Номер 1.13, страница 12 - гдз по алгебре 7 класс учебник Арефьева, Пирютко

Алгебра, 7 класс Учебник, авторы: Арефьева Ирина Глебовна, Пирютко Ольга Николаевна, издательство Народная асвета, Минск, 2022, зелёного цвета

Авторы: Арефьева И. Г., Пирютко О. Н.

Тип: Учебник

Издательство: Народная асвета

Год издания: 2022 - 2026

Цвет обложки: зелёный с графиком

ISBN: ISBN 978-985-03-3770-2

Допущено Министерством образования Республики Беларусь

Популярные ГДЗ в 7 классе

Глава 1. Степень с натуральным и целым показателями. Параграф 1. Степень с натуральным показателем и ее свойства - номер 1.13, страница 12.

№1.13 (с. 12)
Условие. №1.13 (с. 12)
скриншот условия
Алгебра, 7 класс Учебник, авторы: Арефьева Ирина Глебовна, Пирютко Ольга Николаевна, издательство Народная асвета, Минск, 2022, зелёного цвета, страница 12, номер 1.13, Условие

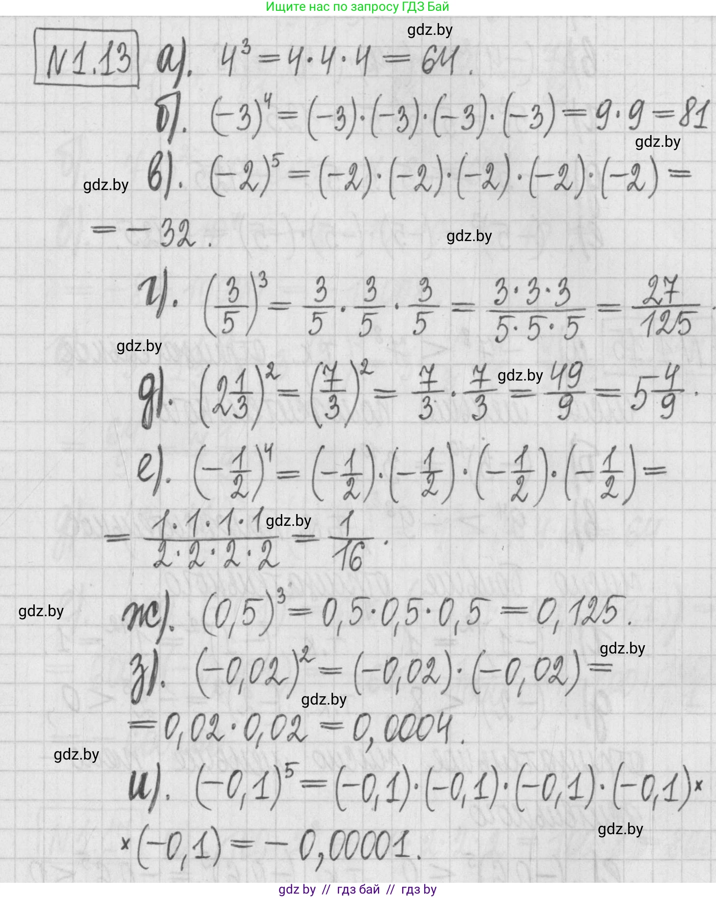
1.13. Найдите значение степени:

а) $4^3;$

б) $(-3)^4;$

в) $(-2)^5;$

г) $(\frac{3}{5})^3;$

д) $(2\frac{1}{3})^2;$

е) $(-\frac{1}{2})^4;$

ж) $(0,5)^3;$

з) $(-0,02)^2;$

и) $(-0,1)^5.$

Решение. №1.13 (с. 12)
Алгебра, 7 класс Учебник, авторы: Арефьева Ирина Глебовна, Пирютко Ольга Николаевна, издательство Народная асвета, Минск, 2022, зелёного цвета, страница 12, номер 1.13, Решение
Решение 2. №1.13 (с. 12)

Ниже представлены развернутые решения для каждого подпункта задачи "Найдите значение степени".

а) Чтобы найти значение степени $4^3$, нужно число 4 (основание степени) умножить само на себя 3 раза (показатель степени):
$4^3 = 4 \cdot 4 \cdot 4 = 16 \cdot 4 = 64$
Ответ: $64$

б) Возводим отрицательное число $-3$ в четную степень 4. При возведении отрицательного числа в четную степень результат будет положительным.
$(-3)^4 = (-3) \cdot (-3) \cdot (-3) \cdot (-3) = 9 \cdot 9 = 81$
Ответ: $81$

в) Возводим отрицательное число $-2$ в нечетную степень 5. При возведении отрицательного числа в нечетную степень результат будет отрицательным.
$(-2)^5 = (-2) \cdot (-2) \cdot (-2) \cdot (-2) \cdot (-2) = 4 \cdot 4 \cdot (-2) = 16 \cdot (-2) = -32$
Ответ: $-32$

г) Чтобы возвести дробь в степень, нужно возвести в эту степень и числитель, и знаменатель дроби.
$(\frac{3}{5})^3 = \frac{3^3}{5^3} = \frac{3 \cdot 3 \cdot 3}{5 \cdot 5 \cdot 5} = \frac{27}{125}$
Ответ: $\frac{27}{125}$

д) Сначала преобразуем смешанное число в неправильную дробь.
$2\frac{1}{3} = \frac{2 \cdot 3 + 1}{3} = \frac{7}{3}$
Теперь возводим полученную дробь в квадрат:
$(\frac{7}{3})^2 = \frac{7^2}{3^2} = \frac{49}{9}$
Так как получилась неправильная дробь, выделим из нее целую часть:
$\frac{49}{9} = 5\frac{4}{9}$ (так как $49 \div 9 = 5$ и остаток $4$)
Ответ: $5\frac{4}{9}$

е) Возводим отрицательную дробь в четную степень 4. Результат будет положительным.
$(-\frac{1}{2})^4 = (\frac{1}{2})^4 = \frac{1^4}{2^4} = \frac{1}{2 \cdot 2 \cdot 2 \cdot 2} = \frac{1}{16}$
Ответ: $\frac{1}{16}$

ж) Возводим десятичную дробь 0,5 в куб.
$(0,5)^3 = 0,5 \cdot 0,5 \cdot 0,5 = 0,25 \cdot 0,5 = 0,125$
Также можно представить 0,5 как обыкновенную дробь $\frac{1}{2}$:
$(\frac{1}{2})^3 = \frac{1^3}{2^3} = \frac{1}{8} = 0,125$
Ответ: $0,125$

з) Возводим отрицательное десятичное число $-0,02$ в квадрат (четную степень). Результат будет положительным.
$(-0,02)^2 = (-0,02) \cdot (-0,02) = 0,0004$
Ответ: $0,0004$

и) Возводим отрицательное десятичное число $-0,1$ в пятую (нечетную) степень. Результат будет отрицательным.
$(-0,1)^5 = -(0,1 \cdot 0,1 \cdot 0,1 \cdot 0,1 \cdot 0,1) = -0,00001$
Ответ: $-0,00001$

Помогло решение? Оставьте отзыв в комментариях ниже.

Присоединяйтесь к Телеграм-группе @gdz_by_belarus

Присоединиться

Мы подготовили для вас ответ c подробным объяснением домашего задания по алгебре за 7 класс, для упражнения номер 1.13 расположенного на странице 12 к учебнику 2022 года издания для учащихся школ и гимназий.

Теперь на нашем сайте ГДЗ.ТОП вы всегда легко и бесплатно найдёте условие с правильным ответом на вопрос «Как решить ДЗ» и «Как сделать» задание по алгебре к упражнению №1.13 (с. 12), авторов: Арефьева (Ирина Глебовна), Пирютко (Ольга Николаевна), учебного пособия издательства Народная асвета.