Номер 15, страница 247 - гдз по алгебре 11 класс учебник Арефьева, Пирютко

Алгебра, 11 класс Учебник, авторы: Арефьева Ирина Глебовна, Пирютко Ольга Николаевна, издательство Народная асвета, Минск, 2020, бирюзового цвета

Авторы: Арефьева И. Г., Пирютко О. Н.

Тип: Учебник

Издательство: Народная асвета

Год издания: 2020 - 2026

Цвет обложки: бирюзовый, зелёный с графиком

ISBN: 978-985-03-3165-6

Популярные ГДЗ в 11 классе

Тематические тесты. Тест 6. Тригонометрические уравнения - номер 15, страница 247.

№15 (с. 247)
Условие. №15 (с. 247)
скриншот условия
Алгебра, 11 класс Учебник, авторы: Арефьева Ирина Глебовна, Пирютко Ольга Николаевна, издательство Народная асвета, Минск, 2020, бирюзового цвета, страница 247, номер 15, Условие

15. Найдите (в градусах) наименьший положительный корень уравнения $2\cos^6\left(x - \frac{\pi}{6}\right) = 4 + \sin x + \sqrt{3}\cos x$.

Решение. №15 (с. 247)
Алгебра, 11 класс Учебник, авторы: Арефьева Ирина Глебовна, Пирютко Ольга Николаевна, издательство Народная асвета, Минск, 2020, бирюзового цвета, страница 247, номер 15, Решение
Решение 2. №15 (с. 247)

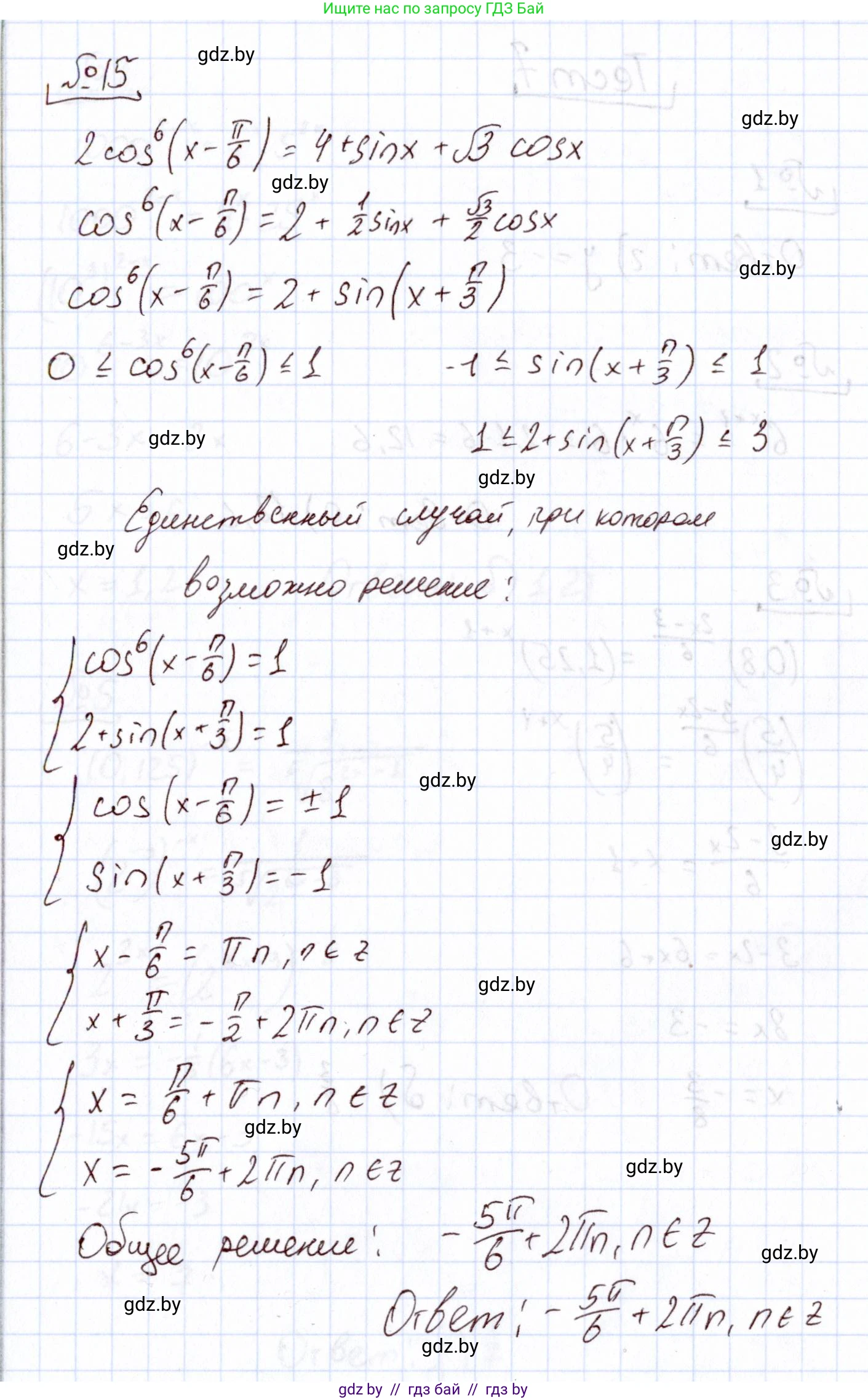
Дано уравнение: $2\cos^6(x - \frac{\pi}{6}) = 4 + \sin x + \sqrt{3}\cos x$.

Для его решения воспользуемся методом оценки, сравнив множества значений левой и правой частей.

Оценка левой части

Значения функции косинуса лежат в отрезке $[-1, 1]$, то есть $-1 \le \cos(x - \frac{\pi}{6}) \le 1$.

При возведении в четную, шестую степень, значения выражения $\cos^6(x - \frac{\pi}{6})$ будут находиться в отрезке $[0, 1]$.

Умножая на 2, получаем, что левая часть уравнения, $2\cos^6(x - \frac{\pi}{6})$, принимает значения из отрезка $[0, 2]$.

Оценка правой части

Преобразуем выражение $\sin x + \sqrt{3}\cos x$ с помощью метода введения вспомогательного угла.

$\sin x + \sqrt{3}\cos x = 2(\frac{1}{2}\sin x + \frac{\sqrt{3}}{2}\cos x) = 2(\cos\frac{\pi}{3}\sin x + \sin\frac{\pi}{3}\cos x) = 2\sin(x+\frac{\pi}{3})$.

Таким образом, правая часть уравнения принимает вид $4 + 2\sin(x+\frac{\pi}{3})$.

Поскольку $-1 \le \sin(x+\frac{\pi}{3}) \le 1$, то для выражения $2\sin(x+\frac{\pi}{3})$ диапазон значений будет $[-2, 2]$.

Прибавляя 4, получаем диапазон значений для всей правой части: $4-2 \le 4 + 2\sin(x+\frac{\pi}{3}) \le 4+2$, что дает отрезок $[2, 6]$.

Решение уравнения

Левая часть уравнения может принимать значения из отрезка $[0, 2]$, а правая — из отрезка $[2, 6]$. Равенство между ними возможно только в том случае, когда обе части равны 2. Это единственное общее значение для обоих диапазонов.

Следовательно, исходное уравнение равносильно системе:

$\begin{cases} 2\cos^6(x - \frac{\pi}{6}) = 2 \\ 4 + 2\sin(x+\frac{\pi}{3}) = 2 \end{cases}$

Решим каждое уравнение по отдельности.

1) Из первого уравнения: $\cos^6(x - \frac{\pi}{6}) = 1$, что равносильно $\cos(x - \frac{\pi}{6}) = \pm 1$. Решением этого уравнения является серия корней $x - \frac{\pi}{6} = k\pi$, где $k \in \mathbb{Z}$. Отсюда $x = \frac{\pi}{6} + k\pi$.

2) Из второго уравнения: $2\sin(x+\frac{\pi}{3}) = -2$, что равносильно $\sin(x+\frac{\pi}{3}) = -1$. Решением этого уравнения является серия корней $x + \frac{\pi}{3} = -\frac{\pi}{2} + 2n\pi$, где $n \in \mathbb{Z}$. Отсюда $x = -\frac{\pi}{2} - \frac{\pi}{3} + 2n\pi = -\frac{5\pi}{6} + 2n\pi$.

Нахождение наименьшего положительного корня

Корни исходного уравнения должны удовлетворять обеим найденным сериям. Общая серия решений имеет вид $x = -\frac{5\pi}{6} + 2n\pi$, где $n$ — любое целое число.

Теперь необходимо найти наименьший положительный корень ($x > 0$). Для этого будем подставлять различные целые значения $n$:

Если $n=0$, то $x = -\frac{5\pi}{6}$. Этот корень отрицательный.

Если $n=1$, то $x = -\frac{5\pi}{6} + 2\pi = \frac{-5\pi + 12\pi}{6} = \frac{7\pi}{6}$. Это положительный корень.

При $n \ge 2$ корни будут еще больше. Следовательно, наименьший положительный корень равен $\frac{7\pi}{6}$.

Перевод в градусы

Согласно условию, ответ необходимо представить в градусах. Переведем найденное значение из радиан в градусы, используя соотношение $\pi \text{ радиан} = 180^\circ$:

$x = \frac{7\pi}{6} = \frac{7 \cdot 180^\circ}{6} = 7 \cdot 30^\circ = 210^\circ$.

Ответ: $210^\circ$.

Помогло решение? Оставьте отзыв в комментариях ниже.

Присоединяйтесь к Телеграм-группе @gdz_by_belarus

Присоединиться

Мы подготовили для вас ответ c подробным объяснением домашего задания по алгебре за 11 класс, для упражнения номер 15 расположенного на странице 247 к учебнику 2020 года издания для учащихся школ и гимназий.

Теперь на нашем сайте ГДЗ.ТОП вы всегда легко и бесплатно найдёте условие с правильным ответом на вопрос «Как решить ДЗ» и «Как сделать» задание по алгебре к упражнению №15 (с. 247), авторов: Арефьева (Ирина Глебовна), Пирютко (Ольга Николаевна), учебного пособия издательства Народная асвета.