Номер 3, страница 248 - гдз по алгебре 11 класс учебник Арефьева, Пирютко

Алгебра, 11 класс Учебник, авторы: Арефьева Ирина Глебовна, Пирютко Ольга Николаевна, издательство Народная асвета, Минск, 2020, бирюзового цвета

Авторы: Арефьева И. Г., Пирютко О. Н.

Тип: Учебник

Издательство: Народная асвета

Год издания: 2020 - 2026

Цвет обложки: бирюзовый, зелёный с графиком

ISBN: 978-985-03-3165-6

Популярные ГДЗ в 11 классе

Тематические тесты. Тест 7. Применение свойств показательной функции. Показательные уравнения - номер 3, страница 248.

№3 (с. 248)
Условие. №3 (с. 248)
скриншот условия
Алгебра, 11 класс Учебник, авторы: Арефьева Ирина Глебовна, Пирютко Ольга Николаевна, издательство Народная асвета, Минск, 2020, бирюзового цвета, страница 248, номер 3, Условие

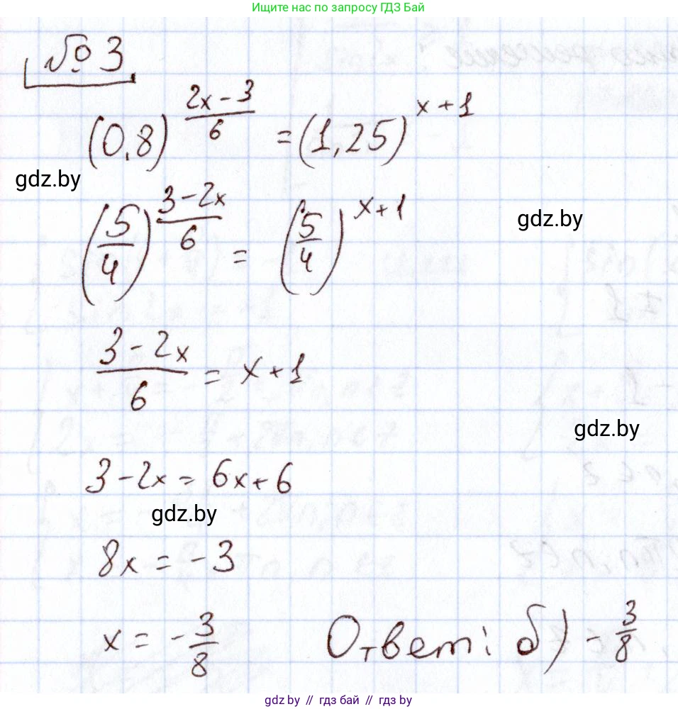
3. Решите уравнение $(0,8)^{\frac{2x-3}{6}} = (1,25)^{x+1}$.

а) $-2$;

б) $-\frac{3}{8}$;

в) $1,5$;

г) $\frac{3}{5}$;

д) $-1$.

Решение. №3 (с. 248)
Алгебра, 11 класс Учебник, авторы: Арефьева Ирина Глебовна, Пирютко Ольга Николаевна, издательство Народная асвета, Минск, 2020, бирюзового цвета, страница 248, номер 3, Решение
Решение 2. №3 (с. 248)

Для решения данного показательного уравнения необходимо привести обе его части к одному основанию.

Исходное уравнение: $$ (0,8)^{\frac{2x-3}{6}} = (1,25)^{x+1} $$

Шаг 1: Преобразуем десятичные дроби в обыкновенные. $$ 0,8 = \frac{8}{10} = \frac{4}{5} $$ $$ 1,25 = \frac{125}{100} = \frac{5}{4} $$

Подставим эти значения в уравнение: $$ \left(\frac{4}{5}\right)^{\frac{2x-3}{6}} = \left(\frac{5}{4}\right)^{x+1} $$

Шаг 2: Приведем основания степеней к одному числу. Заметим, что основания являются взаимно обратными числами: $$ \frac{5}{4} = \frac{1}{\frac{4}{5}} = \left(\frac{4}{5}\right)^{-1} $$

Теперь мы можем переписать правую часть уравнения, используя основание $\frac{4}{5}$: $$ \left(\frac{5}{4}\right)^{x+1} = \left(\left(\frac{4}{5}\right)^{-1}\right)^{x+1} = \left(\frac{4}{5}\right)^{-1 \cdot (x+1)} = \left(\frac{4}{5}\right)^{-x-1} $$

Шаг 3: Подставим полученное выражение обратно в уравнение. $$ \left(\frac{4}{5}\right)^{\frac{2x-3}{6}} = \left(\frac{4}{5}\right)^{-x-1} $$

Шаг 4: Поскольку основания степеней равны, мы можем приравнять их показатели. $$ \frac{2x-3}{6} = -x-1 $$

Шаг 5: Решим полученное линейное уравнение. Умножим обе части уравнения на 6, чтобы избавиться от знаменателя: $$ 2x-3 = 6(-x-1) $$ $$ 2x-3 = -6x-6 $$ Перенесем слагаемые с $x$ в левую часть, а числовые значения — в правую: $$ 2x + 6x = -6 + 3 $$ $$ 8x = -3 $$ $$ x = -\frac{3}{8} $$

Найденный корень $x = -\frac{3}{8}$ соответствует варианту ответа б).

Ответ: $x = -\frac{3}{8}$.

Помогло решение? Оставьте отзыв в комментариях ниже.

Присоединяйтесь к Телеграм-группе @gdz_by_belarus

Присоединиться

Мы подготовили для вас ответ c подробным объяснением домашего задания по алгебре за 11 класс, для упражнения номер 3 расположенного на странице 248 к учебнику 2020 года издания для учащихся школ и гимназий.

Теперь на нашем сайте ГДЗ.ТОП вы всегда легко и бесплатно найдёте условие с правильным ответом на вопрос «Как решить ДЗ» и «Как сделать» задание по алгебре к упражнению №3 (с. 248), авторов: Арефьева (Ирина Глебовна), Пирютко (Ольга Николаевна), учебного пособия издательства Народная асвета.