Номер 2.160, страница 83 - гдз по алгебре 7 класс учебник Арефьева, Пирютко
Авторы: Арефьева И. Г., Пирютко О. Н.
Тип: Учебник
Издательство: Народная асвета
Год издания: 2022 - 2026
Цвет обложки: зелёный с графиком
ISBN: ISBN 978-985-03-3770-2
Допущено Министерством образования Республики Беларусь
Популярные ГДЗ в 7 классе
Глава 2. Выражения и их преобразования. Параграф 8. Многочлен - номер 2.160, страница 83.
№2.160 (с. 83)
Условие. №2.160 (с. 83)
скриншот условия
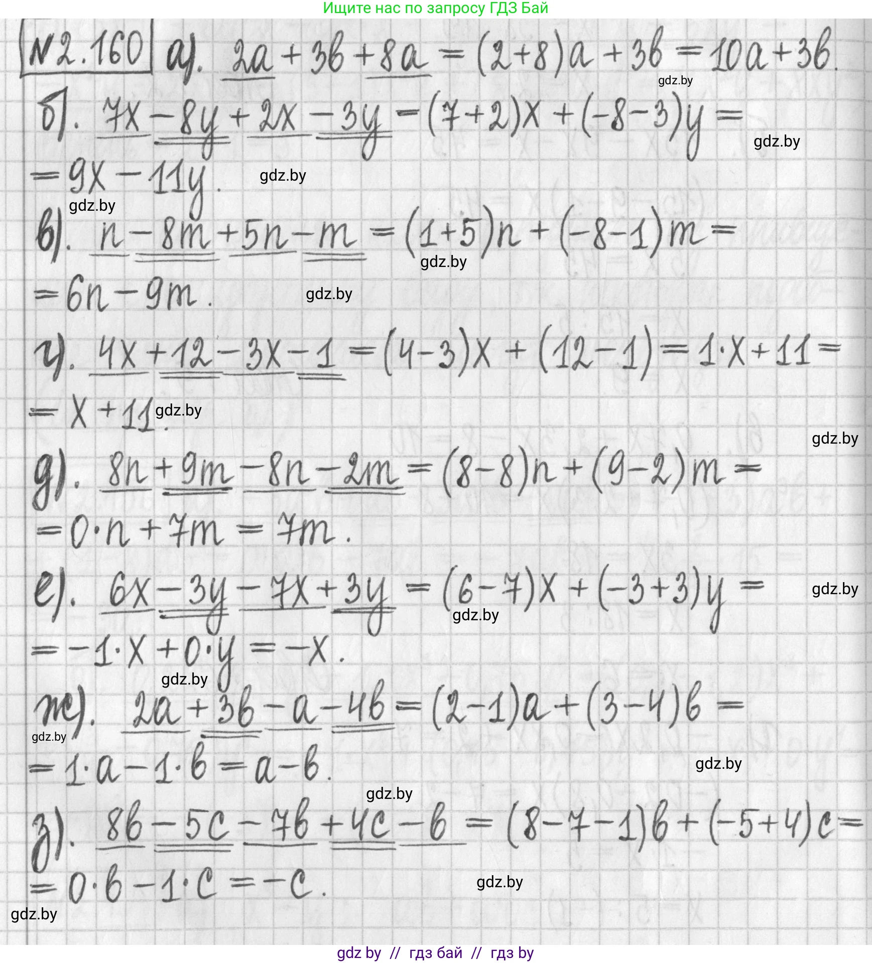
2.160. Приведите подобные члены многочлена:
а) $2a + 3b + 8a;$
б) $7x - 8y + 2x - 3y;$
в) $n - 8m + 5n - m;$
г) $4x + 12 - 3x - 1;$
д) $8n + 9m - 8n - 2m;$
е) $6x - 3y - 7x + 3y;$
ж) $2a + 3b - a - 4b;$
з) $8b - 5c - 7b + 4c - b.$
Решение. №2.160 (с. 83)
Решение 2. №2.160 (с. 83)
а) Для приведения подобных членов в выражении $2a + 3b + 8a$, необходимо сгруппировать слагаемые с одинаковой буквенной частью. В данном случае это $2a$ и $8a$. Затем сложить их коэффициенты.
$2a + 3b + 8a = (2a + 8a) + 3b = (2+8)a + 3b = 10a + 3b$.
Ответ: $10a + 3b$
б) В выражении $7x - 8y + 2x - 3y$ есть две группы подобных членов: с переменной $x$ ($7x$ и $2x$) и с переменной $y$ ($-8y$ и $-3y$). Сгруппируем их и выполним действия с коэффициентами.
$7x - 8y + 2x - 3y = (7x + 2x) + (-8y - 3y) = (7+2)x + (-8-3)y = 9x - 11y$.
Ответ: $9x - 11y$
в) В выражении $n - 8m + 5n - m$ сгруппируем подобные члены с переменной $n$ ($n$ и $5n$) и с переменной $m$ ($-8m$ и $-m$). Важно помнить, что $n$ — это $1n$, а $-m$ — это $-1m$.
$n - 8m + 5n - m = (n + 5n) + (-8m - m) = (1+5)n + (-8-1)m = 6n - 9m$.
Ответ: $6n - 9m$
г) В выражении $4x + 12 - 3x - 1$ подобными являются члены с переменной $x$ ($4x$ и $-3x$) и числовые члены (константы) ($12$ и $-1$). Сгруппируем их.
$4x + 12 - 3x - 1 = (4x - 3x) + (12 - 1) = (4-3)x + 11 = x + 11$.
Ответ: $x + 11$
д) В выражении $8n + 9m - 8n - 2m$ сгруппируем подобные члены с переменной $n$ ($8n$ и $-8n$) и с переменной $m$ ($9m$ и $-2m$).
$8n + 9m - 8n - 2m = (8n - 8n) + (9m - 2m) = (8-8)n + (9-2)m = 0 \cdot n + 7m = 7m$.
Ответ: $7m$
е) В выражении $6x - 3y - 7x + 3y$ сгруппируем подобные члены с переменной $x$ ($6x$ и $-7x$) и с переменной $y$ ($-3y$ и $3y$).
$6x - 3y - 7x + 3y = (6x - 7x) + (-3y + 3y) = (6-7)x + (-3+3)y = -1x + 0y = -x$.
Ответ: $-x$
ж) В выражении $2a + 3b - a - 4b$ сгруппируем подобные члены с переменной $a$ ($2a$ и $-a$) и с переменной $b$ ($3b$ и $-4b$).
$2a + 3b - a - 4b = (2a - a) + (3b - 4b) = (2-1)a + (3-4)b = a - b$.
Ответ: $a - b$
з) В выражении $8b - 5c - 7b + 4c - b$ сгруппируем подобные члены с переменной $b$ ($8b$, $-7b$ и $-b$) и с переменной $c$ ($-5c$ и $4c$).
$8b - 5c - 7b + 4c - b = (8b - 7b - b) + (-5c + 4c) = (8-7-1)b + (-5+4)c = 0 \cdot b - 1 \cdot c = -c$.
Ответ: $-c$
Другие задания:
Помогло решение? Оставьте отзыв в комментариях ниже.
Присоединяйтесь к Телеграм-группе @gdz_by_belarus
ПрисоединитьсяМы подготовили для вас ответ c подробным объяснением домашего задания по алгебре за 7 класс, для упражнения номер 2.160 расположенного на странице 83 к учебнику 2022 года издания для учащихся школ и гимназий.
Теперь на нашем сайте ГДЗ.ТОП вы всегда легко и бесплатно найдёте условие с правильным ответом на вопрос «Как решить ДЗ» и «Как сделать» задание по алгебре к упражнению №2.160 (с. 83), авторов: Арефьева (Ирина Глебовна), Пирютко (Ольга Николаевна), учебного пособия издательства Народная асвета.