Номер 2.156, страница 83 - гдз по алгебре 7 класс учебник Арефьева, Пирютко

Алгебра, 7 класс Учебник, авторы: Арефьева Ирина Глебовна, Пирютко Ольга Николаевна, издательство Народная асвета, Минск, 2022, зелёного цвета

Авторы: Арефьева И. Г., Пирютко О. Н.

Тип: Учебник

Издательство: Народная асвета

Год издания: 2022 - 2026

Цвет обложки: зелёный с графиком

ISBN: ISBN 978-985-03-3770-2

Допущено Министерством образования Республики Беларусь

Популярные ГДЗ в 7 классе

Глава 2. Выражения и их преобразования. Параграф 8. Многочлен - номер 2.156, страница 83.

№2.156 (с. 83)
Условие. №2.156 (с. 83)
скриншот условия
Алгебра, 7 класс Учебник, авторы: Арефьева Ирина Глебовна, Пирютко Ольга Николаевна, издательство Народная асвета, Минск, 2022, зелёного цвета, страница 83, номер 2.156, Условие

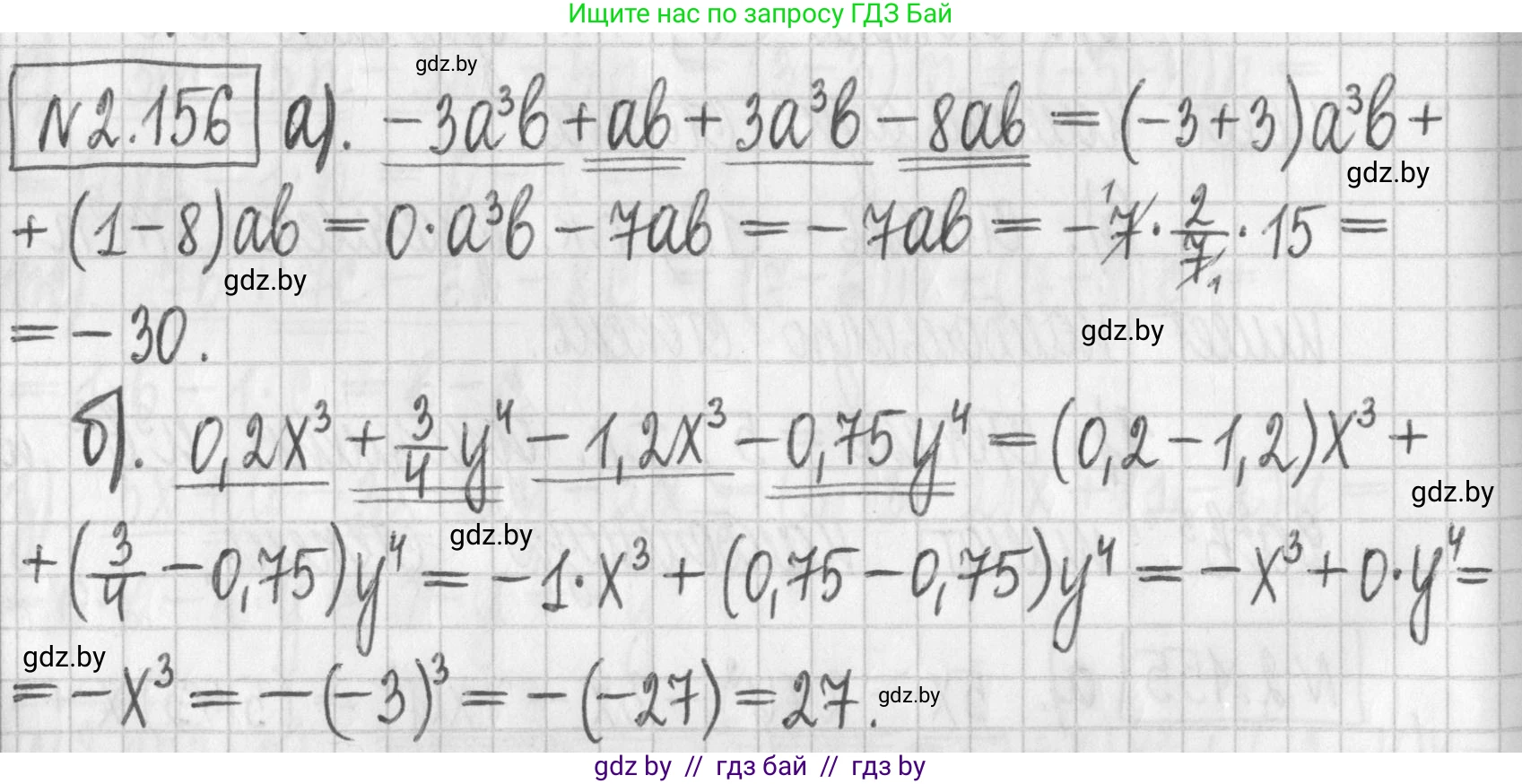
2.156. Найдите значение многочлена:

а) $ -3a^3b + ab + 3a^3b - 8ab $ при $ a = \frac{2}{7}, b = 15; $

б) $ 0,2x^3 + \frac{3}{4}y^4 - 1,2x^3 - 0,75y^4 $ при $ x = -3, y = 25. $

Решение. №2.156 (с. 83)
Алгебра, 7 класс Учебник, авторы: Арефьева Ирина Глебовна, Пирютко Ольга Николаевна, издательство Народная асвета, Минск, 2022, зелёного цвета, страница 83, номер 2.156, Решение
Решение 2. №2.156 (с. 83)

Для нахождения значения многочлена сначала упростим его, приведя подобные слагаемые, а затем подставим заданные значения переменных.

а) $-3a^3b + ab + 3a^3b - 8ab$ при $a = \frac{2}{7}, b = 15;$

1. Сгруппируем и приведем подобные слагаемые в многочлене:

$(-3a^3b + 3a^3b) + (ab - 8ab)$

Первая группа слагаемых $(-3a^3b + 3a^3b)$ в сумме дает 0. Вторая группа $(ab - 8ab)$ равна $-7ab$.

Таким образом, упрощенный многочлен имеет вид: $0 - 7ab = -7ab$.

2. Теперь подставим значения $a = \frac{2}{7}$ и $b = 15$ в полученное выражение:

$-7ab = -7 \cdot (\frac{2}{7}) \cdot 15$

Сократим 7 в числителе и знаменателе:

$-1 \cdot 2 \cdot 15 = -30$

Ответ: -30.

б) $0,2x^3 + \frac{3}{4}y^4 - 1,2x^3 - 0,75y^4$ при $x = -3, y = 25.$

1. Упростим многочлен. Для удобства приведения подобных слагаемых представим десятичную дробь 0,75 в виде обыкновенной дроби: $0,75 = \frac{75}{100} = \frac{3}{4}$.

Теперь сгруппируем подобные слагаемые:

$(0,2x^3 - 1,2x^3) + (\frac{3}{4}y^4 - \frac{3}{4}y^4)$

Вычислим значение в каждой скобке:

Первая группа: $0,2x^3 - 1,2x^3 = -1x^3 = -x^3$.

Вторая группа: $\frac{3}{4}y^4 - \frac{3}{4}y^4 = 0$.

Упрощенный многочлен: $-x^3 + 0 = -x^3$.

2. Подставим значение $x = -3$ в упрощенное выражение:

$-x^3 = -(-3)^3$

Сначала возведем -3 в куб:

$(-3)^3 = (-3) \cdot (-3) \cdot (-3) = 9 \cdot (-3) = -27$

Теперь подставим это значение обратно:

$-(-27) = 27$

Ответ: 27.

Помогло решение? Оставьте отзыв в комментариях ниже.

Присоединяйтесь к Телеграм-группе @gdz_by_belarus

Присоединиться

Мы подготовили для вас ответ c подробным объяснением домашего задания по алгебре за 7 класс, для упражнения номер 2.156 расположенного на странице 83 к учебнику 2022 года издания для учащихся школ и гимназий.

Теперь на нашем сайте ГДЗ.ТОП вы всегда легко и бесплатно найдёте условие с правильным ответом на вопрос «Как решить ДЗ» и «Как сделать» задание по алгебре к упражнению №2.156 (с. 83), авторов: Арефьева (Ирина Глебовна), Пирютко (Ольга Николаевна), учебного пособия издательства Народная асвета.