Номер 1.50, страница 16 - гдз по алгебре 7 класс учебник Арефьева, Пирютко
Авторы: Арефьева И. Г., Пирютко О. Н.
Тип: Учебник
Издательство: Народная асвета
Год издания: 2022 - 2026
Цвет обложки: зелёный с графиком
ISBN: ISBN 978-985-03-3770-2
Допущено Министерством образования Республики Беларусь
Популярные ГДЗ в 7 классе
Глава 1. Степень с натуральным и целым показателями. Параграф 1. Степень с натуральным показателем и ее свойства - номер 1.50, страница 16.
№1.50 (с. 16)
Условие. №1.50 (с. 16)
скриншот условия
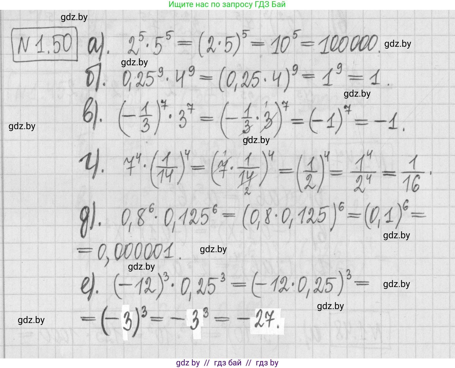
1.50. Представьте произведение степеней в виде степени и найдите значение выражения:
а) $2^5 \cdot 5^5$;
б) $0,25^9 \cdot 4^9$;
в) $(-\frac{1}{3})^7 \cdot 3^7$;
г) $7^4 \cdot (\frac{1}{14})^4$;
д) $0,8^6 \cdot 0,125^6$;
е) $(-12)^3 \cdot 0,25^3$.
Решение. №1.50 (с. 16)
Решение 2. №1.50 (с. 16)
а) $2^5 \cdot 5^5$
Для решения используем свойство произведения степеней с одинаковыми показателями: $a^n \cdot b^n = (a \cdot b)^n$.
Представим произведение в виде степени:
$2^5 \cdot 5^5 = (2 \cdot 5)^5 = 10^5$
Теперь найдем значение этого выражения:
$10^5 = 100000$
Ответ: 100000
б) $0,25^9 \cdot 4^9$
Применяем то же свойство степеней:
$0,25^9 \cdot 4^9 = (0,25 \cdot 4)^9 = 1^9$
Найдем значение выражения:
$1^9 = 1$
Ответ: 1
в) $(-\frac{1}{3})^7 \cdot 3^7$
Используем свойство произведения степеней:
$(-\frac{1}{3})^7 \cdot 3^7 = (-\frac{1}{3} \cdot 3)^7 = (-1)^7$
Найдем значение выражения. Так как показатель степени (7) нечетный, результат будет отрицательным:
$(-1)^7 = -1$
Ответ: -1
г) $7^4 \cdot (\frac{1}{14})^4$
Снова применяем свойство произведения степеней:
$7^4 \cdot (\frac{1}{14})^4 = (7 \cdot \frac{1}{14})^4 = (\frac{7}{14})^4 = (\frac{1}{2})^4$
Найдем значение выражения:
$(\frac{1}{2})^4 = \frac{1^4}{2^4} = \frac{1}{16}$
Ответ: $\frac{1}{16}$
д) $0,8^6 \cdot 0,125^6$
Используем свойство произведения степеней:
$0,8^6 \cdot 0,125^6 = (0,8 \cdot 0,125)^6$
Вычислим произведение в скобках:
$0,8 \cdot 0,125 = 0,1$
Таким образом, выражение принимает вид:
$(0,1)^6 = 0,000001$
Ответ: 0,000001
е) $(-12)^3 \cdot 0,25^3$
Применяем свойство произведения степеней:
$(-12)^3 \cdot 0,25^3 = (-12 \cdot 0,25)^3$
Вычислим произведение в скобках:
$-12 \cdot 0,25 = -12 \cdot \frac{1}{4} = -3$
Таким образом, получаем:
$(-3)^3 = -27$
Ответ: -27
Другие задания:
Помогло решение? Оставьте отзыв в комментариях ниже.
Присоединяйтесь к Телеграм-группе @gdz_by_belarus
ПрисоединитьсяМы подготовили для вас ответ c подробным объяснением домашего задания по алгебре за 7 класс, для упражнения номер 1.50 расположенного на странице 16 к учебнику 2022 года издания для учащихся школ и гимназий.
Теперь на нашем сайте ГДЗ.ТОП вы всегда легко и бесплатно найдёте условие с правильным ответом на вопрос «Как решить ДЗ» и «Как сделать» задание по алгебре к упражнению №1.50 (с. 16), авторов: Арефьева (Ирина Глебовна), Пирютко (Ольга Николаевна), учебного пособия издательства Народная асвета.