Номер 279, страница 201 - гдз по алгебре 11 класс учебник Арефьева, Пирютко

Алгебра, 11 класс Учебник, авторы: Арефьева Ирина Глебовна, Пирютко Ольга Николаевна, издательство Народная асвета, Минск, 2020, бирюзового цвета

Авторы: Арефьева И. Г., Пирютко О. Н.

Тип: Учебник

Издательство: Народная асвета

Год издания: 2020 - 2026

Цвет обложки: бирюзовый, зелёный с графиком

ISBN: 978-985-03-3165-6

Популярные ГДЗ в 11 классе

Упражнения для итогового повторения. Выражения и их преобразования - номер 279, страница 201.

№279 (с. 201)
Условие. №279 (с. 201)
скриншот условия
Алгебра, 11 класс Учебник, авторы: Арефьева Ирина Глебовна, Пирютко Ольга Николаевна, издательство Народная асвета, Минск, 2020, бирюзового цвета, страница 201, номер 279, Условие

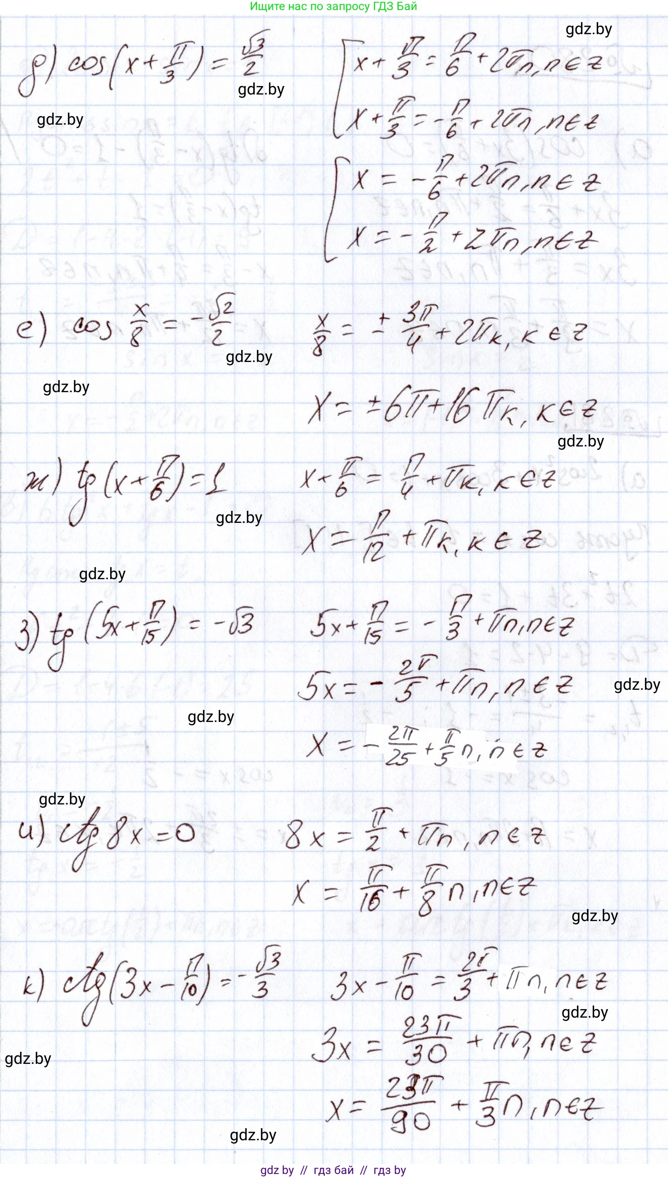
279. Решите простейшее тригонометрическое уравнение:

а) $sin x = \frac{\sqrt{2}}{2};$

б) $sin 3x = 0;$

в) $sin \frac{x}{4} = -\frac{1}{2};$

г) $cos 2x = 1;$

д) $cos \left(x + \frac{\pi}{3}\right) = \frac{\sqrt{3}}{2};$

е) $cos \frac{x}{8} = -\frac{\sqrt{2}}{2};$

ж) $tg \left(x + \frac{\pi}{6}\right) = 1;$

з) $tg \left(5x + \frac{\pi}{15}\right) = -\sqrt{3};$

и) $ctg 8x = 0;$

к) $ctg \left(3x - \frac{\pi}{10}\right) = -\frac{\sqrt{3}}{3}.$

Решение. №279 (с. 201)
Алгебра, 11 класс Учебник, авторы: Арефьева Ирина Глебовна, Пирютко Ольга Николаевна, издательство Народная асвета, Минск, 2020, бирюзового цвета, страница 201, номер 279, Решение Алгебра, 11 класс Учебник, авторы: Арефьева Ирина Глебовна, Пирютко Ольга Николаевна, издательство Народная асвета, Минск, 2020, бирюзового цвета, страница 201, номер 279, Решение (продолжение 2)
Решение 2. №279 (с. 201)

а) $ \sin x = \frac{\sqrt{2}}{2} $
Это простейшее тригонометрическое уравнение. Общее решение для уравнения $ \sin x = a $ дается формулой $ x = (-1)^k \arcsin(a) + \pi k $, где $ k \in \mathbb{Z} $.
В данном случае $ a = \frac{\sqrt{2}}{2} $, и $ \arcsin(\frac{\sqrt{2}}{2}) = \frac{\pi}{4} $.
Подставляя это значение в общую формулу, получаем решение:
$ x = (-1)^k \frac{\pi}{4} + \pi k, k \in \mathbb{Z} $.
Ответ: $ x = (-1)^k \frac{\pi}{4} + \pi k, k \in \mathbb{Z} $.

б) $ \sin 3x = 0 $
Это частный случай уравнения. Синус равен нулю, когда его аргумент кратен $ \pi $.
$ 3x = \pi k, k \in \mathbb{Z} $.
Разделив обе части на 3, находим $ x $:
$ x = \frac{\pi k}{3}, k \in \mathbb{Z} $.
Ответ: $ x = \frac{\pi k}{3}, k \in \mathbb{Z} $.

в) $ \sin \frac{x}{4} = -\frac{1}{2} $
Применяем общую формулу $ y = (-1)^k \arcsin(a) + \pi k $, где $ y = \frac{x}{4} $ и $ a = -\frac{1}{2} $.
$ \arcsin(-\frac{1}{2}) = -\frac{\pi}{6} $.
Следовательно, $ \frac{x}{4} = (-1)^k (-\frac{\pi}{6}) + \pi k = (-1)^{k+1} \frac{\pi}{6} + \pi k, k \in \mathbb{Z} $.
Умножаем обе части на 4, чтобы выразить $ x $:
$ x = 4 \left( (-1)^{k+1} \frac{\pi}{6} + \pi k \right) = (-1)^{k+1} \frac{2\pi}{3} + 4\pi k, k \in \mathbb{Z} $.
Ответ: $ x = (-1)^{k+1} \frac{2\pi}{3} + 4\pi k, k \in \mathbb{Z} $.

г) $ \cos 2x = 1 $
Это частный случай. Косинус равен единице, когда его аргумент кратен $ 2\pi $.
$ 2x = 2\pi k, k \in \mathbb{Z} $.
Разделив обе части на 2, получаем:
$ x = \pi k, k \in \mathbb{Z} $.
Ответ: $ x = \pi k, k \in \mathbb{Z} $.

д) $ \cos(x + \frac{\pi}{3}) = \frac{\sqrt{3}}{2} $
Общее решение для $ \cos y = a $ имеет вид $ y = \pm \arccos(a) + 2\pi k $, где $ k \in \mathbb{Z} $.
Здесь $ y = x + \frac{\pi}{3} $ и $ a = \frac{\sqrt{3}}{2} $. $ \arccos(\frac{\sqrt{3}}{2}) = \frac{\pi}{6} $.
$ x + \frac{\pi}{3} = \pm \frac{\pi}{6} + 2\pi k $.
Выражаем $ x $: $ x = -\frac{\pi}{3} \pm \frac{\pi}{6} + 2\pi k $.
Это дает две серии решений:
1) $ x_1 = -\frac{\pi}{3} + \frac{\pi}{6} + 2\pi k = -\frac{2\pi}{6} + \frac{\pi}{6} + 2\pi k = -\frac{\pi}{6} + 2\pi k $.
2) $ x_2 = -\frac{\pi}{3} - \frac{\pi}{6} + 2\pi k = -\frac{2\pi}{6} - \frac{\pi}{6} + 2\pi k = -\frac{3\pi}{6} + 2\pi k = -\frac{\pi}{2} + 2\pi k $.
Ответ: $ x = -\frac{\pi}{6} + 2\pi k, k \in \mathbb{Z} $ и $ x = -\frac{\pi}{2} + 2\pi k, k \in \mathbb{Z} $.

е) $ \cos \frac{x}{8} = -\frac{\sqrt{2}}{2} $
Используем общую формулу $ y = \pm \arccos(a) + 2\pi k $, где $ y = \frac{x}{8} $ и $ a = -\frac{\sqrt{2}}{2} $.
$ \arccos(-\frac{\sqrt{2}}{2}) = \frac{3\pi}{4} $.
$ \frac{x}{8} = \pm \frac{3\pi}{4} + 2\pi k, k \in \mathbb{Z} $.
Умножаем на 8, чтобы найти $ x $:
$ x = 8 \left( \pm \frac{3\pi}{4} + 2\pi k \right) = \pm 6\pi + 16\pi k, k \in \mathbb{Z} $.
Ответ: $ x = \pm 6\pi + 16\pi k, k \in \mathbb{Z} $.

ж) $ \text{tg}(x + \frac{\pi}{6}) = 1 $
Общее решение для $ \text{tg} y = a $ дается формулой $ y = \text{arctg}(a) + \pi k, k \in \mathbb{Z} $.
Здесь $ y = x + \frac{\pi}{6} $ и $ a = 1 $. $ \text{arctg}(1) = \frac{\pi}{4} $.
$ x + \frac{\pi}{6} = \frac{\pi}{4} + \pi k $.
Выражаем $ x $: $ x = \frac{\pi}{4} - \frac{\pi}{6} + \pi k = \frac{3\pi - 2\pi}{12} + \pi k = \frac{\pi}{12} + \pi k, k \in \mathbb{Z} $.
Ответ: $ x = \frac{\pi}{12} + \pi k, k \in \mathbb{Z} $.

з) $ \text{tg}(5x + \frac{\pi}{15}) = -\sqrt{3} $
Используем общую формулу $ y = \text{arctg}(a) + \pi k $, где $ y = 5x + \frac{\pi}{15} $ и $ a = -\sqrt{3} $.
$ \text{arctg}(-\sqrt{3}) = -\frac{\pi}{3} $.
$ 5x + \frac{\pi}{15} = -\frac{\pi}{3} + \pi k $.
$ 5x = -\frac{\pi}{3} - \frac{\pi}{15} + \pi k = -\frac{5\pi + \pi}{15} + \pi k = -\frac{6\pi}{15} + \pi k = -\frac{2\pi}{5} + \pi k $.
Делим обе части на 5: $ x = \frac{1}{5}(-\frac{2\pi}{5} + \pi k) = -\frac{2\pi}{25} + \frac{\pi k}{5}, k \in \mathbb{Z} $.
Ответ: $ x = -\frac{2\pi}{25} + \frac{\pi k}{5}, k \in \mathbb{Z} $.

и) $ \text{ctg} 8x = 0 $
Это частный случай. Котангенс равен нулю, когда его аргумент равен $ \frac{\pi}{2} + \pi k $.
$ 8x = \frac{\pi}{2} + \pi k, k \in \mathbb{Z} $.
Делим на 8: $ x = \frac{\pi}{16} + \frac{\pi k}{8}, k \in \mathbb{Z} $.
Ответ: $ x = \frac{\pi}{16} + \frac{\pi k}{8}, k \in \mathbb{Z} $.

к) $ \text{ctg}(3x - \frac{\pi}{10}) = -\frac{\sqrt{3}}{3} $
Общее решение для $ \text{ctg} y = a $ имеет вид $ y = \text{arcctg}(a) + \pi k, k \in \mathbb{Z} $.
Здесь $ y = 3x - \frac{\pi}{10} $ и $ a = -\frac{\sqrt{3}}{3} $. $ \text{arcctg}(-\frac{\sqrt{3}}{3}) = \frac{2\pi}{3} $.
$ 3x - \frac{\pi}{10} = \frac{2\pi}{3} + \pi k $.
$ 3x = \frac{2\pi}{3} + \frac{\pi}{10} + \pi k = \frac{20\pi + 3\pi}{30} + \pi k = \frac{23\pi}{30} + \pi k $.
Делим на 3: $ x = \frac{1}{3} (\frac{23\pi}{30} + \pi k) = \frac{23\pi}{90} + \frac{\pi k}{3}, k \in \mathbb{Z} $.
Ответ: $ x = \frac{23\pi}{90} + \frac{\pi k}{3}, k \in \mathbb{Z} $.

Помогло решение? Оставьте отзыв в комментариях ниже.

Присоединяйтесь к Телеграм-группе @gdz_by_belarus

Присоединиться

Мы подготовили для вас ответ c подробным объяснением домашего задания по алгебре за 11 класс, для упражнения номер 279 расположенного на странице 201 к учебнику 2020 года издания для учащихся школ и гимназий.

Теперь на нашем сайте ГДЗ.ТОП вы всегда легко и бесплатно найдёте условие с правильным ответом на вопрос «Как решить ДЗ» и «Как сделать» задание по алгебре к упражнению №279 (с. 201), авторов: Арефьева (Ирина Глебовна), Пирютко (Ольга Николаевна), учебного пособия издательства Народная асвета.