Номер 1.16, страница 13 - гдз по алгебре 7 класс учебник Арефьева, Пирютко

Алгебра, 7 класс Учебник, авторы: Арефьева Ирина Глебовна, Пирютко Ольга Николаевна, издательство Народная асвета, Минск, 2022, зелёного цвета

Авторы: Арефьева И. Г., Пирютко О. Н.

Тип: Учебник

Издательство: Народная асвета

Год издания: 2022 - 2026

Цвет обложки: зелёный с графиком

ISBN: ISBN 978-985-03-3770-2

Допущено Министерством образования Республики Беларусь

Популярные ГДЗ в 7 классе

Глава 1. Степень с натуральным и целым показателями. Параграф 1. Степень с натуральным показателем и ее свойства - номер 1.16, страница 13.

№1.16 (с. 13)
Условие. №1.16 (с. 13)
скриншот условия
Алгебра, 7 класс Учебник, авторы: Арефьева Ирина Глебовна, Пирютко Ольга Николаевна, издательство Народная асвета, Минск, 2022, зелёного цвета, страница 13, номер 1.16, Условие

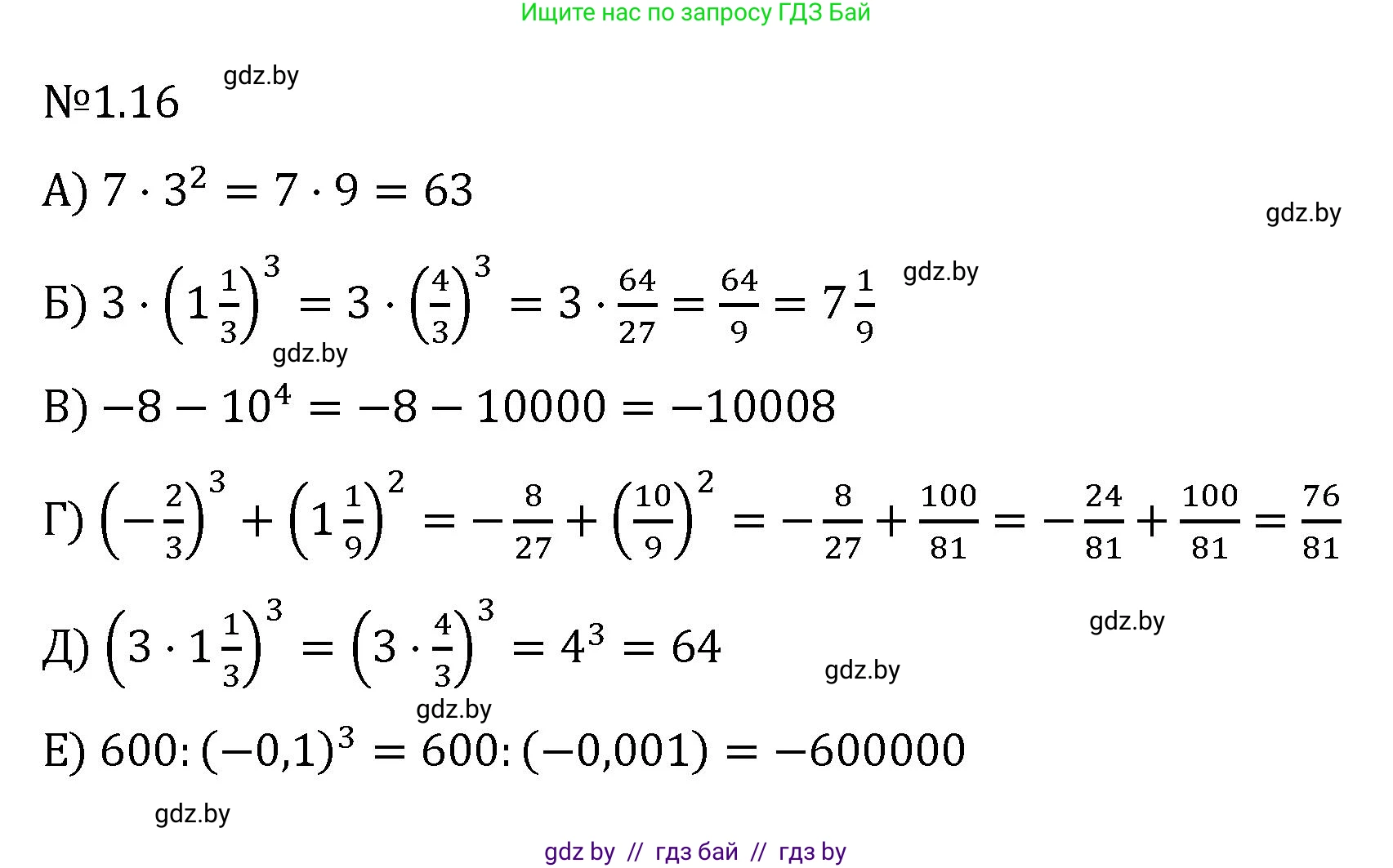
1.16. Найдите значение выражения:

а) $7 \cdot 3^2$;

б) $3 \cdot \left(\frac{1}{3}\right)^3$;

в) $-8 - 10^4$;

г) $\left(-\frac{2}{3}\right)^3 + \left(1 \frac{1}{9}\right)^2$;

д) $\left(3 \cdot 1 \frac{1}{3}\right)^3$;

е) $600 : (-0.1)^3$.

Решение. №1.16 (с. 13)
Алгебра, 7 класс Учебник, авторы: Арефьева Ирина Глебовна, Пирютко Ольга Николаевна, издательство Народная асвета, Минск, 2022, зелёного цвета, страница 13, номер 1.16, Решение
Решение 2. №1.16 (с. 13)

а) $7 \cdot 3^2$

Согласно порядку действий, сначала выполняем возведение в степень, а затем умножение.

1. Возводим 3 в квадрат: $3^2 = 3 \cdot 3 = 9$.

2. Умножаем 7 на результат: $7 \cdot 9 = 63$.

Ответ: 63

б) $3 \cdot (\frac{1}{3})^3$

Сначала возводим дробь в скобках в степень, затем выполняем умножение.

1. Возводим $\frac{1}{3}$ в куб: $(\frac{1}{3})^3 = \frac{1^3}{3^3} = \frac{1}{27}$.

2. Умножаем 3 на полученную дробь: $3 \cdot \frac{1}{27} = \frac{3}{27}$.

3. Сокращаем дробь: $\frac{3}{27} = \frac{1}{9}$.

Ответ: $\frac{1}{9}$

в) $-8 \cdot 10^4$

В данном выражении в степень возводится только число 10.

1. Возводим 10 в четвертую степень: $10^4 = 10 \cdot 10 \cdot 10 \cdot 10 = 10000$.

2. Умножаем -8 на результат: $-8 \cdot 10000 = -80000$.

Ответ: -80000

г) $(-\frac{2}{3})^3 + (1\frac{1}{9})^2$

Выполняем по порядку: сначала возведение в степень для каждого слагаемого, а затем сложение.

1. Возводим первую дробь в куб: $(-\frac{2}{3})^3 = -\frac{2^3}{3^3} = -\frac{8}{27}$.

2. Преобразуем смешанное число $1\frac{1}{9}$ в неправильную дробь: $1\frac{1}{9} = \frac{1 \cdot 9 + 1}{9} = \frac{10}{9}$.

3. Возводим полученную дробь в квадрат: $(\frac{10}{9})^2 = \frac{10^2}{9^2} = \frac{100}{81}$.

4. Складываем результаты. Для этого приведем дроби к общему знаменателю, который равен 81: $-\frac{8}{27} + \frac{100}{81} = -\frac{8 \cdot 3}{27 \cdot 3} + \frac{100}{81} = -\frac{24}{81} + \frac{100}{81} = \frac{100 - 24}{81} = \frac{76}{81}$.

Ответ: $\frac{76}{81}$

д) $(3 \cdot 1\frac{1}{3})^3$

Сначала выполняем действие в скобках, затем возводим результат в степень.

1. Преобразуем смешанное число в неправильную дробь: $1\frac{1}{3} = \frac{1 \cdot 3 + 1}{3} = \frac{4}{3}$.

2. Выполняем умножение в скобках: $3 \cdot \frac{4}{3} = \frac{3 \cdot 4}{3} = 4$.

3. Возводим полученный результат в куб: $4^3 = 4 \cdot 4 \cdot 4 = 64$.

Ответ: 64

е) $600 : (-0,1)^3$

Сначала выполняем возведение в степень, затем деление.

1. Возводим -0,1 в куб: $(-0,1)^3 = (-0,1) \cdot (-0,1) \cdot (-0,1) = -0,001$.

2. Выполняем деление. Делить на -0,001 то же самое, что умножать на -1000: $600 : (-0,001) = 600 \cdot (-1000) = -600000$.

Ответ: -600000

Помогло решение? Оставьте отзыв в комментариях ниже.

Присоединяйтесь к Телеграм-группе @gdz_by_belarus

Присоединиться

Мы подготовили для вас ответ c подробным объяснением домашего задания по алгебре за 7 класс, для упражнения номер 1.16 расположенного на странице 13 к учебнику 2022 года издания для учащихся школ и гимназий.

Теперь на нашем сайте ГДЗ.ТОП вы всегда легко и бесплатно найдёте условие с правильным ответом на вопрос «Как решить ДЗ» и «Как сделать» задание по алгебре к упражнению №1.16 (с. 13), авторов: Арефьева (Ирина Глебовна), Пирютко (Ольга Николаевна), учебного пособия издательства Народная асвета.