 - 10m^3 - 6m^2 + 4m$$

Так как многочлен содержит только одну переменную $m$, его степень равна наибольшему показателю степени этой переменной, то есть 4.

Ответ: $15m^4 - 10m^3 - 6m^2 + 4m$, степень 4.

в) $(4y^2 - 3y)(y + 1)$

Выполним умножение многочленов: $$(4y^2 - 3y)(y + 1) = 4y^2 \cdot y + 4y^2 \cdot 1 - 3y \cdot y - 3y \cdot 1$$ $$= 4y^3 + 4y^2 - 3y^2 - 3y$$

Приведем подобные члены ($4y^2$ и $-3y^2$): $$4y^3 + (4-3)y^2 - 3y = 4y^3 + y^2 - 3y$$

Степень полученного многочлена равна наибольшему показателю степени переменной $y$, то есть 3.

Ответ: $4y^3 + y^2 - 3y$, степень 3.

г) $(5a^2 - 3b^2)(3a^2 - 5b^2)$

Выполним умножение: $$(5a^2 - 3b^2)(3a^2 - 5b^2) = 5a^2 \cdot 3a^2 + 5a^2 \cdot (-5b^2) - 3b^2 \cdot 3a^2 - 3b^2 \cdot (-5b^2)$$ $$= 15a^4 - 25a^2b^2 - 9a^2b^2 + 15b^4$$

Приведем подобные члены ($-25a^2b^2$ и $-9a^2b^2$): $$15a^4 - (25+9)a^2b^2 + 15b^4 = 15a^4 - 34a^2b^2 + 15b^4$$

Определим степень полученного многочлена. Найдем степень каждого его члена:

  • Степень члена $15a^4$ равна 4.
  • Степень члена $-34a^2b^2$ равна $2+2=4$.
  • Степень члена $15b^4$ равна 4.

Наибольшая степень равна 4, следовательно, степень произведения равна 4.

Ответ: $15a^4 - 34a^2b^2 + 15b^4$, степень 4.

Помогло решение? Оставьте отзыв в комментариях ниже.

Присоединяйтесь к Телеграм-группе @gdz_by_belarus

Присоединиться

Мы подготовили для вас ответ c подробным объяснением домашего задания по алгебре за 7 класс, для упражнения номер 2.230 расположенного на странице 100 к учебнику 2022 года издания для учащихся школ и гимназий.

Теперь на нашем сайте ГДЗ.ТОП вы всегда легко и бесплатно найдёте условие с правильным ответом на вопрос «Как решить ДЗ» и «Как сделать» задание по алгебре к упражнению №2.230 (с. 100), авторов: Арефьева (Ирина Глебовна), Пирютко (Ольга Николаевна), учебного пособия издательства Народная асвета.