Номер 811, страница 189 - гдз по химии 10 класс сборник задач Матулис, Матулис

Химия, 10 класс Сборник задач, авторы: Матулис Вадим Эдвардович, Матулис Виталий Эдвардович, Колевич Татьяна Александровна, издательство Национальный институт образования, Минск, 2021

Авторы: Матулис В. Э., Матулис В. Э., Колевич Т. А.

Тип: Сборник задач

Издательство: Национальный институт образования

Год издания: 2021 - 2026

Уровень обучения: базовый и повышенный

Цвет обложки: синий

ISBN: 978-985-594-959-7

Допущено Министерством образования Республики Беларусь

Популярные ГДЗ в 10 классе

Глава 3. Кислородсодержащие органические соединения. 3.6. Углеводы - номер 811, страница 189.

№811 (с. 189)
Условие. №811 (с. 189)
скриншот условия
Химия, 10 класс Сборник задач, авторы: Матулис Вадим Эдвардович, Матулис Виталий Эдвардович, Колевич Татьяна Александровна, издательство Национальный институт образования, Минск, 2021, страница 189, номер 811, Условие

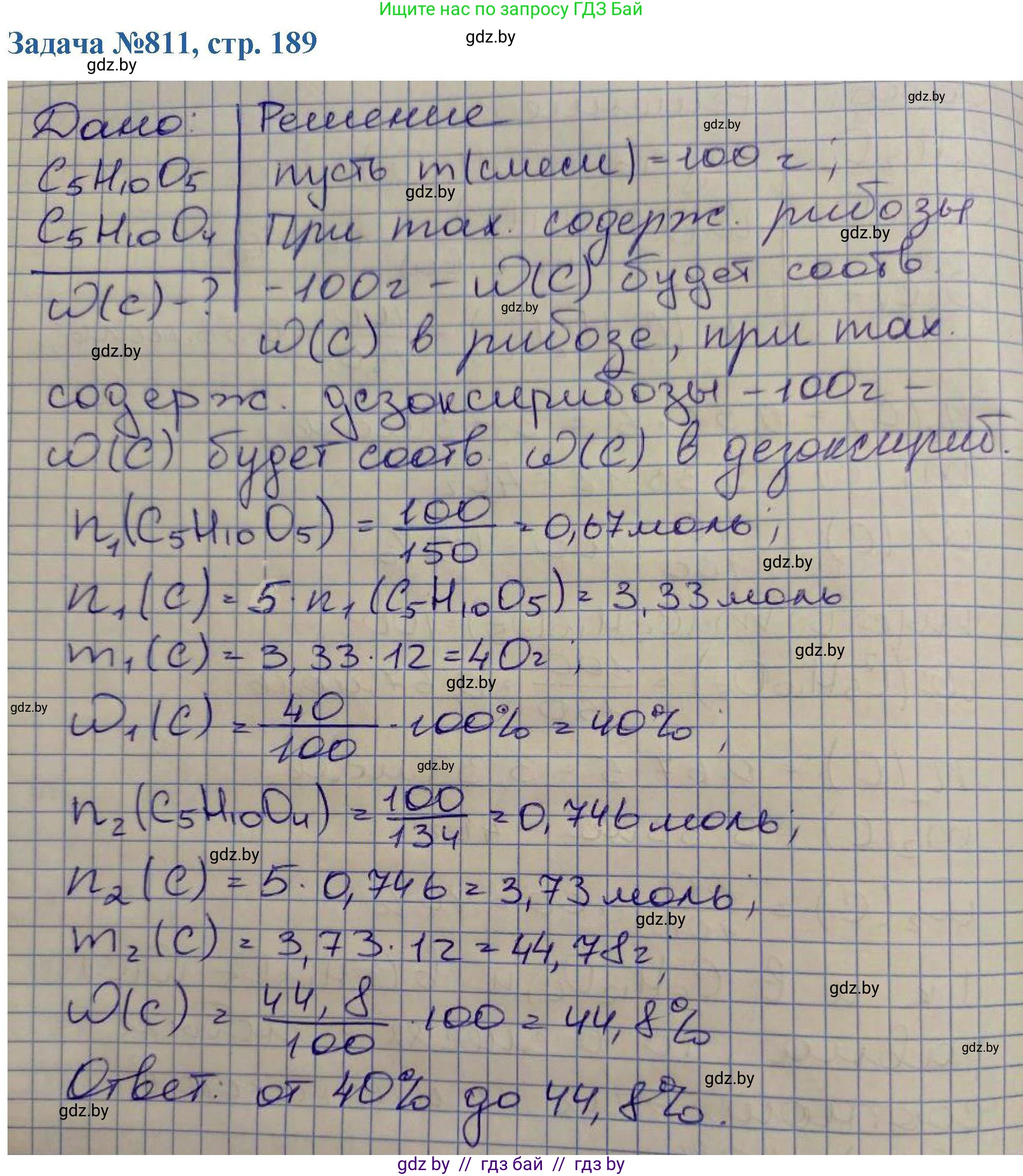
811. * Чему может быть равна массовая доля углерода в смеси рибозы и дезоксирибозы?

Решение. №811 (с. 189)
Химия, 10 класс Сборник задач, авторы: Матулис Вадим Эдвардович, Матулис Виталий Эдвардович, Колевич Татьяна Александровна, издательство Национальный институт образования, Минск, 2021, страница 189, номер 811, Решение
Решение 2. №811 (с. 189)

Решение

Массовая доля углерода в смеси двух веществ будет находиться в интервале между массовыми долями углерода в каждом из чистых веществ. Найдем эти граничные значения.

1. Определим химические формулы и рассчитаем молярные массы рибозы и дезоксирибозы. Будем использовать целочисленные атомные массы: $Ar(C) = 12$ а.е.м., $Ar(H) = 1$ а.е.м., $Ar(O) = 16$ а.е.м.

Рибоза — это пентоза, её формула $C_5H_{10}O_5$.
Молярная масса рибозы:
$M(C_5H_{10}O_5) = 5 \cdot Ar(C) + 10 \cdot Ar(H) + 5 \cdot Ar(O) = 5 \cdot 12 + 10 \cdot 1 + 5 \cdot 16 = 150$ г/моль.

Дезоксирибоза отличается от рибозы отсутствием одного атома кислорода, её формула $C_5H_{10}O_4$.
Молярная масса дезоксирибозы:
$M(C_5H_{10}O_4) = 5 \cdot Ar(C) + 10 \cdot Ar(H) + 4 \cdot Ar(O) = 5 \cdot 12 + 10 \cdot 1 + 4 \cdot 16 = 134$ г/моль.

2. Рассчитаем массовую долю ($\omega$) углерода в каждом из этих сахаров.

Массовая доля углерода в рибозе:
$\omega(C \text{ в рибозе}) = \frac{5 \cdot Ar(C)}{M(C_5H_{10}O_5)} = \frac{5 \cdot 12}{150} = \frac{60}{150} = 0.4$ или $40\%$.

Массовая доля углерода в дезоксирибозе:
$\omega(C \text{ в дезоксирибозе}) = \frac{5 \cdot Ar(C)}{M(C_5H_{10}O_4)} = \frac{5 \cdot 12}{134} = \frac{60}{134} \approx 0.44776$ или $44.78\%$.

3. Определим возможный диапазон значений массовой доли углерода в смеси.

Массовая доля любого элемента в смеси веществ всегда находится между минимальным и максимальным значениями массовой доли этого элемента в чистых компонентах смеси.

Таким образом, массовая доля углерода в любой смеси рибозы и дезоксирибозы будет больше или равна $40\%$ (случай чистой рибозы) и меньше или равна $44.78\%$ (случай чистой дезоксирибозы). Если рассматривать смесь как содержащую оба компонента, то значения будут строго между этими границами.

Ответ:массовая доля углерода в смеси рибозы и дезоксирибозы может принимать любое значение в интервале от $40\%$ до $44.78\%$ включительно. Математически это можно записать так: $40\% \le \omega(C) \le 44.78\%$.

Помогло решение? Оставьте отзыв в комментариях ниже.

Присоединяйтесь к Телеграм-группе @gdz_by_belarus

Присоединиться

Мы подготовили для вас ответ c подробным объяснением домашего задания по химии за 10 класс, для упражнения номер 811 расположенного на странице 189 к сборнику задач 2021 года издания для учащихся школ и гимназий.

Теперь на нашем сайте ГДЗ.ТОП вы всегда легко и бесплатно найдёте условие с правильным ответом на вопрос «Как решить ДЗ» и «Как сделать» задание по химии к упражнению №811 (с. 189), авторов: Матулис (Вадим Эдвардович), Матулис (Виталий Эдвардович), Колевич (Татьяна Александровна), базовый и повышенный уровень обучения учебного пособия издательства Национальный институт образования.