Номер 19, страница 167 - гдз по алгебре 11 класс учебник Арефьева, Пирютко

Алгебра, 11 класс Учебник, авторы: Арефьева Ирина Глебовна, Пирютко Ольга Николаевна, издательство Народная асвета, Минск, 2020, бирюзового цвета

Авторы: Арефьева И. Г., Пирютко О. Н.

Тип: Учебник

Издательство: Народная асвета

Год издания: 2020 - 2026

Цвет обложки: бирюзовый, зелёный с графиком

ISBN: 978-985-03-3165-6

Популярные ГДЗ в 11 классе

Упражнения для итогового повторения. Числа и вычисления - номер 19, страница 167.

№19 (с. 167)
Условие. №19 (с. 167)
скриншот условия
Алгебра, 11 класс Учебник, авторы: Арефьева Ирина Глебовна, Пирютко Ольга Николаевна, издательство Народная асвета, Минск, 2020, бирюзового цвета, страница 167, номер 19, Условие

19. С помощью формул двойного угла вычислите:

а) $ \cos^2 \frac{\pi}{8} - \sin^2 \frac{\pi}{8}; $

б) $ \sin^2 75^\circ - \cos^2 75^\circ; $

в) $ 4\sin \frac{\pi}{12} \cos \frac{\pi}{12}; $

г) $ \sin 22,5^\circ \cos 22,5^\circ; $

д) $ \frac{2\mathrm{tg} \frac{\pi}{8}}{1 - \mathrm{tg}^2 \frac{\pi}{8}}; $

е) $ \frac{\mathrm{tg} 67,5^\circ}{1 - \mathrm{tg}^2 67,5^\circ}. $

Решение. №19 (с. 167)
Алгебра, 11 класс Учебник, авторы: Арефьева Ирина Глебовна, Пирютко Ольга Николаевна, издательство Народная асвета, Минск, 2020, бирюзового цвета, страница 167, номер 19, Решение
Решение 2. №19 (с. 167)

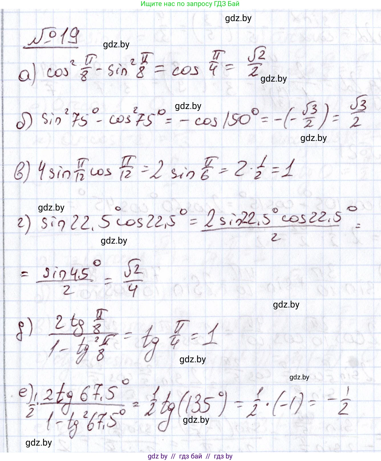
а) $cos^2\frac{\pi}{8} - sin^2\frac{\pi}{8}$

Для решения воспользуемся формулой косинуса двойного угла: $cos(2\alpha) = cos^2\alpha - sin^2\alpha$.

В данном выражении $\alpha = \frac{\pi}{8}$.

Следовательно, $cos^2\frac{\pi}{8} - sin^2\frac{\pi}{8} = cos(2 \cdot \frac{\pi}{8}) = cos(\frac{\pi}{4})$.

Значение косинуса для угла $\frac{\pi}{4}$ является табличным: $cos(\frac{\pi}{4}) = \frac{\sqrt{2}}{2}$.

Ответ: $\frac{\sqrt{2}}{2}$.

б) $sin^2 75^\circ - cos^2 75^\circ$

Вынесем минус за скобки, чтобы привести выражение к формуле косинуса двойного угла $cos(2\alpha) = cos^2\alpha - sin^2\alpha$.

$sin^2 75^\circ - cos^2 75^\circ = -(cos^2 75^\circ - sin^2 75^\circ)$.

В данном выражении $\alpha = 75^\circ$.

Применяя формулу, получаем: $-(cos(2 \cdot 75^\circ)) = -cos(150^\circ)$.

Используем формулу приведения: $cos(150^\circ) = cos(180^\circ - 30^\circ) = -cos(30^\circ) = -\frac{\sqrt{3}}{2}$.

Тогда, $-cos(150^\circ) = -(-\frac{\sqrt{3}}{2}) = \frac{\sqrt{3}}{2}$.

Ответ: $\frac{\sqrt{3}}{2}$.

в) $4sin\frac{\pi}{12}cos\frac{\pi}{12}$

Воспользуемся формулой синуса двойного угла: $sin(2\alpha) = 2sin\alpha cos\alpha$.

Представим выражение в виде: $4sin\frac{\pi}{12}cos\frac{\pi}{12} = 2 \cdot (2sin\frac{\pi}{12}cos\frac{\pi}{12})$.

В данном выражении $\alpha = \frac{\pi}{12}$.

Выражение в скобках равно $sin(2 \cdot \frac{\pi}{12}) = sin(\frac{\pi}{6})$.

Таким образом, исходное выражение равно $2 \cdot sin(\frac{\pi}{6})$.

Значение синуса для угла $\frac{\pi}{6}$ является табличным: $sin(\frac{\pi}{6}) = \frac{1}{2}$.

Итоговый результат: $2 \cdot \frac{1}{2} = 1$.

Ответ: $1$.

г) $sin22,5^\circ cos22,5^\circ$

Используем формулу синуса двойного угла $sin(2\alpha) = 2sin\alpha cos\alpha$, из которой следует, что $sin\alpha cos\alpha = \frac{1}{2}sin(2\alpha)$.

В данном выражении $\alpha = 22,5^\circ$.

Применяя формулу, получаем: $sin22,5^\circ cos22,5^\circ = \frac{1}{2}sin(2 \cdot 22,5^\circ) = \frac{1}{2}sin(45^\circ)$.

Значение синуса для угла $45^\circ$ является табличным: $sin(45^\circ) = \frac{\sqrt{2}}{2}$.

Итоговый результат: $\frac{1}{2} \cdot \frac{\sqrt{2}}{2} = \frac{\sqrt{2}}{4}$.

Ответ: $\frac{\sqrt{2}}{4}$.

д) $\frac{2\text{tg}\frac{\pi}{8}}{1 - \text{tg}^2\frac{\pi}{8}}$

Данное выражение соответствует формуле тангенса двойного угла: $tg(2\alpha) = \frac{2\text{tg}\alpha}{1 - \text{tg}^2\alpha}$.

В данном выражении $\alpha = \frac{\pi}{8}$.

Следовательно, $\frac{2\text{tg}\frac{\pi}{8}}{1 - \text{tg}^2\frac{\pi}{8}} = tg(2 \cdot \frac{\pi}{8}) = tg(\frac{\pi}{4})$.

Значение тангенса для угла $\frac{\pi}{4}$ является табличным: $tg(\frac{\pi}{4}) = 1$.

Ответ: $1$.

е) $\frac{\text{tg}67,5^\circ}{1 - \text{tg}^2 67,5^\circ}$

Воспользуемся формулой тангенса двойного угла $tg(2\alpha) = \frac{2\text{tg}\alpha}{1 - \text{tg}^2\alpha}$.

Из этой формулы следует, что $\frac{\text{tg}\alpha}{1 - \text{tg}^2\alpha} = \frac{1}{2}tg(2\alpha)$.

В данном выражении $\alpha = 67,5^\circ$.

Применяя формулу, получаем: $\frac{\text{tg}67,5^\circ}{1 - \text{tg}^2 67,5^\circ} = \frac{1}{2}tg(2 \cdot 67,5^\circ) = \frac{1}{2}tg(135^\circ)$.

Используем формулу приведения: $tg(135^\circ) = tg(180^\circ - 45^\circ) = -tg(45^\circ) = -1$.

Итоговый результат: $\frac{1}{2} \cdot (-1) = -\frac{1}{2}$.

Ответ: $-\frac{1}{2}$.

Помогло решение? Оставьте отзыв в комментариях ниже.

Присоединяйтесь к Телеграм-группе @gdz_by_belarus

Присоединиться

Мы подготовили для вас ответ c подробным объяснением домашего задания по алгебре за 11 класс, для упражнения номер 19 расположенного на странице 167 к учебнику 2020 года издания для учащихся школ и гимназий.

Теперь на нашем сайте ГДЗ.ТОП вы всегда легко и бесплатно найдёте условие с правильным ответом на вопрос «Как решить ДЗ» и «Как сделать» задание по алгебре к упражнению №19 (с. 167), авторов: Арефьева (Ирина Глебовна), Пирютко (Ольга Николаевна), учебного пособия издательства Народная асвета.