Номер 13.30, страница 60 - гдз по алгебре 7-9 класс сборник задач Арефьева, Пирютко
Авторы: Арефьева И. Г., Пирютко О. Н.
Тип: Сборник задач
Издательство: Народная асвета
Год издания: 2020 - 2026
Цвет обложки: синий с графиками
Допущено Министерством образования Республики Беларусь
Популярные ГДЗ в 7 классе
7 класс. Параграф 13. Разложение многочлена на множители - номер 13.30, страница 60.
№13.30 (с. 60)
Условие. №13.30 (с. 60)
скриншот условия
13.30*. Разложите многочлен на множители:
а) $4x^2 + 20x - 9y^2 + 12y + 21;$
б) $49x^2 - 28x - 16y^2 + 24y - 5.$
Решение. №13.30 (с. 60)
Решение 2. №13.30 (с. 60)
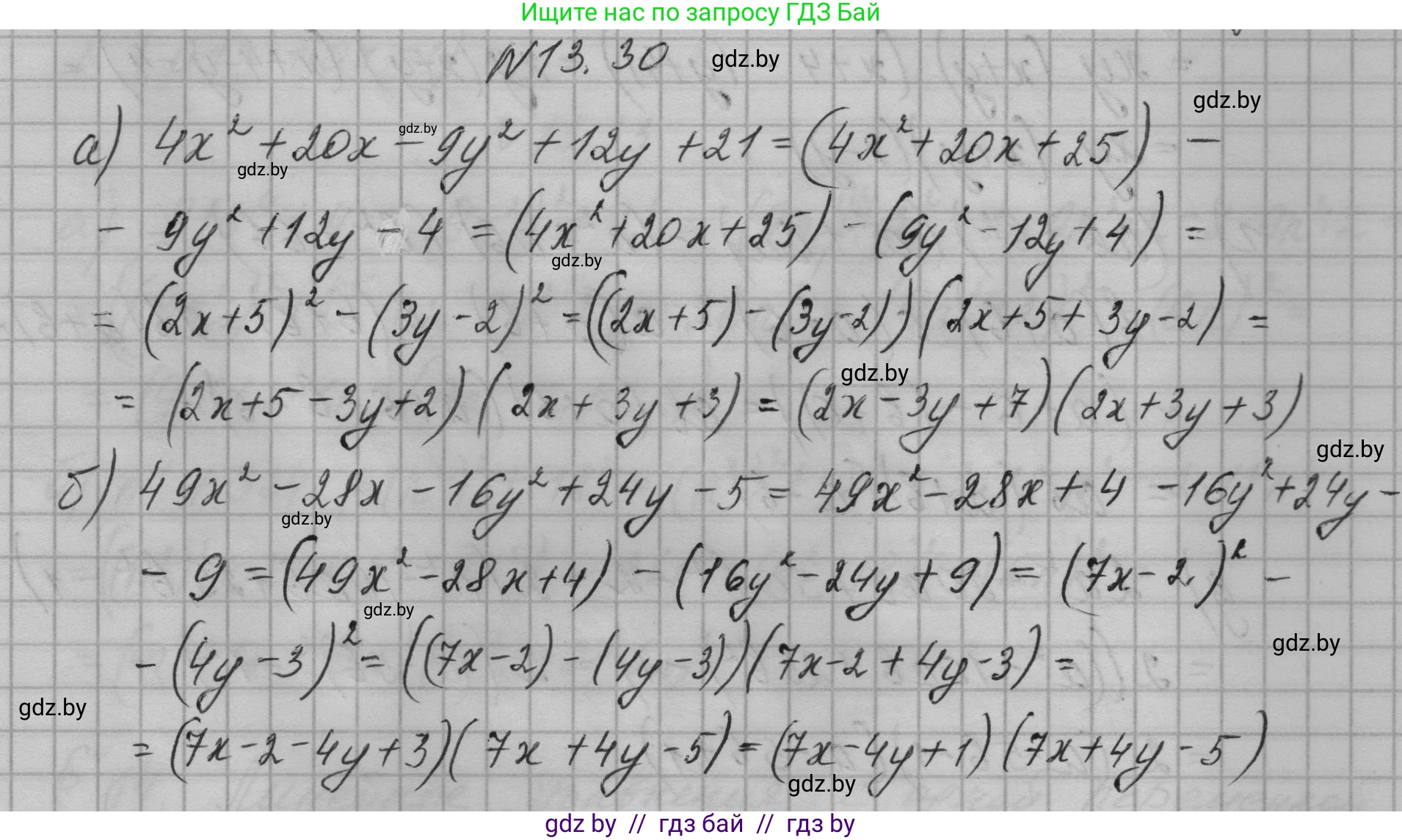
а) $4x^2 + 20x - 9y^2 + 12y + 21$
Для разложения многочлена на множители сгруппируем слагаемые, содержащие $x$, и слагаемые, содержащие $y$, чтобы выделить полные квадраты.
Слагаемые с $x$: $4x^2 + 20x$. Это похоже на первые два члена формулы квадрата суммы $(a+b)^2=a^2+2ab+b^2$. Здесь $a^2 = 4x^2 = (2x)^2$, значит $a=2x$. Тогда $2ab = 2 \cdot 2x \cdot b = 4xb$. Так как $4xb=20x$, то $b=5$. Для полного квадрата не хватает $b^2=5^2=25$.
Слагаемые с $y$: $-9y^2 + 12y$. Вынесем знак минус за скобки: $-(9y^2 - 12y)$. Выражение в скобках похоже на первые два члена формулы квадрата разности $(a-b)^2=a^2-2ab+b^2$. Здесь $a^2 = 9y^2 = (3y)^2$, значит $a=3y$. Тогда $2ab = 2 \cdot 3y \cdot b = 6yb$. Так как $6yb=12y$, то $b=2$. Для полного квадрата в скобках не хватает $b^2=2^2=4$.
Перегруппируем исходный многочлен, представив свободный член $21$ в виде $25 - 4$:
$4x^2 + 20x - 9y^2 + 12y + (25 - 4) = (4x^2 + 20x + 25) + (-9y^2 + 12y - 4)$
Вынесем минус из второй группы слагаемых:
$(4x^2 + 20x + 25) - (9y^2 - 12y + 4)$
Теперь свернем полные квадраты в каждой скобке:
$(2x+5)^2 - (3y-2)^2$
Мы получили разность квадратов. Применим формулу $A^2 - B^2 = (A-B)(A+B)$, где $A = 2x+5$ и $B = 3y-2$:
$((2x+5) - (3y-2))((2x+5) + (3y-2))$
Раскроем внутренние скобки и приведем подобные слагаемые:
$(2x+5-3y+2)(2x+5+3y-2) = (2x-3y+7)(2x+3y+3)$
Ответ: $(2x-3y+7)(2x+3y+3)$
б) $49x^2 - 28x - 16y^2 + 24y - 5$
Действуем аналогично предыдущему пункту, выделяя полные квадраты для переменных $x$ и $y$.
Слагаемые с $x$: $49x^2 - 28x = (7x)^2 - 2 \cdot 7x \cdot 2$. Для полного квадрата не хватает $2^2=4$.
Слагаемые с $y$: $-16y^2 + 24y = -(16y^2 - 24y) = -((4y)^2 - 2 \cdot 4y \cdot 3)$. Для полного квадрата внутри скобок не хватает $3^2=9$.
Представим свободный член $-5$ как разность $4 - 9$, чтобы можно было дополнить обе группы до полных квадратов.
$49x^2 - 28x - 16y^2 + 24y - 5 = (49x^2 - 28x + 4) + (-16y^2 + 24y - 9)$
Вынесем минус из второй группы слагаемых:
$(49x^2 - 28x + 4) - (16y^2 - 24y + 9)$
Свернем полные квадраты:
$(7x-2)^2 - (4y-3)^2$
Применим формулу разности квадратов $A^2 - B^2 = (A-B)(A+B)$, где $A = 7x-2$ и $B = 4y-3$:
$((7x-2) - (4y-3))((7x-2) + (4y-3))$
Раскроем внутренние скобки и приведем подобные слагаемые:
$(7x-2-4y+3)(7x-2+4y-3) = (7x-4y+1)(7x+4y-5)$
Ответ: $(7x-4y+1)(7x+4y-5)$
Другие задания:
Помогло решение? Оставьте отзыв в комментариях ниже.
Присоединяйтесь к Телеграм-группе @gdz_by_belarus
ПрисоединитьсяМы подготовили для вас ответ c подробным объяснением домашего задания по алгебре за 7-9 класс, для упражнения номер 13.30 расположенного на странице 60 к сборнику задач 2020 года издания для учащихся школ и гимназий.
Теперь на нашем сайте ГДЗ.ТОП вы всегда легко и бесплатно найдёте условие с правильным ответом на вопрос «Как решить ДЗ» и «Как сделать» задание по алгебре к упражнению №13.30 (с. 60), авторов: Арефьева (Ирина Глебовна), Пирютко (Ольга Николаевна), учебного пособия издательства Народная асвета.