Номер 1.198, страница 39 - гдз по алгебре 7 класс учебник Арефьева, Пирютко

Алгебра, 7 класс Учебник, авторы: Арефьева Ирина Глебовна, Пирютко Ольга Николаевна, издательство Народная асвета, Минск, 2022, зелёного цвета

Авторы: Арефьева И. Г., Пирютко О. Н.

Тип: Учебник

Издательство: Народная асвета

Год издания: 2022 - 2026

Цвет обложки: зелёный с графиком

ISBN: ISBN 978-985-03-3770-2

Допущено Министерством образования Республики Беларусь

Популярные ГДЗ в 7 классе

Глава 1. Степень с натуральным и целым показателями. Параграф 3. Стандартный вид числа - номер 1.198, страница 39.

№1.198 (с. 39)
Условие. №1.198 (с. 39)
скриншот условия
Алгебра, 7 класс Учебник, авторы: Арефьева Ирина Глебовна, Пирютко Ольга Николаевна, издательство Народная асвета, Минск, 2022, зелёного цвета, страница 39, номер 1.198, Условие

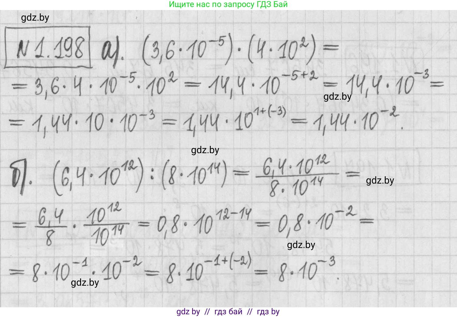
1.198. Выполните действия и запишите результат

в стандартном виде:

а) $(3,6 \cdot 10^{-5}) \cdot (4 \cdot 10^{2});$

б) $(6,4 \cdot 10^{12}) \div (8 \cdot 10^{14}).$

Решение. №1.198 (с. 39)
Алгебра, 7 класс Учебник, авторы: Арефьева Ирина Глебовна, Пирютко Ольга Николаевна, издательство Народная асвета, Минск, 2022, зелёного цвета, страница 39, номер 1.198, Решение
Решение 2. №1.198 (с. 39)

Выполните действия и запишите результат в стандартном виде:

а) $(3,6 \cdot 10^{-5}) \cdot (4 \cdot 10^2)$

Чтобы умножить два числа, записанных в стандартном виде, нужно отдельно перемножить их числовые множители (мантиссы) и отдельно — степени десяти.

$(3,6 \cdot 10^{-5}) \cdot (4 \cdot 10^2) = (3,6 \cdot 4) \cdot (10^{-5} \cdot 10^2)$

1. Умножим мантиссы:
$3,6 \cdot 4 = 14,4$

2. Умножим степени с основанием 10, используя свойство $a^m \cdot a^n = a^{m+n}$:
$10^{-5} \cdot 10^2 = 10^{-5+2} = 10^{-3}$

3. Объединим полученные результаты:
$14,4 \cdot 10^{-3}$

4. Результат необходимо представить в стандартном виде. Число в стандартном виде имеет вид $a \cdot 10^n$, где $1 \le a < 10$. В нашем случае $a = 14,4$, что не удовлетворяет условию. Преобразуем $14,4$ в стандартный вид: $14,4 = 1,44 \cdot 10^1$.

Подставим это значение в наше выражение:
$(1,44 \cdot 10^1) \cdot 10^{-3} = 1,44 \cdot 10^{1-3} = 1,44 \cdot 10^{-2}$

Ответ: $1,44 \cdot 10^{-2}$.


б) $(6,4 \cdot 10^{12}) : (8 \cdot 10^{14})$

Чтобы разделить два числа, записанных в стандартном виде, нужно отдельно разделить их мантиссы и отдельно — степени десяти.

$(6,4 \cdot 10^{12}) : (8 \cdot 10^{14}) = \frac{6,4 \cdot 10^{12}}{8 \cdot 10^{14}} = \frac{6,4}{8} \cdot \frac{10^{12}}{10^{14}}$

1. Разделим мантиссы:
$6,4 : 8 = 0,8$

2. Разделим степени с основанием 10, используя свойство $\frac{a^m}{a^n} = a^{m-n}$:
$\frac{10^{12}}{10^{14}} = 10^{12-14} = 10^{-2}$

3. Объединим полученные результаты:
$0,8 \cdot 10^{-2}$

4. Результат необходимо представить в стандартном виде. В нашем случае мантисса $a = 0,8$, что не удовлетворяет условию $1 \le a < 10$. Преобразуем $0,8$ в стандартный вид: $0,8 = 8 \cdot 10^{-1}$.

Подставим это значение в наше выражение:
$(8 \cdot 10^{-1}) \cdot 10^{-2} = 8 \cdot 10^{-1-2} = 8 \cdot 10^{-3}$

Ответ: $8 \cdot 10^{-3}$.

Помогло решение? Оставьте отзыв в комментариях ниже.

Присоединяйтесь к Телеграм-группе @gdz_by_belarus

Присоединиться

Мы подготовили для вас ответ c подробным объяснением домашего задания по алгебре за 7 класс, для упражнения номер 1.198 расположенного на странице 39 к учебнику 2022 года издания для учащихся школ и гимназий.

Теперь на нашем сайте ГДЗ.ТОП вы всегда легко и бесплатно найдёте условие с правильным ответом на вопрос «Как решить ДЗ» и «Как сделать» задание по алгебре к упражнению №1.198 (с. 39), авторов: Арефьева (Ирина Глебовна), Пирютко (Ольга Николаевна), учебного пособия издательства Народная асвета.