Номер 2.24, страница 54 - гдз по алгебре 11 класс учебник Арефьева, Пирютко

Алгебра, 11 класс Учебник, авторы: Арефьева Ирина Глебовна, Пирютко Ольга Николаевна, издательство Народная асвета, Минск, 2020, бирюзового цвета

Авторы: Арефьева И. Г., Пирютко О. Н.

Тип: Учебник

Издательство: Народная асвета

Год издания: 2020 - 2026

Цвет обложки: бирюзовый, зелёный с графиком

ISBN: 978-985-03-3165-6

Популярные ГДЗ в 11 классе

Глава 2. Показательная функция. Параграф 4. Показательная функция - номер 2.24, страница 54.

№2.24 (с. 54)
Условие. №2.24 (с. 54)
скриншот условия
Алгебра, 11 класс Учебник, авторы: Арефьева Ирина Глебовна, Пирютко Ольга Николаевна, издательство Народная асвета, Минск, 2020, бирюзового цвета, страница 54, номер 2.24, Условие

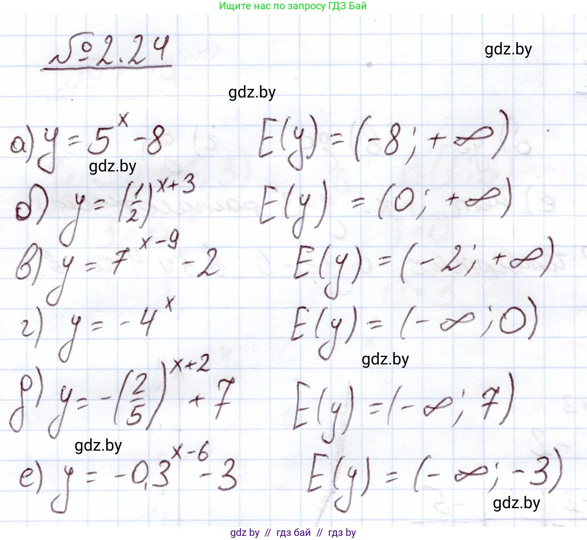
2.24. Найдите множество значений функции:

a) $y = 5^x - 8$;

б) $y = \left(\frac{1}{2}\right)^{x+3}$;

в) $y = 7^{x-9} - 2;

г) $y = -4^x$;

д) $y = -\left(\frac{2}{5}\right)^{x+2} + 7$;

е) $y = -0,3^{x-6} - 3.$

Решение. №2.24 (с. 54)
Алгебра, 11 класс Учебник, авторы: Арефьева Ирина Глебовна, Пирютко Ольга Николаевна, издательство Народная асвета, Минск, 2020, бирюзового цвета, страница 54, номер 2.24, Решение
Решение 2. №2.24 (с. 54)

а) $y = 5^x - 8$

Чтобы найти множество значений функции, проанализируем её составляющие. Функция $y_1 = 5^x$ является показательной функцией с основанием $a=5 > 1$. Множество значений для любой показательной функции вида $a^x$ (где $a > 0, a \neq 1$) — это все положительные числа.

Следовательно, для любого действительного значения $x$ выполняется неравенство:

$5^x > 0$

Функция $y = 5^x - 8$ получается из функции $y_1=5^x$ вычитанием числа 8. Это соответствует сдвигу графика функции $y_1=5^x$ на 8 единиц вниз по оси ординат. Таким образом, чтобы найти множество значений для $y$, вычтем 8 из обеих частей неравенства:

$5^x - 8 > 0 - 8$

$y > -8$

Таким образом, множество значений функции — это все числа, которые строго больше -8.

Ответ: $E(y) = (-8; +\infty)$.

б) $y = \left(\frac{1}{2}\right)^{x+3}$

Данная функция является показательной. Обозначим показатель степени за $t = x+3$. Так как $x$ может принимать любое действительное значение, то и $t$ может принимать любое действительное значение. Функция принимает вид $y = (\frac{1}{2})^t$.

Множество значений показательной функции $y = a^t$ (где $a > 0, a \neq 1$) — это интервал $(0; +\infty)$. В нашем случае основание $a = \frac{1}{2}$ удовлетворяет этому условию.

Следовательно, для любого значения показателя степени $(x+3)$ значение функции будет строго положительным:

$\left(\frac{1}{2}\right)^{x+3} > 0$

$y > 0$

Множество значений функции — это все положительные действительные числа.

Ответ: $E(y) = (0; +\infty)$.

в) $y = 7^{x-9} - 2$

Рассмотрим показательную часть функции: $7^{x-9}$. Основание $a=7 > 1$. Показатель степени $x-9$ может принимать любые действительные значения. Множество значений выражения $7^{x-9}$ — это все положительные числа.

Запишем это в виде неравенства:

$7^{x-9} > 0$

Исходная функция получается вычитанием 2 из этого выражения. Это эквивалентно сдвигу графика функции $y=7^{x-9}$ на 2 единицы вниз. Применим это преобразование к неравенству:

$7^{x-9} - 2 > 0 - 2$

$y > -2$

Множество значений функции — это все числа, строго большие -2.

Ответ: $E(y) = (-2; +\infty)$.

г) $y = -4^x$

Сначала рассмотрим показательную функцию $y_1 = 4^x$. Множество ее значений — все положительные числа:

$4^x > 0$

Исходная функция $y = -4^x$ получается умножением функции $y_1$ на -1. Графически это соответствует симметричному отражению графика $y_1=4^x$ относительно оси абсцисс. Умножим обе части неравенства на -1, не забывая изменить знак неравенства на противоположный:

$-1 \cdot 4^x < -1 \cdot 0$

$-4^x < 0$

$y < 0$

Таким образом, множество значений функции — это все отрицательные числа.

Ответ: $E(y) = (-\infty; 0)$.

д) $y = -\left(\frac{2}{5}\right)^{x+2} + 7$

Рассмотрим показательную часть $y_1 = \left(\frac{2}{5}\right)^{x+2}$. Основание $a = \frac{2}{5}$ находится в интервале $(0; 1)$, но это не меняет того факта, что множество значений показательного выражения — все положительные числа.

$\left(\frac{2}{5}\right)^{x+2} > 0$

Далее, это выражение умножается на -1:

$-\left(\frac{2}{5}\right)^{x+2} < 0$

И, наконец, к результату прибавляется 7. Это соответствует сдвигу графика вверх на 7 единиц. Прибавим 7 к обеим частям неравенства:

$-\left(\frac{2}{5}\right)^{x+2} + 7 < 0 + 7$

$y < 7$

Следовательно, множество значений функции — это все числа, строго меньшие 7.

Ответ: $E(y) = (-\infty; 7)$.

е) $y = -0,3^{x-6} - 3$

Начнем с анализа показательного выражения $0,3^{x-6}$. Так как основание $a=0,3 > 0$, значение этого выражения всегда будет положительным:

$0,3^{x-6} > 0$

Теперь умножим это выражение на -1. Знак неравенства изменится на противоположный:

$-0,3^{x-6} < 0$

И последним шагом вычтем 3 из обеих частей неравенства:

$-0,3^{x-6} - 3 < 0 - 3$

$y < -3$

Множество значений функции — это все числа, которые строго меньше -3.

Ответ: $E(y) = (-\infty; -3)$.

Помогло решение? Оставьте отзыв в комментариях ниже.

Присоединяйтесь к Телеграм-группе @gdz_by_belarus

Присоединиться

Мы подготовили для вас ответ c подробным объяснением домашего задания по алгебре за 11 класс, для упражнения номер 2.24 расположенного на странице 54 к учебнику 2020 года издания для учащихся школ и гимназий.

Теперь на нашем сайте ГДЗ.ТОП вы всегда легко и бесплатно найдёте условие с правильным ответом на вопрос «Как решить ДЗ» и «Как сделать» задание по алгебре к упражнению №2.24 (с. 54), авторов: Арефьева (Ирина Глебовна), Пирютко (Ольга Николаевна), учебного пособия издательства Народная асвета.