Номер 18, страница 167 - гдз по алгебре 11 класс учебник Арефьева, Пирютко

Алгебра, 11 класс Учебник, авторы: Арефьева Ирина Глебовна, Пирютко Ольга Николаевна, издательство Народная асвета, Минск, 2020, бирюзового цвета

Авторы: Арефьева И. Г., Пирютко О. Н.

Тип: Учебник

Издательство: Народная асвета

Год издания: 2020 - 2026

Цвет обложки: бирюзовый, зелёный с графиком

ISBN: 978-985-03-3165-6

Популярные ГДЗ в 11 классе

Упражнения для итогового повторения. Числа и вычисления - номер 18, страница 167.

№18 (с. 167)
Условие. №18 (с. 167)
скриншот условия
Алгебра, 11 класс Учебник, авторы: Арефьева Ирина Глебовна, Пирютко Ольга Николаевна, издательство Народная асвета, Минск, 2020, бирюзового цвета, страница 167, номер 18, Условие

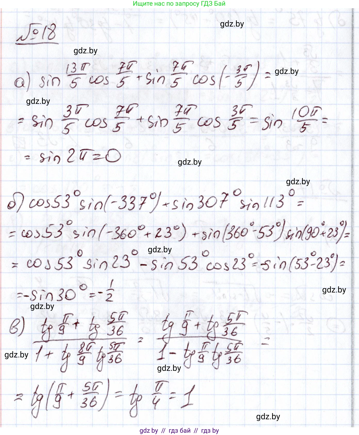
18. Вычислите:

a) $ \sin\frac{13\pi}{5}\cos\frac{7\pi}{5} + \sin\frac{7\pi}{5}\cos\left(-\frac{3\pi}{5}\right); $

б) $ \cos53^\circ\sin(-337^\circ) + \sin307^\circ\sin113^\circ; $

B) $ \frac{\operatorname{tg}\frac{\pi}{9} + \operatorname{tg}\frac{5\pi}{36}}{1 + \operatorname{tg}\frac{8\pi}{9}\operatorname{tg}\frac{5\pi}{36}}; $

Г) $ \frac{1 - \operatorname{tg}192^\circ\operatorname{ctg}237^\circ}{\operatorname{ctg}78^\circ - \operatorname{ctg}303^\circ}. $

Решение. №18 (с. 167)
Алгебра, 11 класс Учебник, авторы: Арефьева Ирина Глебовна, Пирютко Ольга Николаевна, издательство Народная асвета, Минск, 2020, бирюзового цвета, страница 167, номер 18, Решение Алгебра, 11 класс Учебник, авторы: Арефьева Ирина Глебовна, Пирютко Ольга Николаевна, издательство Народная асвета, Минск, 2020, бирюзового цвета, страница 167, номер 18, Решение (продолжение 2)
Решение 2. №18 (с. 167)

а)

Данное выражение: $\sin\frac{13\pi}{5}\cos\frac{7\pi}{5} + \sin\frac{7\pi}{5}\cos(-\frac{3\pi}{5})$.
Воспользуемся свойством четности косинуса: $\cos(-x) = \cos(x)$.
Тогда $\cos(-\frac{3\pi}{5}) = \cos(\frac{3\pi}{5})$.
Выражение принимает вид: $\sin\frac{13\pi}{5}\cos\frac{7\pi}{5} + \sin\frac{7\pi}{5}\cos\frac{3\pi}{5}$.
Упростим аргумент первого синуса, используя периодичность функции синус (период $2\pi$):
$\sin\frac{13\pi}{5} = \sin(\frac{10\pi + 3\pi}{5}) = \sin(2\pi + \frac{3\pi}{5}) = \sin\frac{3\pi}{5}$.
Подставим упрощенное значение в выражение:
$\sin\frac{3\pi}{5}\cos\frac{7\pi}{5} + \sin\frac{7\pi}{5}\cos\frac{3\pi}{5}$.
Это выражение соответствует формуле синуса суммы двух углов: $\sin(\alpha + \beta) = \sin\alpha\cos\beta + \cos\alpha\sin\beta$.
В нашем случае $\alpha = \frac{3\pi}{5}$ и $\beta = \frac{7\pi}{5}$.
Следовательно, выражение равно:
$\sin(\frac{3\pi}{5} + \frac{7\pi}{5}) = \sin(\frac{10\pi}{5}) = \sin(2\pi)$.
Значение синуса от $2\pi$ равно 0.

Ответ: $0$

б)

Данное выражение: $\cos53^\circ\sin(-337^\circ) + \sin307^\circ\sin113^\circ$.
Используем формулы приведения для упрощения тригонометрических функций.
1. Синус — нечетная функция, поэтому $\sin(-337^\circ) = -\sin(337^\circ)$.
$\sin(337^\circ) = \sin(360^\circ - 23^\circ) = -\sin(23^\circ)$.
Следовательно, $\sin(-337^\circ) = -(-\sin(23^\circ)) = \sin(23^\circ)$.
2. $\sin(307^\circ) = \sin(360^\circ - 53^\circ) = -\sin(53^\circ)$.
3. $\sin(113^\circ) = \sin(90^\circ + 23^\circ) = \cos(23^\circ)$.
Подставляем упрощенные значения в исходное выражение:
$\cos53^\circ\sin(23^\circ) + (-\sin53^\circ)\cos(23^\circ) = \sin23^\circ\cos53^\circ - \cos23^\circ\sin53^\circ$.
Это выражение соответствует формуле синуса разности двух углов: $\sin(\alpha - \beta) = \sin\alpha\cos\beta - \cos\alpha\sin\beta$.
В нашем случае $\alpha = 23^\circ$ и $\beta = 53^\circ$.
Выражение равно:
$\sin(23^\circ - 53^\circ) = \sin(-30^\circ)$.
Используя нечетность синуса: $\sin(-30^\circ) = -\sin(30^\circ) = -1/2$.

Ответ: $-0.5$

в)

Дано выражение: $\frac{\mathrm{tg}\frac{\pi}{9} + \mathrm{tg}\frac{5\pi}{36}}{1 + \mathrm{tg}\frac{8\pi}{9}\mathrm{tg}\frac{5\pi}{36}}$.
Это выражение похоже на формулу тангенса суммы, но в знаменателе стоит плюс. Упростим $\mathrm{tg}\frac{8\pi}{9}$, используя формулы приведения.
$\frac{8\pi}{9} = \pi - \frac{\pi}{9}$.
$\mathrm{tg}\frac{8\pi}{9} = \mathrm{tg}(\pi - \frac{\pi}{9}) = -\mathrm{tg}\frac{\pi}{9}$.
Подставим это в знаменатель исходного выражения:
$1 + (-\mathrm{tg}\frac{\pi}{9})\mathrm{tg}\frac{5\pi}{36} = 1 - \mathrm{tg}\frac{\pi}{9}\mathrm{tg}\frac{5\pi}{36}$.
Теперь все выражение выглядит так:
$\frac{\mathrm{tg}\frac{\pi}{9} + \mathrm{tg}\frac{5\pi}{36}}{1 - \mathrm{tg}\frac{\pi}{9}\mathrm{tg}\frac{5\pi}{36}}$.
Это в точности формула тангенса суммы двух углов: $\mathrm{tg}(\alpha + \beta) = \frac{\mathrm{tg}\alpha + \mathrm{tg}\beta}{1 - \mathrm{tg}\alpha\mathrm{tg}\beta}$.
Здесь $\alpha = \frac{\pi}{9}$ и $\beta = \frac{5\pi}{36}$.
Следовательно, выражение равно:
$\mathrm{tg}(\frac{\pi}{9} + \frac{5\pi}{36})$.
Приведем дроби к общему знаменателю: $\frac{\pi}{9} = \frac{4\pi}{36}$.
$\mathrm{tg}(\frac{4\pi}{36} + \frac{5\pi}{36}) = \mathrm{tg}(\frac{9\pi}{36}) = \mathrm{tg}(\frac{\pi}{4})$.
Значение тангенса от $\frac{\pi}{4}$ равно 1.

Ответ: $1$

г)

Дано выражение: $\frac{1 - \mathrm{tg}192^\circ\mathrm{ctg}237^\circ}{\mathrm{ctg}78^\circ - \mathrm{ctg}303^\circ}$.
Упростим каждую тригонометрическую функцию, используя формулы приведения и тождества.
Упростим числитель $1 - \mathrm{tg}192^\circ\mathrm{ctg}237^\circ$:
$\mathrm{tg}192^\circ = \mathrm{tg}(180^\circ + 12^\circ) = \mathrm{tg}12^\circ$.
$\mathrm{ctg}237^\circ = \mathrm{ctg}(180^\circ + 57^\circ) = \mathrm{ctg}57^\circ$.
Используем тождество $\mathrm{ctg}\alpha = \mathrm{tg}(90^\circ - \alpha)$:
$\mathrm{ctg}57^\circ = \mathrm{tg}(90^\circ - 57^\circ) = \mathrm{tg}33^\circ$.
Числитель принимает вид: $1 - \mathrm{tg}12^\circ\mathrm{tg}33^\circ$.
Теперь упростим знаменатель $\mathrm{ctg}78^\circ - \mathrm{ctg}303^\circ$:
$\mathrm{ctg}78^\circ = \mathrm{tg}(90^\circ - 78^\circ) = \mathrm{tg}12^\circ$.
$\mathrm{ctg}303^\circ = \mathrm{ctg}(270^\circ + 33^\circ) = -\mathrm{tg}33^\circ$.
Знаменатель принимает вид: $\mathrm{tg}12^\circ - (-\mathrm{tg}33^\circ) = \mathrm{tg}12^\circ + \mathrm{tg}33^\circ$.
Подставим упрощенные числитель и знаменатель в дробь:
$\frac{1 - \mathrm{tg}12^\circ\mathrm{tg}33^\circ}{\mathrm{tg}12^\circ + \mathrm{tg}33^\circ}$.
Это выражение является обратным к формуле тангенса суммы:
$\frac{1}{\frac{\mathrm{tg}12^\circ + \mathrm{tg}33^\circ}{1 - \mathrm{tg}12^\circ\mathrm{tg}33^\circ}} = \frac{1}{\mathrm{tg}(12^\circ + 33^\circ)} = \frac{1}{\mathrm{tg}(45^\circ)}$.
Поскольку $\mathrm{tg}(45^\circ) = 1$, то значение выражения равно $\frac{1}{1} = 1$.

Ответ: $1$

Помогло решение? Оставьте отзыв в комментариях ниже.

Присоединяйтесь к Телеграм-группе @gdz_by_belarus

Присоединиться

Мы подготовили для вас ответ c подробным объяснением домашего задания по алгебре за 11 класс, для упражнения номер 18 расположенного на странице 167 к учебнику 2020 года издания для учащихся школ и гимназий.

Теперь на нашем сайте ГДЗ.ТОП вы всегда легко и бесплатно найдёте условие с правильным ответом на вопрос «Как решить ДЗ» и «Как сделать» задание по алгебре к упражнению №18 (с. 167), авторов: Арефьева (Ирина Глебовна), Пирютко (Ольга Николаевна), учебного пособия издательства Народная асвета.