Номер 2.31, страница 55 - гдз по алгебре 11 класс учебник Арефьева, Пирютко

Алгебра, 11 класс Учебник, авторы: Арефьева Ирина Глебовна, Пирютко Ольга Николаевна, издательство Народная асвета, Минск, 2020, бирюзового цвета

Авторы: Арефьева И. Г., Пирютко О. Н.

Тип: Учебник

Издательство: Народная асвета

Год издания: 2020 - 2026

Цвет обложки: бирюзовый, зелёный с графиком

ISBN: 978-985-03-3165-6

Популярные ГДЗ в 11 классе

Глава 2. Показательная функция. Параграф 4. Показательная функция - номер 2.31, страница 55.

№2.31 (с. 55)
Условие. №2.31 (с. 55)
скриншот условия
Алгебра, 11 класс Учебник, авторы: Арефьева Ирина Глебовна, Пирютко Ольга Николаевна, издательство Народная асвета, Минск, 2020, бирюзового цвета, страница 55, номер 2.31, Условие

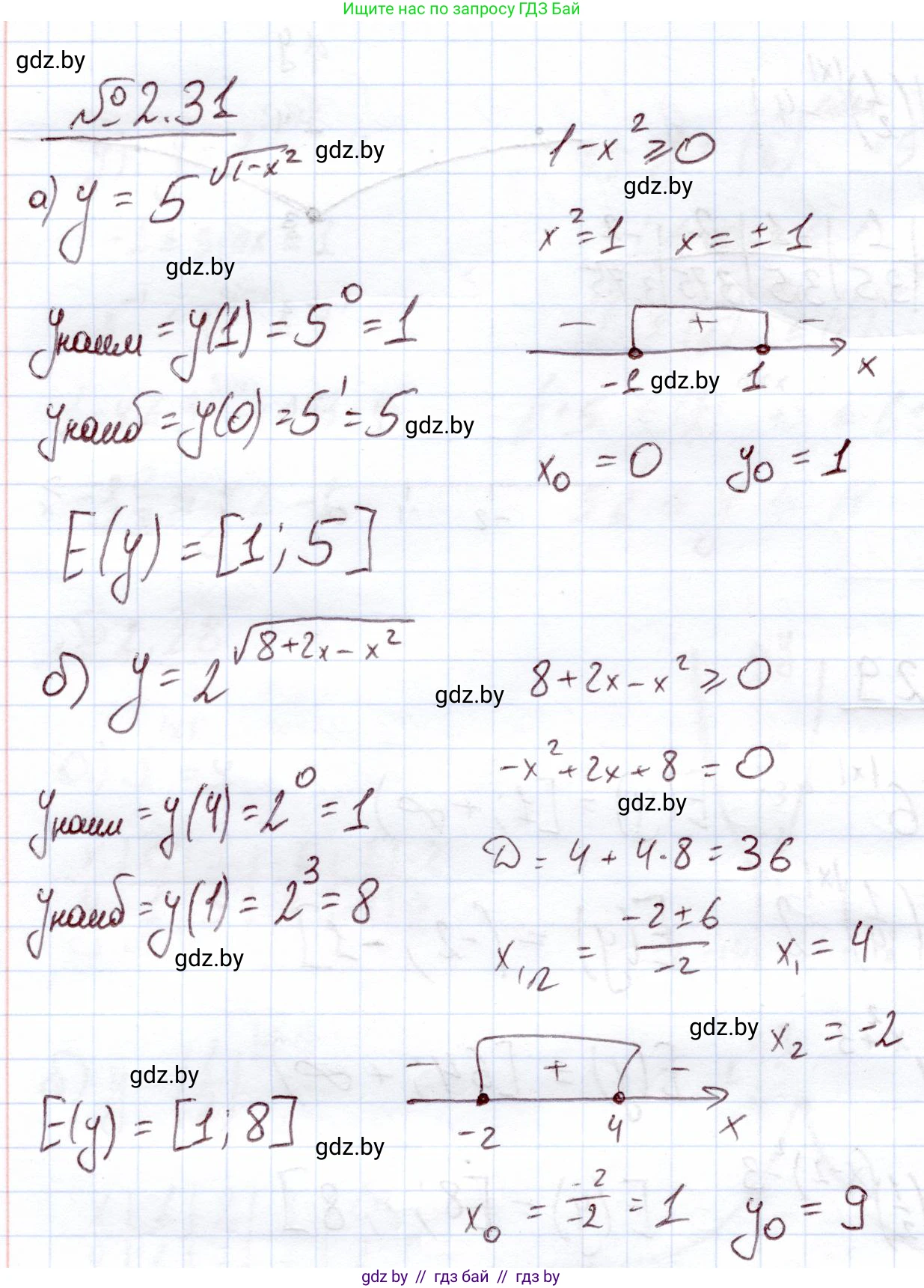
2.31*. Найдите множество значений функции:

а) $y = 5^{\sqrt{1-x^2}}$;

б) $y = 2^{\sqrt{8+2x-x^2}}$.

Решение. №2.31 (с. 55)
Алгебра, 11 класс Учебник, авторы: Арефьева Ирина Глебовна, Пирютко Ольга Николаевна, издательство Народная асвета, Минск, 2020, бирюзового цвета, страница 55, номер 2.31, Решение
Решение 2. №2.31 (с. 55)

а) $y = 5^{\sqrt{1-x^2}}$

Чтобы найти множество значений данной функции, необходимо сначала найти множество значений её показателя, то есть выражения $u(x) = \sqrt{1-x^2}$.

1. Найдём область определения показателя. Выражение под знаком квадратного корня должно быть неотрицательным:

$1 - x^2 \ge 0$

$x^2 \le 1$

$-1 \le x \le 1$

Таким образом, область определения функции $D(y) = [-1, 1]$.

2. Найдём множество значений показателя $u(x) = \sqrt{1-x^2}$ на отрезке $[-1, 1]$.

Рассмотрим подкоренное выражение $v(x) = 1-x^2$. Это квадратичная функция, график которой — парабола с ветвями, направленными вниз. Своё наибольшее значение она достигает в вершине, при $x=0$: $v_{max} = 1-0^2 = 1$.

Наименьшее значение на отрезке $[-1, 1]$ достигается на его концах: $v_{min} = v(-1) = v(1) = 1 - (\pm 1)^2 = 0$.

Следовательно, множество значений подкоренного выражения $1-x^2$ есть отрезок $[0, 1]$.

Тогда множество значений показателя $u(x) = \sqrt{1-x^2}$ равно $[\sqrt{0}, \sqrt{1}]$, то есть $[0, 1]$.

3. Найдём множество значений исходной функции $y = 5^u$ при $u \in [0, 1]$.

Поскольку основание степени $5 > 1$, показательная функция $y(u) = 5^u$ является возрастающей. Значит, наименьшее значение она принимает при наименьшем значении показателя, а наибольшее — при наибольшем.

Наименьшее значение функции: $y_{min} = 5^0 = 1$.

Наибольшее значение функции: $y_{max} = 5^1 = 5$.

Таким образом, множество значений функции — это отрезок $[1, 5]$.

Ответ: $E(y) = [1, 5]$.

б) $y = 2^{\sqrt{8+2x-x^2}}$

Аналогично пункту а), сначала найдём множество значений показателя $u(x) = \sqrt{8+2x-x^2}$.

1. Найдём область определения показателя.

$8+2x-x^2 \ge 0$

Умножим неравенство на $-1$, изменив знак на противоположный:

$x^2 - 2x - 8 \le 0$

Найдём корни уравнения $x^2 - 2x - 8 = 0$. По теореме Виета, корни $x_1 = -2$ и $x_2 = 4$.

Так как это парабола с ветвями вверх, неравенство выполняется на отрезке между корнями: $x \in [-2, 4]$. Это и есть область определения функции $D(y) = [-2, 4]$.

2. Найдём множество значений показателя $u(x) = \sqrt{8+2x-x^2}$ на отрезке $[-2, 4]$.

Рассмотрим подкоренное выражение $v(x) = 8+2x-x^2$. Это парабола с ветвями вниз. Её вершина находится в точке с абсциссой $x_v = -\frac{b}{2a} = -\frac{2}{2(-1)} = 1$.

Поскольку $x_v=1$ принадлежит отрезку $[-2, 4]$, наибольшее значение $v(x)$ достигается в вершине:

$v_{max} = v(1) = 8 + 2(1) - 1^2 = 9$.

Наименьшее значение достигается на концах отрезка $[-2, 4]$, где $v(x)=0$ (так как это корни): $v(-2) = 0$ и $v(4) = 0$.

Следовательно, множество значений подкоренного выражения $8+2x-x^2$ есть отрезок $[0, 9]$.

Тогда множество значений показателя $u(x) = \sqrt{8+2x-x^2}$ равно $[\sqrt{0}, \sqrt{9}]$, то есть $[0, 3]$.

3. Найдём множество значений исходной функции $y = 2^u$ при $u \in [0, 3]$.

Поскольку основание $2 > 1$, функция $y(u) = 2^u$ является возрастающей.

Наименьшее значение функции: $y_{min} = 2^0 = 1$.

Наибольшее значение функции: $y_{max} = 2^3 = 8$.

Таким образом, множество значений функции — это отрезок $[1, 8]$.

Ответ: $E(y) = [1, 8]$.

Помогло решение? Оставьте отзыв в комментариях ниже.

Присоединяйтесь к Телеграм-группе @gdz_by_belarus

Присоединиться

Мы подготовили для вас ответ c подробным объяснением домашего задания по алгебре за 11 класс, для упражнения номер 2.31 расположенного на странице 55 к учебнику 2020 года издания для учащихся школ и гимназий.

Теперь на нашем сайте ГДЗ.ТОП вы всегда легко и бесплатно найдёте условие с правильным ответом на вопрос «Как решить ДЗ» и «Как сделать» задание по алгебре к упражнению №2.31 (с. 55), авторов: Арефьева (Ирина Глебовна), Пирютко (Ольга Николаевна), учебного пособия издательства Народная асвета.