Номер 28.6, страница 129 - гдз по алгебре 7-9 класс сборник задач Арефьева, Пирютко

Алгебра, 7-9 класс Сборник задач, авторы: Арефьева Ирина Глебовна, Пирютко Ольга Николаевна, издательство Народная асвета, Минск, 2020

Авторы: Арефьева И. Г., Пирютко О. Н.

Тип: Сборник задач

Издательство: Народная асвета

Год издания: 2020 - 2026

Цвет обложки: синий с графиками

Допущено Министерством образования Республики Беларусь

Популярные ГДЗ в 7 классе

8 класс. Параграф 28. Решение целых рациональных уравнений, сводящихся к квадратным уравнениям - номер 28.6, страница 129.

№28.6 (с. 129)
Условие. №28.6 (с. 129)
скриншот условия
Алгебра, 7-9 класс Сборник задач, авторы: Арефьева Ирина Глебовна, Пирютко Ольга Николаевна, издательство Народная асвета, Минск, 2020, страница 129, номер 28.6, Условие Алгебра, 7-9 класс Сборник задач, авторы: Арефьева Ирина Глебовна, Пирютко Ольга Николаевна, издательство Народная асвета, Минск, 2020, страница 129, номер 28.6, Условие (продолжение 2)

28.6*. Выполните замену переменной и решите уравнение:

a) $(x^2 - x - 1)(x^2 - x - 7) + 5 = 0;$

б) $(x^2 - 7x + 16)(x^2 - 7x + 17) = 20;$

в) $(x^2 - 6x + 1)(x^2 - 6x + 3) = 80;$

г) $(5x - x^2 - 5)(x^2 - 5x + 7) = 1.$

Решение. №28.6 (с. 129)
Алгебра, 7-9 класс Сборник задач, авторы: Арефьева Ирина Глебовна, Пирютко Ольга Николаевна, издательство Народная асвета, Минск, 2020, страница 129, номер 28.6, Решение Алгебра, 7-9 класс Сборник задач, авторы: Арефьева Ирина Глебовна, Пирютко Ольга Николаевна, издательство Народная асвета, Минск, 2020, страница 129, номер 28.6, Решение (продолжение 2)
Решение 2. №28.6 (с. 129)

а)

В уравнении $(x^2 - x - 1)(x^2 - x - 7) + 5 = 0$ введем замену переменной. Пусть $t = x^2 - x$.

Тогда исходное уравнение можно переписать в виде:

$(t - 1)(t - 7) + 5 = 0$

Раскроем скобки и решим полученное квадратное уравнение относительно $t$:

$t^2 - 7t - t + 7 + 5 = 0$

$t^2 - 8t + 12 = 0$

По теореме Виета находим корни: $t_1 = 2$ и $t_2 = 6$.

Теперь выполним обратную замену для каждого найденного значения $t$.

1. При $t = 2$:
$x^2 - x = 2$
$x^2 - x - 2 = 0$
Корни этого уравнения (по теореме Виета): $x_1 = 2$, $x_2 = -1$.

2. При $t = 6$:
$x^2 - x = 6$
$x^2 - x - 6 = 0$
Корни этого уравнения (по теореме Виета): $x_3 = 3$, $x_4 = -2$.

Ответ: -2; -1; 2; 3.

б)

В уравнении $(x^2 - 7x + 16)(x^2 - 7x + 17) = 20$ сделаем замену переменной. Пусть $t = x^2 - 7x + 16$.

Тогда второй множитель $x^2 - 7x + 17 = (x^2 - 7x + 16) + 1 = t + 1$. Уравнение примет вид:

$t(t + 1) = 20$

Решим это уравнение:

$t^2 + t - 20 = 0$

По теореме Виета находим корни: $t_1 = 4$ и $t_2 = -5$.

Выполним обратную замену.

1. При $t = 4$:
$x^2 - 7x + 16 = 4$
$x^2 - 7x + 12 = 0$
Корни этого уравнения (по теореме Виета): $x_1 = 3$, $x_2 = 4$.

2. При $t = -5$:
$x^2 - 7x + 16 = -5$
$x^2 - 7x + 21 = 0$
Найдем дискриминант этого уравнения: $D = (-7)^2 - 4 \cdot 1 \cdot 21 = 49 - 84 = -35$. Так как $D < 0$, действительных корней нет.

Ответ: 3; 4.

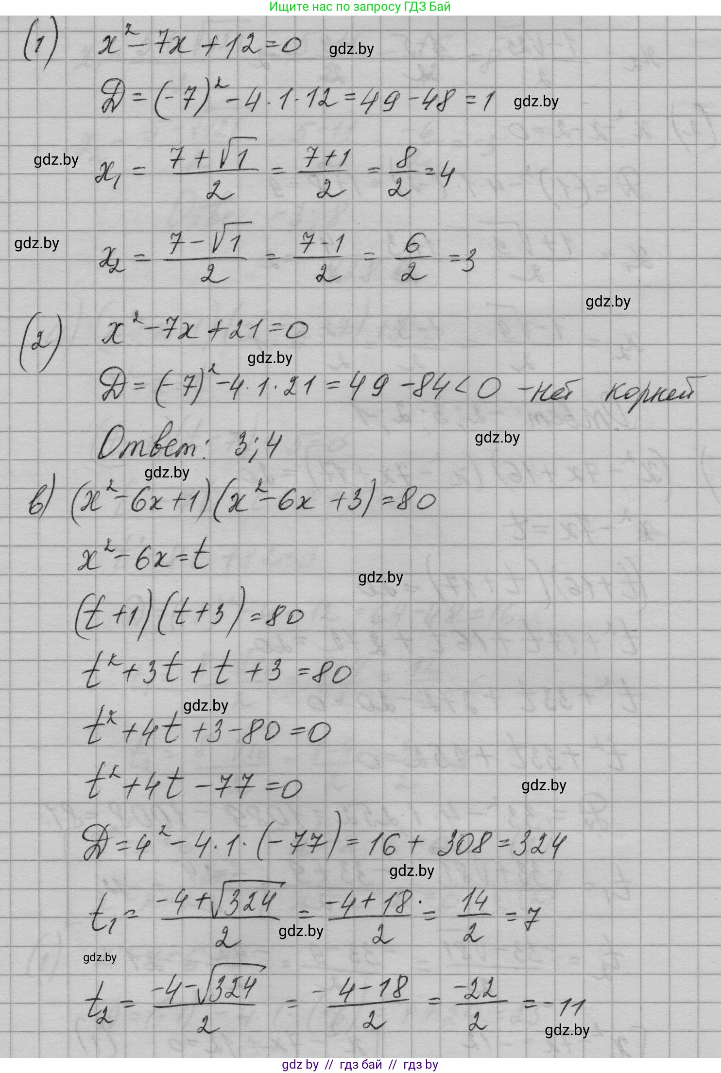
в)

В уравнении $(x^2 - 6x + 1)(x^2 - 6x + 3) = 80$ введем замену переменной. Пусть $t = x^2 - 6x$.

Тогда уравнение примет вид:

$(t + 1)(t + 3) = 80$

Раскроем скобки и решим уравнение:

$t^2 + 3t + t + 3 = 80$

$t^2 + 4t - 77 = 0$

Найдем дискриминант: $D = 4^2 - 4 \cdot 1 \cdot (-77) = 16 + 308 = 324 = 18^2$.

Корни для $t$: $t_1 = \frac{-4 - 18}{2} = -11$, $t_2 = \frac{-4 + 18}{2} = 7$.

Выполним обратную замену.

1. При $t = 7$:
$x^2 - 6x = 7$
$x^2 - 6x - 7 = 0$
Корни этого уравнения (по теореме Виета): $x_1 = 7$, $x_2 = -1$.

2. При $t = -11$:
$x^2 - 6x = -11$
$x^2 - 6x + 11 = 0$
Дискриминант $D = (-6)^2 - 4 \cdot 1 \cdot 11 = 36 - 44 = -8$. Так как $D < 0$, действительных корней нет.

Ответ: -1; 7.

г)

Рассмотрим уравнение $(5x - x^2 - 5)(x^2 - 5x + 7) = 1$.

Заметим, что $5x - x^2 = -(x^2 - 5x)$. Преобразуем первый множитель: $5x - x^2 - 5 = -(x^2 - 5x) - 5$.

Сделаем замену переменной. Пусть $t = x^2 - 5x$.

Тогда уравнение можно переписать в виде:

$(-t - 5)(t + 7) = 1$

Вынесем минус за скобки: $-(t + 5)(t + 7) = 1$, или $(t + 5)(t + 7) = -1$.

Раскроем скобки и решим уравнение:

$t^2 + 7t + 5t + 35 = -1$

$t^2 + 12t + 36 = 0$

Это выражение является полным квадратом: $(t + 6)^2 = 0$.

Отсюда находим единственный корень для $t$: $t = -6$.

Выполним обратную замену:

$x^2 - 5x = -6$

$x^2 - 5x + 6 = 0$

По теореме Виета, корни этого уравнения: $x_1 = 2$, $x_2 = 3$.

Ответ: 2; 3.

Помогло решение? Оставьте отзыв в комментариях ниже.

Присоединяйтесь к Телеграм-группе @gdz_by_belarus

Присоединиться

Мы подготовили для вас ответ c подробным объяснением домашего задания по алгебре за 7-9 класс, для упражнения номер 28.6 расположенного на странице 129 к сборнику задач 2020 года издания для учащихся школ и гимназий.

Теперь на нашем сайте ГДЗ.ТОП вы всегда легко и бесплатно найдёте условие с правильным ответом на вопрос «Как решить ДЗ» и «Как сделать» задание по алгебре к упражнению №28.6 (с. 129), авторов: Арефьева (Ирина Глебовна), Пирютко (Ольга Николаевна), учебного пособия издательства Народная асвета.