Номер 1.55, страница 17 - гдз по алгебре 7 класс учебник Арефьева, Пирютко

Алгебра, 7 класс Учебник, авторы: Арефьева Ирина Глебовна, Пирютко Ольга Николаевна, издательство Народная асвета, Минск, 2022, зелёного цвета

Авторы: Арефьева И. Г., Пирютко О. Н.

Тип: Учебник

Издательство: Народная асвета

Год издания: 2022 - 2026

Цвет обложки: зелёный с графиком

ISBN: ISBN 978-985-03-3770-2

Допущено Министерством образования Республики Беларусь

Популярные ГДЗ в 7 классе

Глава 1. Степень с натуральным и целым показателями. Параграф 1. Степень с натуральным показателем и ее свойства - номер 1.55, страница 17.

№1.55 (с. 17)
Условие. №1.55 (с. 17)
скриншот условия
Алгебра, 7 класс Учебник, авторы: Арефьева Ирина Глебовна, Пирютко Ольга Николаевна, издательство Народная асвета, Минск, 2022, зелёного цвета, страница 17, номер 1.55, Условие

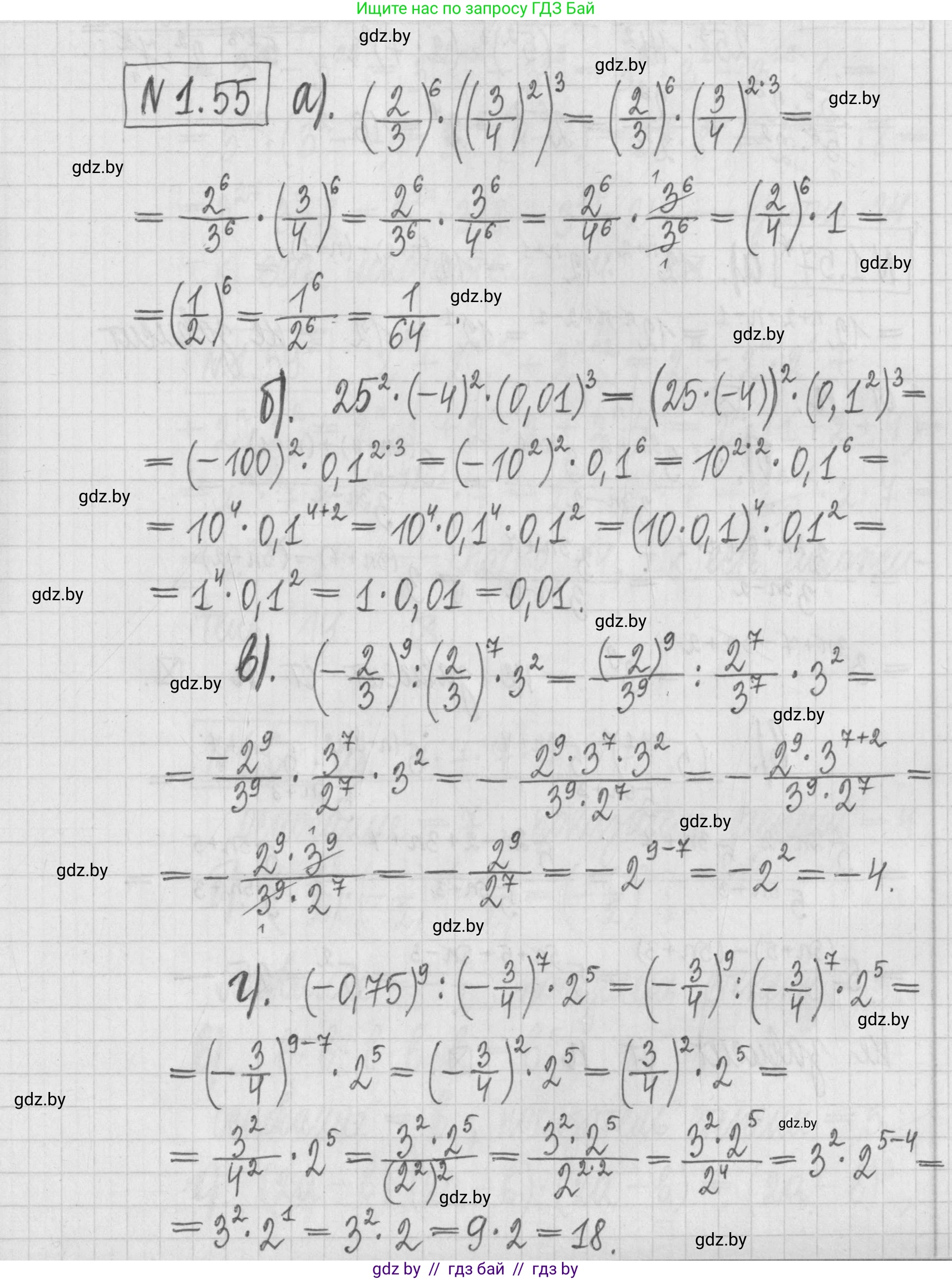
1.55. Установите порядок действий и вычислите:

а) $(\frac{2}{3})^6 \cdot ((\frac{3}{4})^2)^3$;

б) $25^2 \cdot (-4)^2 \cdot (0,01)^3$;

в) $(-\frac{2}{3})^9 : (\frac{2}{3})^7 \cdot 3^2$;

г) $(-0,75)^9 : (-\frac{3}{4})^7 \cdot 2^5$.

Решение. №1.55 (с. 17)
Алгебра, 7 класс Учебник, авторы: Арефьева Ирина Глебовна, Пирютко Ольга Николаевна, издательство Народная асвета, Минск, 2022, зелёного цвета, страница 17, номер 1.55, Решение
Решение 2. №1.55 (с. 17)

а) $(\frac{2}{3})^6 \cdot ((\frac{3}{4})^2)^3$

1. Сначала упростим второй множитель, используя свойство возведения степени в степень $(a^m)^n = a^{m \cdot n}$: $$((\frac{3}{4})^2)^3 = (\frac{3}{4})^{2 \cdot 3} = (\frac{3}{4})^6$$

2. Теперь выражение имеет вид $(\frac{2}{3})^6 \cdot (\frac{3}{4})^6$. Используем свойство умножения степеней с одинаковыми показателями $a^n \cdot b^n = (a \cdot b)^n$: $$(\frac{2}{3} \cdot \frac{3}{4})^6$$

3. Вычислим произведение дробей в скобках: $$\frac{2}{3} \cdot \frac{3}{4} = \frac{2 \cdot 3}{3 \cdot 4} = \frac{6}{12} = \frac{1}{2}$$

4. Возведем полученную дробь в степень: $$(\frac{1}{2})^6 = \frac{1^6}{2^6} = \frac{1}{64}$$

Ответ: $\frac{1}{64}$.

б) $25^2 \cdot (-4)^2 \cdot (0,01)^3$

1. Представим основания степеней в удобном для вычислений виде:

  • $25^2 = (5^2)^2 = 5^4$
  • $(-4)^2 = 16 = 4^2 = (2^2)^2 = 2^4$
  • $0,01^3 = (\frac{1}{100})^3 = (10^{-2})^3 = 10^{-6}$

2. Подставим упрощенные значения в исходное выражение: $$5^4 \cdot 2^4 \cdot 10^{-6}$$

3. Сгруппируем множители, используя свойство $a^n \cdot b^n = (a \cdot b)^n$: $$(5 \cdot 2)^4 \cdot 10^{-6} = 10^4 \cdot 10^{-6}$$

4. Используем свойство умножения степеней с одинаковым основанием $a^m \cdot a^n = a^{m+n}$: $$10^{4 + (-6)} = 10^{-2}$$

5. Запишем результат в виде десятичной дроби: $$10^{-2} = \frac{1}{10^2} = \frac{1}{100} = 0,01$$

Ответ: $0,01$.

в) $(-\frac{2}{3})^9 : (\frac{2}{3})^7 \cdot 3^2$

1. Выполняем действия по порядку слева направо. Сначала деление. Поскольку основание $(-\frac{2}{3})$ возводится в нечетную степень 9, знак будет отрицательным: $(-\frac{2}{3})^9 = -(\frac{2}{3})^9$.

2. Выполним деление степеней с одинаковым основанием, используя свойство $a^m : a^n = a^{m-n}$: $$-(\frac{2}{3})^9 : (\frac{2}{3})^7 = -(\frac{2}{3})^{9-7} = -(\frac{2}{3})^2$$

3. Вычислим полученную степень: $$-\left(\frac{2^2}{3^2}\right) = -\frac{4}{9}$$

4. Теперь выполним умножение: $$-\frac{4}{9} \cdot 3^2 = -\frac{4}{9} \cdot 9 = -4$$

Ответ: $-4$.

г) $(-0,75)^9 : (-\frac{3}{4})^7 \cdot 2^5$

1. Преобразуем десятичную дробь $-0,75$ в обыкновенную: $$-0,75 = -\frac{75}{100} = -\frac{3}{4}$$

2. Выражение примет вид: $$(-\frac{3}{4})^9 : (-\frac{3}{4})^7 \cdot 2^5$$

3. Выполним деление степеней с одинаковым основанием, используя свойство $a^m : a^n = a^{m-n}$: $$(-\frac{3}{4})^{9-7} = (-\frac{3}{4})^2$$

4. Возведем в квадрат. Так как степень четная, результат будет положительным: $$(-\frac{3}{4})^2 = \frac{3^2}{4^2} = \frac{9}{16}$$

5. Выполним умножение на $2^5$: $$\frac{9}{16} \cdot 2^5 = \frac{9}{16} \cdot 32 = \frac{9 \cdot 32}{16}$$

6. Сократим дробь и найдем окончательный результат: $$\frac{9 \cdot (2 \cdot 16)}{16} = 9 \cdot 2 = 18$$

Ответ: $18$.

Помогло решение? Оставьте отзыв в комментариях ниже.

Присоединяйтесь к Телеграм-группе @gdz_by_belarus

Присоединиться

Мы подготовили для вас ответ c подробным объяснением домашего задания по алгебре за 7 класс, для упражнения номер 1.55 расположенного на странице 17 к учебнику 2022 года издания для учащихся школ и гимназий.

Теперь на нашем сайте ГДЗ.ТОП вы всегда легко и бесплатно найдёте условие с правильным ответом на вопрос «Как решить ДЗ» и «Как сделать» задание по алгебре к упражнению №1.55 (с. 17), авторов: Арефьева (Ирина Глебовна), Пирютко (Ольга Николаевна), учебного пособия издательства Народная асвета.