Номер 13.27, страница 59 - гдз по алгебре 7-9 класс сборник задач Арефьева, Пирютко
Авторы: Арефьева И. Г., Пирютко О. Н.
Тип: Сборник задач
Издательство: Народная асвета
Год издания: 2020 - 2026
Цвет обложки: синий с графиками
Допущено Министерством образования Республики Беларусь
Популярные ГДЗ в 7 классе
7 класс. Параграф 13. Разложение многочлена на множители - номер 13.27, страница 59.
№13.27 (с. 59)
Условие. №13.27 (с. 59)
скриншот условия
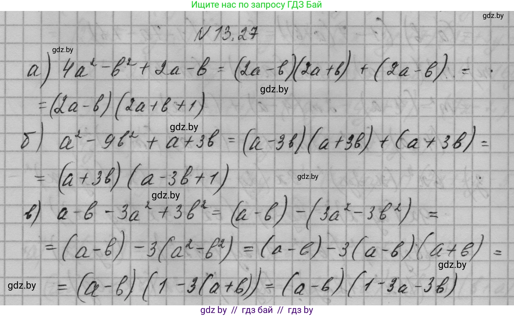
13.27. Разложите на множители многочлен:
а) $4a^2 - b^2 + 2a - b;$
б) $a^2 - 9b^2 + a + 3b;$
В) $a - b - 3a^2 + 3b^2;$
Г) $2x^2 - 2y^2 - x + y.$
Решение. №13.27 (с. 59)
Решение 2. №13.27 (с. 59)
а) $4a^2 - b^2 + 2a - b$
Для разложения многочлена на множители используем метод группировки. Сгруппируем первые два слагаемых и последние два слагаемых:
$(4a^2 - b^2) + (2a - b)$
Первая группа $4a^2 - b^2$ представляет собой разность квадратов, которую можно разложить по формуле $x^2 - y^2 = (x - y)(x + y)$:
$4a^2 - b^2 = (2a)^2 - b^2 = (2a - b)(2a + b)$
Теперь подставим это разложение обратно в выражение:
$(2a - b)(2a + b) + (2a - b)$
Мы видим, что у обоих слагаемых есть общий множитель $(2a - b)$. Вынесем его за скобки:
$(2a - b) \cdot ((2a + b) + 1)$
Раскроем внутренние скобки и получим окончательный результат:
$(2a - b)(2a + b + 1)$
Ответ: $(2a - b)(2a + b + 1)$.
б) $a^2 - 9b^2 + a + 3b$
Сгруппируем слагаемые: первые два и последние два.
$(a^2 - 9b^2) + (a + 3b)$
Выражение в первой скобке $a^2 - 9b^2$ — это разность квадратов. Разложим его по формуле:
$a^2 - 9b^2 = a^2 - (3b)^2 = (a - 3b)(a + 3b)$
Подставим разложение в наше выражение:
$(a - 3b)(a + 3b) + (a + 3b)$
Теперь вынесем общий множитель $(a + 3b)$ за скобки:
$(a + 3b) \cdot ((a - 3b) + 1)$
Упростим выражение во второй скобке:
$(a + 3b)(a - 3b + 1)$
Ответ: $(a + 3b)(a - 3b + 1)$.
в) $a - b - 3a^2 + 3b^2$
Сгруппируем слагаемые следующим образом:
$(a - b) + (-3a^2 + 3b^2)$
Из второй группы вынесем общий множитель $-3$:
$(a - b) - 3(a^2 - b^2)$
Выражение в скобках $a^2 - b^2$ является разностью квадратов, которую мы разложим:
$a^2 - b^2 = (a - b)(a + b)$
Подставим это в наше выражение:
$(a - b) - 3(a - b)(a + b)$
Теперь мы видим общий множитель $(a - b)$, который можно вынести за скобки:
$(a - b) \cdot (1 - 3(a + b))$
Раскроем скобки во втором множителе:
$(a - b)(1 - 3a - 3b)$
Ответ: $(a - b)(1 - 3a - 3b)$.
г) $2x^2 - 2y^2 - x + y$
Сгруппируем слагаемые:
$(2x^2 - 2y^2) + (-x + y)$
В первой группе вынесем за скобки множитель $2$, а во второй группе вынесем $-1$, чтобы получить общий множитель:
$2(x^2 - y^2) - (x - y)$
Применим формулу разности квадратов к выражению $x^2 - y^2$:
$x^2 - y^2 = (x - y)(x + y)$
Подставим разложение в наше выражение:
$2(x - y)(x + y) - (x - y)$
Вынесем общий множитель $(x - y)$ за скобки:
$(x - y) \cdot (2(x + y) - 1)$
Раскроем скобки во втором множителе:
$(x - y)(2x + 2y - 1)$
Ответ: $(x - y)(2x + 2y - 1)$.
Другие задания:
Помогло решение? Оставьте отзыв в комментариях ниже.
Присоединяйтесь к Телеграм-группе @gdz_by_belarus
ПрисоединитьсяМы подготовили для вас ответ c подробным объяснением домашего задания по алгебре за 7-9 класс, для упражнения номер 13.27 расположенного на странице 59 к сборнику задач 2020 года издания для учащихся школ и гимназий.
Теперь на нашем сайте ГДЗ.ТОП вы всегда легко и бесплатно найдёте условие с правильным ответом на вопрос «Как решить ДЗ» и «Как сделать» задание по алгебре к упражнению №13.27 (с. 59), авторов: Арефьева (Ирина Глебовна), Пирютко (Ольга Николаевна), учебного пособия издательства Народная асвета.