Номер 1.205, страница 41 - гдз по алгебре 7 класс учебник Арефьева, Пирютко
Авторы: Арефьева И. Г., Пирютко О. Н.
Тип: Учебник
Издательство: Народная асвета
Год издания: 2022 - 2026
Цвет обложки: зелёный с графиком
ISBN: ISBN 978-985-03-3770-2
Допущено Министерством образования Республики Беларусь
Популярные ГДЗ в 7 классе
Глава 1. Степень с натуральным и целым показателями. Практическая математика - номер 1.205, страница 41.
№1.205 (с. 41)
Условие. №1.205 (с. 41)
скриншот условия
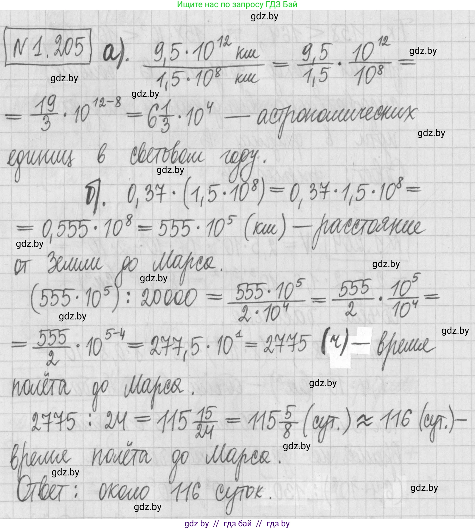
1.205. Для измерения расстояний между объектами в Солнечной системе используются следующие единицы:
• астрономическая единица — это расстояние от Земли до Солнца, равное $1,5 \cdot 10^8$ км;
• световой год — это расстояние, которое луч света проходит в вакууме за один год, равное $9,5 \times 10^{12}$ км.
Вычислите, сколько:
а) астрономических единиц в одном световом году;
б) суток понадобится летательному аппарату, скорость которого $20\,000 \frac{\text{км}}{\text{ч}}$, чтобы добраться до Марса, если расстояние от Земли до Марса в момент противостояния (максимального сближения планет) равно 0,37 астрономической единицы.
Решение. №1.205 (с. 41)
Решение 2. №1.205 (с. 41)
а) сколько астрономических единиц в одном световом годе;
Чтобы найти, сколько астрономических единиц (а.е.) содержится в одном световом годе, необходимо разделить расстояние, которое свет проходит за год, на расстояние, равное одной астрономической единице. Все величины должны быть в одних и тех же единицах измерения (километрах).
Исходные данные:
- 1 световой год = $9.5 \times 10^{12}$ км
- 1 астрономическая единица = $1.5 \times 10^{8}$ км
Выполняем деление:
$$ \frac{9.5 \times 10^{12} \text{ км}}{1.5 \times 10^{8} \text{ км}} = \frac{9.5}{1.5} \times 10^{(12-8)} = \frac{95}{15} \times 10^{4} = \frac{19}{3} \times 10^{4} = \frac{190000}{3} \text{ а.е.} $$
Теперь преобразуем полученную неправильную дробь в смешанное число, чтобы выделить целую часть:
$$ \frac{190000}{3} = 63333 \frac{1}{3} \text{ а.е.} $$
Ответ: 63333 $\frac{1}{3}$ а.е.
б) суток понадобится летательному аппарату, скорость которого 20 000 км/ч, чтобы добраться до Марса, если расстояние от Земли до Марса в момент противостояния (максимального сближения планет) равно 0,37 астрономической единицы.
Решение этой задачи состоит из трех шагов:
- Вычисление расстояния до Марса в километрах.
- Расчет времени полета в часах.
- Перевод времени из часов в сутки.
1. Вычисление расстояния в километрах ($S$)
Расстояние дано в астрономических единицах, переведем его в километры:
$$ S = 0.37 \text{ а.е.} \times (1.5 \times 10^{8} \text{ км/а.е.}) = 0.555 \times 10^{8} \text{ км} = 55\;500\;000 \text{ км} $$
2. Расчет времени в часах ($t_{часы}$)
Используем формулу времени $t = S/v$, где $v$ - скорость аппарата.
$$ t_{часы} = \frac{55\;500\;000 \text{ км}}{20\;000 \text{ км/ч}} = \frac{5550}{2} \text{ ч} = 2775 \text{ часов} $$
3. Перевод времени в сутки ($t_{сутки}$)
В одних сутках 24 часа. Делим полученное время в часах на 24:
$$ t_{сутки} = \frac{2775}{24} \text{ суток} $$
Сократим дробь на 3:
$$ \frac{2775 \div 3}{24 \div 3} = \frac{925}{8} \text{ суток} $$
Преобразуем неправильную дробь в смешанное число:
$$ \frac{925}{8} = 115 \frac{5}{8} \text{ суток} $$
Ответ: 115 $\frac{5}{8}$ суток.
Другие задания:
Помогло решение? Оставьте отзыв в комментариях ниже.
Присоединяйтесь к Телеграм-группе @gdz_by_belarus
ПрисоединитьсяМы подготовили для вас ответ c подробным объяснением домашего задания по алгебре за 7 класс, для упражнения номер 1.205 расположенного на странице 41 к учебнику 2022 года издания для учащихся школ и гимназий.
Теперь на нашем сайте ГДЗ.ТОП вы всегда легко и бесплатно найдёте условие с правильным ответом на вопрос «Как решить ДЗ» и «Как сделать» задание по алгебре к упражнению №1.205 (с. 41), авторов: Арефьева (Ирина Глебовна), Пирютко (Ольга Николаевна), учебного пособия издательства Народная асвета.