Номер 278, страница 201 - гдз по алгебре 11 класс учебник Арефьева, Пирютко

Алгебра, 11 класс Учебник, авторы: Арефьева Ирина Глебовна, Пирютко Ольга Николаевна, издательство Народная асвета, Минск, 2020, бирюзового цвета

Авторы: Арефьева И. Г., Пирютко О. Н.

Тип: Учебник

Издательство: Народная асвета

Год издания: 2020 - 2026

Цвет обложки: бирюзовый, зелёный с графиком

ISBN: 978-985-03-3165-6

Популярные ГДЗ в 11 классе

Упражнения для итогового повторения. Выражения и их преобразования - номер 278, страница 201.

№278 (с. 201)
Условие. №278 (с. 201)
скриншот условия
Алгебра, 11 класс Учебник, авторы: Арефьева Ирина Глебовна, Пирютко Ольга Николаевна, издательство Народная асвета, Минск, 2020, бирюзового цвета, страница 201, номер 278, Условие

278. Решите неравенство методом интервалов:

a) $ \frac{x+5}{x-7} \le 0; $

б) $ \frac{(x+3)(x-7)}{x+9} > 0; $

в) $ \frac{x^2-x-2}{x+7} \ge 0; $

г) $ \frac{(x-1)^2(x+2)}{x-6} < 0; $

д) $ \frac{x+2}{3-x} > 2; $

е) $ \frac{2x^2+16x-3}{x^2+8x} \le 2. $

Решение. №278 (с. 201)
Алгебра, 11 класс Учебник, авторы: Арефьева Ирина Глебовна, Пирютко Ольга Николаевна, издательство Народная асвета, Минск, 2020, бирюзового цвета, страница 201, номер 278, Решение Алгебра, 11 класс Учебник, авторы: Арефьева Ирина Глебовна, Пирютко Ольга Николаевна, издательство Народная асвета, Минск, 2020, бирюзового цвета, страница 201, номер 278, Решение (продолжение 2)
Решение 2. №278 (с. 201)

а) Решим неравенство $\frac{x+5}{x-7} \le 0$.

1. Найдем нули числителя и знаменателя.
Нуль числителя: $x+5 = 0 \implies x = -5$. Так как неравенство нестрогое ($\le$), эта точка включается в решение.
Нуль знаменателя: $x-7 = 0 \implies x = 7$. Знаменатель не может быть равен нулю, поэтому эта точка исключается из решения (выколотая точка).

2. Отметим эти точки на числовой прямой и определим знаки выражения на получившихся интервалах.
Точки -5 и 7 делят прямую на три интервала: $(-\infty, -5]$, $[-5, 7)$ и $(7, +\infty)$.

Числовая прямая для неравенства а)

- Для $x > 7$ (например, $x=8$): $\frac{8+5}{8-7} > 0$. Знак `+`.
- Для $-5 < x < 7$ (например, $x=0$): $\frac{0+5}{0-7} < 0$. Знак `-`.
- Для $x < -5$ (например, $x=-6$): $\frac{-6+5}{-6-7} > 0$. Знак `+`.

3. Выберем интервал, удовлетворяющий условию $\le 0$. Это интервал, где выражение отрицательно, включая точку, где оно равно нулю.
Решением является интервал $[-5, 7)$.

Ответ: $x \in [-5, 7)$.


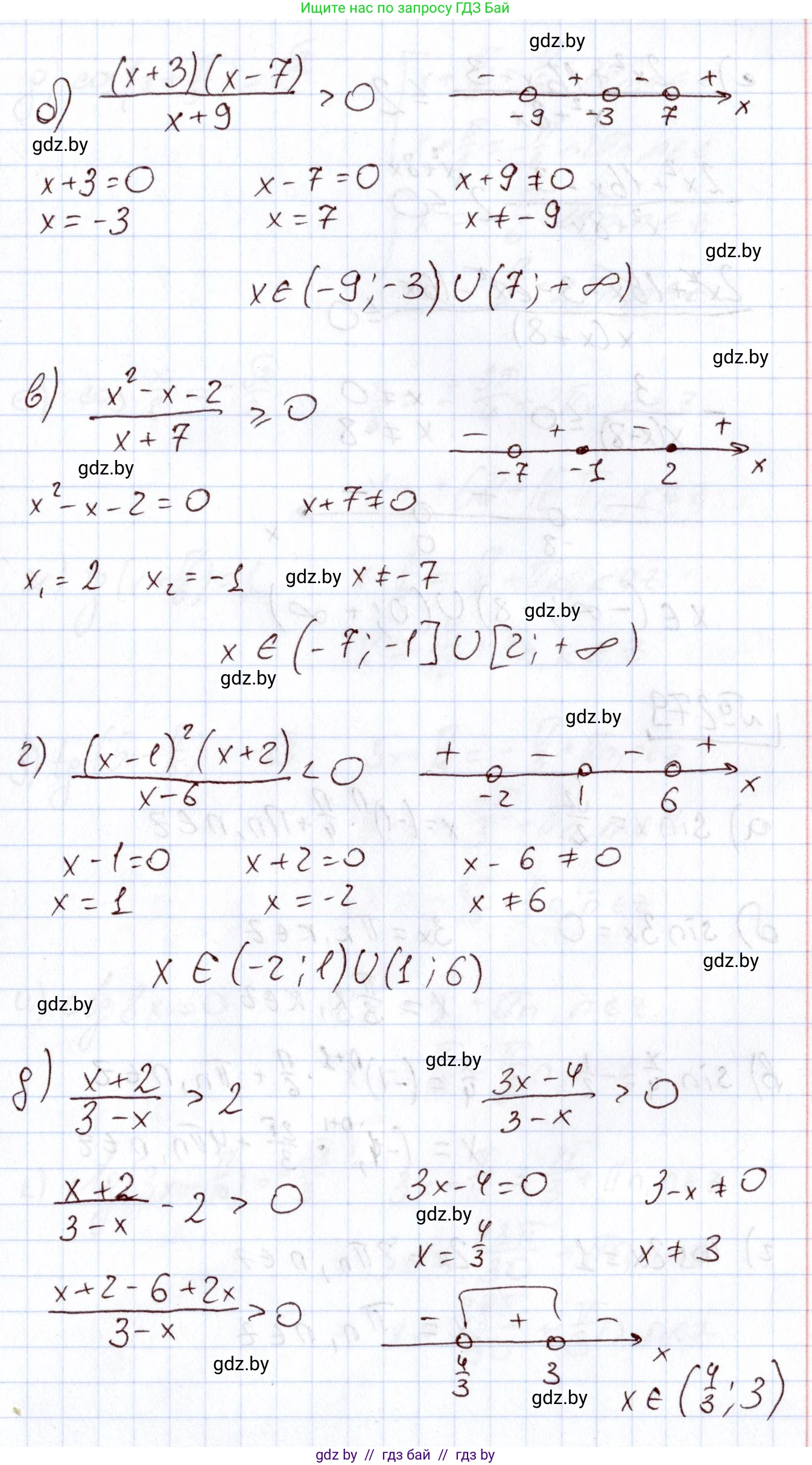
б) Решим неравенство $\frac{(x+3)(x-7)}{x+9} > 0$.

1. Найдем нули числителя и знаменателя.
Нули числителя: $(x+3)(x-7) = 0 \implies x = -3$ или $x = 7$.
Нуль знаменателя: $x+9 = 0 \implies x = -9$.
Так как неравенство строгое ($>$), все точки исключаются из решения (выколотые точки).

2. Отметим точки -9, -3, 7 на числовой прямой и определим знаки.

Числовая прямая для неравенства б)

- Для $x > 7$ (например, $x=10$): $\frac{(+)(+)}{(+)} > 0$. Знак `+`.
- Для $-3 < x < 7$ (например, $x=0$): $\frac{(+)(-)}{(+)} < 0$. Знак `-`.
- Для $-9 < x < -3$ (например, $x=-5$): $\frac{(-)(-)}{(+)} > 0$. Знак `+`.
- Для $x < -9$ (например, $x=-10$): $\frac{(-)(-)}{(-)} < 0$. Знак `-`.

3. Выберем интервалы, удовлетворяющие условию $> 0$.
Решением является объединение интервалов $(-9, -3)$ и $(7, +\infty)$.

Ответ: $x \in (-9, -3) \cup (7, +\infty)$.


в) Решим неравенство $\frac{x^2-x-2}{x+7} \ge 0$.

1. Разложим числитель на множители. Найдем корни уравнения $x^2-x-2=0$. По теореме Виета, корни $x_1 = 2$ и $x_2 = -1$.
Неравенство принимает вид: $\frac{(x-2)(x+1)}{x+7} \ge 0$.

2. Найдем нули числителя и знаменателя.
Нули числителя: $x=2$ и $x=-1$. Точки включаются в решение.
Нуль знаменателя: $x=-7$. Точка исключается.

3. Отметим точки -7, -1, 2 на числовой прямой и определим знаки.

Числовая прямая для неравенства в)

- Для $x > 2$ (например, $x=3$): $\frac{(+)(+)}{(+)} > 0$. Знак `+`.
- Для $-1 < x < 2$ (например, $x=0$): $\frac{(-)(+)}{(+)} < 0$. Знак `-`.
- Для $-7 < x < -1$ (например, $x=-2$): $\frac{(-)(-)}{(+)} > 0$. Знак `+`.
- Для $x < -7$ (например, $x=-8$): $\frac{(-)(-)}{(-)} < 0$. Знак `-`.

4. Выберем интервалы, удовлетворяющие условию $\ge 0$.
Решением является $(-7, -1] \cup [2, +\infty)$.

Ответ: $x \in (-7, -1] \cup [2, +\infty)$.


г) Решим неравенство $\frac{(x-1)^2(x+2)}{x-6} < 0$.

1. Найдем нули числителя и знаменателя.
Нули числителя: $x=1$ (корень кратности 2) и $x=-2$.
Нуль знаменателя: $x=6$.
Неравенство строгое ($<$), поэтому все точки выколотые.

2. Отметим точки -2, 1, 6 на числовой прямой. При переходе через точку $x=1$ знак выражения не меняется, так как множитель $(x-1)^2$ всегда неотрицателен.

Числовая прямая для неравенства г)

- Для $x > 6$ (например, $x=7$): $\frac{(+)(+)}{(+)} > 0$. Знак `+`.
- Для $1 < x < 6$ (например, $x=2$): $\frac{(+)(+)}{(-)} < 0$. Знак `-`.
- Для $-2 < x < 1$ (например, $x=0$): $\frac{(+)(+)}{(-)} < 0$. Знак `-`.
- Для $x < -2$ (например, $x=-3$): $\frac{(+)(-)}{(-)} > 0$. Знак `+`.

3. Выберем интервалы, где выражение строго меньше нуля. Это $(-2, 1)$ и $(1, 6)$. Точка $x=1$ не входит в решение, так как в ней выражение равно нулю.

Ответ: $x \in (-2, 1) \cup (1, 6)$.


д) Решим неравенство $\frac{x+2}{3-x} > 2$.

1. Перенесем 2 в левую часть и приведем к общему знаменателю.
$\frac{x+2}{3-x} - 2 > 0$
$\frac{x+2 - 2(3-x)}{3-x} > 0$
$\frac{x+2 - 6 + 2x}{3-x} > 0$
$\frac{3x - 4}{3-x} > 0$

2. Умножим обе части на -1, чтобы в знаменателе коэффициент при $x$ был положительным, и сменим знак неравенства.
$\frac{3x - 4}{-(x-3)} > 0 \implies \frac{3x - 4}{x-3} < 0$.

3. Найдем нули числителя и знаменателя.
Нуль числителя: $3x-4 = 0 \implies x = \frac{4}{3}$.
Нуль знаменателя: $x-3 = 0 \implies x = 3$.
Обе точки выколотые, так как неравенство строгое.

4. Отметим точки $\frac{4}{3}$ и 3 на числовой прямой и определим знаки.

Числовая прямая для неравенства д)

- Для $x > 3$: знак `+`.
- Для $\frac{4}{3} < x < 3$: знак `-`.
- Для $x < \frac{4}{3}$: знак `+`.

5. Выберем интервал, удовлетворяющий условию $< 0$.

Ответ: $x \in (\frac{4}{3}, 3)$.


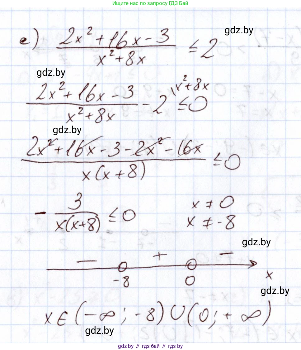
е) Решим неравенство $\frac{2x^2+16x-3}{x^2+8x} \le 2$.

1. Область допустимых значений (ОДЗ): знаменатель не равен нулю.
$x^2+8x \ne 0 \implies x(x+8) \ne 0 \implies x \ne 0$ и $x \ne -8$.

2. Перенесем 2 в левую часть и приведем к общему знаменателю.
$\frac{2x^2+16x-3}{x^2+8x} - 2 \le 0$
$\frac{2x^2+16x-3 - 2(x^2+8x)}{x^2+8x} \le 0$
$\frac{2x^2+16x-3 - 2x^2 - 16x}{x^2+8x} \le 0$
$\frac{-3}{x^2+8x} \le 0$

3. Умножим обе части на -1 и сменим знак неравенства.
$\frac{3}{x^2+8x} \ge 0$

4. Так как числитель (3) - положительное число, для выполнения неравенства знаменатель также должен быть положительным (он не может быть равен нулю).
$x^2+8x > 0$

5. Решим квадратное неравенство $x(x+8) > 0$.
Корни уравнения $x(x+8)=0$ равны $x=0$ и $x=-8$.
График функции $y = x^2+8x$ - парабола с ветвями вверх. Значения функции положительны вне интервала между корнями.

Числовая прямая для неравенства е)

Решением неравенства $x(x+8) > 0$ является объединение интервалов $(-\infty, -8)$ и $(0, +\infty)$. Это решение удовлетворяет ОДЗ.

Ответ: $x \in (-\infty, -8) \cup (0, +\infty)$.

Помогло решение? Оставьте отзыв в комментариях ниже.

Присоединяйтесь к Телеграм-группе @gdz_by_belarus

Присоединиться

Мы подготовили для вас ответ c подробным объяснением домашего задания по алгебре за 11 класс, для упражнения номер 278 расположенного на странице 201 к учебнику 2020 года издания для учащихся школ и гимназий.

Теперь на нашем сайте ГДЗ.ТОП вы всегда легко и бесплатно найдёте условие с правильным ответом на вопрос «Как решить ДЗ» и «Как сделать» задание по алгебре к упражнению №278 (с. 201), авторов: Арефьева (Ирина Глебовна), Пирютко (Ольга Николаевна), учебного пособия издательства Народная асвета.