Номер 28.3, страница 129 - гдз по алгебре 7-9 класс сборник задач Арефьева, Пирютко

Алгебра, 7-9 класс Сборник задач, авторы: Арефьева Ирина Глебовна, Пирютко Ольга Николаевна, издательство Народная асвета, Минск, 2020

Авторы: Арефьева И. Г., Пирютко О. Н.

Тип: Сборник задач

Издательство: Народная асвета

Год издания: 2020 - 2026

Цвет обложки: синий с графиками

Допущено Министерством образования Республики Беларусь

Популярные ГДЗ в 7 классе

8 класс. Параграф 28. Решение целых рациональных уравнений, сводящихся к квадратным уравнениям - номер 28.3, страница 129.

№28.3 (с. 129)
Условие. №28.3 (с. 129)
скриншот условия
Алгебра, 7-9 класс Сборник задач, авторы: Арефьева Ирина Глебовна, Пирютко Ольга Николаевна, издательство Народная асвета, Минск, 2020, страница 129, номер 28.3, Условие

28.3. Решите уравнение:

а) $(x-2)^4 - 8(x-2)^2 + 7 = 0;$

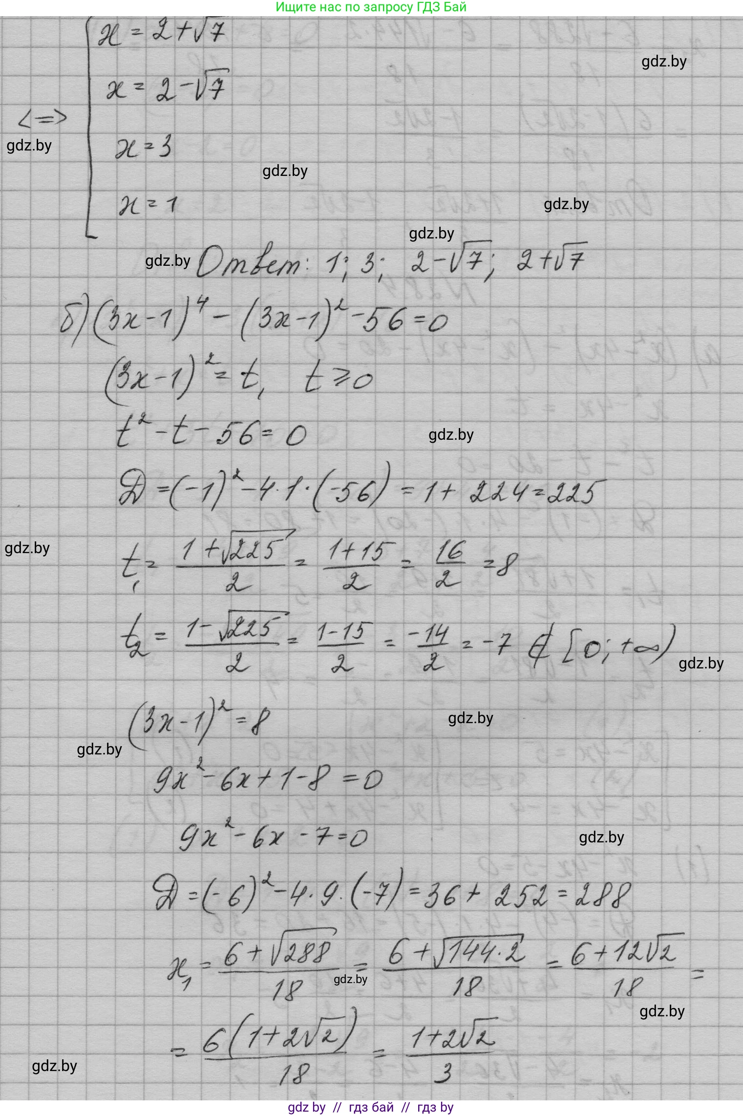
б) $(3x-1)^4 - (3x-1)^2 - 56 = 0.$

Решение. №28.3 (с. 129)
Алгебра, 7-9 класс Сборник задач, авторы: Арефьева Ирина Глебовна, Пирютко Ольга Николаевна, издательство Народная асвета, Минск, 2020, страница 129, номер 28.3, Решение Алгебра, 7-9 класс Сборник задач, авторы: Арефьева Ирина Глебовна, Пирютко Ольга Николаевна, издательство Народная асвета, Минск, 2020, страница 129, номер 28.3, Решение (продолжение 2)
Решение 2. №28.3 (с. 129)

а) $(x-2)^4 - 8(x-2)^2 + 7 = 0$

Данное уравнение является биквадратным относительно выражения $(x-2)$.

Сделаем замену переменной. Пусть $y = (x-2)^2$. Так как квадрат любого действительного числа неотрицателен, то $y \ge 0$.

Тогда уравнение примет вид:

$y^2 - 8y + 7 = 0$

Это квадратное уравнение относительно $y$. Решим его. Можно использовать теорему Виета или формулу для корней квадратного уравнения.

По теореме Виета, сумма корней $y_1 + y_2 = 8$, а произведение корней $y_1 \cdot y_2 = 7$.

Отсюда легко найти корни: $y_1 = 1$ и $y_2 = 7$.

Оба корня удовлетворяют условию $y \ge 0$.

Теперь выполним обратную замену для каждого из найденных значений $y$.

1. Если $y = 1$, то $(x-2)^2 = 1$.

Это уравнение распадается на два:

$x - 2 = 1$, откуда $x_1 = 3$.

$x - 2 = -1$, откуда $x_2 = 1$.

2. Если $y = 7$, то $(x-2)^2 = 7$.

Это уравнение также распадается на два:

$x - 2 = \sqrt{7}$, откуда $x_3 = 2 + \sqrt{7}$.

$x - 2 = -\sqrt{7}$, откуда $x_4 = 2 - \sqrt{7}$.

Таким образом, исходное уравнение имеет четыре корня.

Ответ: $1; 3; 2 - \sqrt{7}; 2 + \sqrt{7}$.

б) $(3x-1)^4 - (3x-1)^2 - 56 = 0$

Это уравнение также является биквадратным, но относительно выражения $(3x-1)$.

Введем новую переменную. Пусть $z = (3x-1)^2$. По определению квадрата, $z \ge 0$.

Подставим новую переменную в уравнение:

$z^2 - z - 56 = 0$

Решим полученное квадратное уравнение относительно $z$. Найдем дискриминант:

$D = b^2 - 4ac = (-1)^2 - 4 \cdot 1 \cdot (-56) = 1 + 224 = 225 = 15^2$.

Найдем корни для $z$:

$z_1 = \frac{-b - \sqrt{D}}{2a} = \frac{1 - 15}{2} = \frac{-14}{2} = -7$.

$z_2 = \frac{-b + \sqrt{D}}{2a} = \frac{1 + 15}{2} = \frac{16}{2} = 8$.

Проверим корни на соответствие условию $z \ge 0$.

Корень $z_1 = -7$ не удовлетворяет условию $z \ge 0$, так как квадрат действительного числа не может быть отрицательным. Этот корень является посторонним.

Корень $z_2 = 8$ удовлетворяет условию.

Выполним обратную замену для $z = 8$:

$(3x-1)^2 = 8$

Извлечем квадратный корень из обеих частей уравнения:

$3x - 1 = \sqrt{8}$ или $3x - 1 = -\sqrt{8}$.

Упростим $\sqrt{8} = \sqrt{4 \cdot 2} = 2\sqrt{2}$.

Решим два получившихся линейных уравнения:

1. $3x - 1 = 2\sqrt{2}$

$3x = 1 + 2\sqrt{2}$

$x_1 = \frac{1 + 2\sqrt{2}}{3}$.

2. $3x - 1 = -2\sqrt{2}$

$3x = 1 - 2\sqrt{2}$

$x_2 = \frac{1 - 2\sqrt{2}}{3}$.

Исходное уравнение имеет два действительных корня.

Ответ: $\frac{1 - 2\sqrt{2}}{3}; \frac{1 + 2\sqrt{2}}{3}$.

Помогло решение? Оставьте отзыв в комментариях ниже.

Присоединяйтесь к Телеграм-группе @gdz_by_belarus

Присоединиться

Мы подготовили для вас ответ c подробным объяснением домашего задания по алгебре за 7-9 класс, для упражнения номер 28.3 расположенного на странице 129 к сборнику задач 2020 года издания для учащихся школ и гимназий.

Теперь на нашем сайте ГДЗ.ТОП вы всегда легко и бесплатно найдёте условие с правильным ответом на вопрос «Как решить ДЗ» и «Как сделать» задание по алгебре к упражнению №28.3 (с. 129), авторов: Арефьева (Ирина Глебовна), Пирютко (Ольга Николаевна), учебного пособия издательства Народная асвета.