Номер 180, страница 53 - гдз по химии 10 класс сборник задач Матулис, Матулис

Химия, 10 класс Сборник задач, авторы: Матулис Вадим Эдвардович, Матулис Виталий Эдвардович, Колевич Татьяна Александровна, издательство Национальный институт образования, Минск, 2021

Авторы: Матулис В. Э., Матулис В. Э., Колевич Т. А.

Тип: Сборник задач

Издательство: Национальный институт образования

Год издания: 2021 - 2026

Уровень обучения: базовый и повышенный

Цвет обложки: синий

ISBN: 978-985-594-959-7

Допущено Министерством образования Республики Беларусь

Популярные ГДЗ в 10 классе

Глава 2. Углеводороды. 2.1. Алканы - номер 180, страница 53.

№180 (с. 53)
Условие. №180 (с. 53)
скриншот условия
Химия, 10 класс Сборник задач, авторы: Матулис Вадим Эдвардович, Матулис Виталий Эдвардович, Колевич Татьяна Александровна, издательство Национальный институт образования, Минск, 2021, страница 53, номер 180, Условие

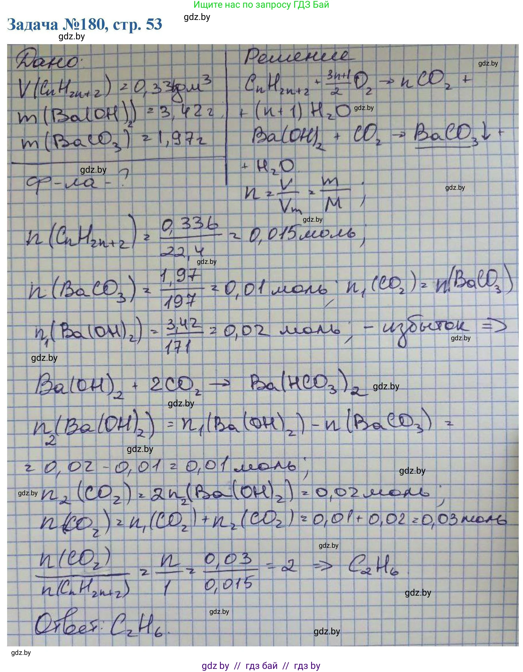
180. Газообразный алкан объемом $0,336\text{ дм}^3$ (н. у.) сожгли в избытке кислорода, а продукты сгорания полностью поглотили раствором, содержащим 3,42 г гидроксида бария. При этом было получено 1,97 г осадка. Определите формулу алкана.

Решение. №180 (с. 53)
Химия, 10 класс Сборник задач, авторы: Матулис Вадим Эдвардович, Матулис Виталий Эдвардович, Колевич Татьяна Александровна, издательство Национальный институт образования, Минск, 2021, страница 53, номер 180, Решение
Решение 2. №180 (с. 53)
Дано:

$V(\text{C}_n\text{H}_{2n+2}) = 0,336 \text{ дм}^3$ (н. у.)
$m(\text{Ba(OH)}_2) = 3,42 \text{ г}$
$m(\text{осадка}) = 1,97 \text{ г}$
$V_m = 22,4 \text{ дм}^3/\text{моль}$

Найти:

Формулу алкана — $\text{C}_n\text{H}_{2n+2}$

Решение:

Запишем общее уравнение сгорания алкана:

$\text{C}_n\text{H}_{2n+2} + \frac{3n+1}{2}\text{O}_2 \rightarrow n\text{CO}_2 + (n+1)\text{H}_2\text{O}$

Продукты сгорания поглощаются раствором гидроксида бария. Осадок — это карбонат бария ($\text{BaCO}_3$). Углекислый газ ($\text{CO}_2$) реагирует с гидроксидом бария ($\text{Ba(OH)}_2$). Поскольку количество гидроксида бария оказалось недостаточным для полного осаждения всего $\text{CO}_2$ в виде карбоната, в результате реакции образовались как нерастворимый карбонат, так и растворимый гидрокарбонат бария ($\text{Ba(HCO}_3)_2$).

Рассчитаем количество вещества (в молях) для известных соединений.

Молярная масса гидроксида бария $\text{Ba(OH)}_2$: $M(\text{Ba(OH)}_2) = 137 + 2 \times (16 + 1) = 171 \text{ г/моль}$.

Количество вещества $\text{Ba(OH)}_2$: $n(\text{Ba(OH)}_2) = \frac{m(\text{Ba(OH)}_2)}{M(\text{Ba(OH)}_2)} = \frac{3,42 \text{ г}}{171 \text{ г/моль}} = 0,02 \text{ моль}$.

Молярная масса осадка, карбоната бария $\text{BaCO}_3$: $M(\text{BaCO}_3) = 137 + 12 + 3 \times 16 = 197 \text{ г/моль}$.

Количество вещества $\text{BaCO}_3$: $n(\text{BaCO}_3) = \frac{m(\text{BaCO}_3)}{M(\text{BaCO}_3)} = \frac{1,97 \text{ г}}{197 \text{ г/моль}} = 0,01 \text{ моль}$.

Количество вещества исходного алкана: $n(\text{C}_n\text{H}_{2n+2}) = \frac{V(\text{C}_n\text{H}_{2n+2})}{V_m} = \frac{0,336 \text{ дм}^3}{22,4 \text{ дм}^3/\text{моль}} = 0,015 \text{ моль}$.

Определим общее количество вещества углекислого газа, образовавшегося при сгорании. Изначальное количество вещества бария в растворе: $n(\text{Ba}) = n(\text{Ba(OH)}_2) = 0,02 \text{ моль}$. После поглощения $\text{CO}_2$ барий находится в осадке ($\text{BaCO}_3$) и в растворе (в виде $\text{Ba(HCO}_3)_2$).

Количество вещества бария в осадке: $n_1(\text{Ba}) = n(\text{BaCO}_3) = 0,01 \text{ моль}$.

Количество вещества бария, оставшегося в растворе: $n_2(\text{Ba}) = n_{\text{общ.}}(\text{Ba}) - n_1(\text{Ba}) = 0,02 - 0,01 = 0,01 \text{ моль}$. Этот барий находится в виде гидрокарбоната, следовательно, $n(\text{Ba(HCO}_3)_2) = 0,01 \text{ моль}$.

Общее количество вещества поглощенного $\text{CO}_2$ равно сумме атомов углерода в карбонате и гидрокарбонате:

$n(\text{CO}_2) = n(\text{C})_{\text{в BaCO}_3} + n(\text{C})_{\text{в Ba(HCO}_3)_2} = n(\text{BaCO}_3) + 2 \times n(\text{Ba(HCO}_3)_2)$

$n(\text{CO}_2) = 0,01 \text{ моль} + 2 \times 0,01 \text{ моль} = 0,03 \text{ моль}$.

Найдем формулу алкана. Из уравнения сгорания следует, что из $1$ моль алкана образуется $n$ моль $\text{CO}_2$.

$n = \frac{n(\text{CO}_2)}{n(\text{C}_n\text{H}_{2n+2})} = \frac{0,03 \text{ моль}}{0,015 \text{ моль}} = 2$

Следовательно, искомый алкан имеет 2 атома углерода. Его формула — $\text{C}_2\text{H}_{2 \times 2 + 2}$, то есть $\text{C}_2\text{H}_6$ (этан). Этан — газ при н.у., что соответствует условию.

Ответ: $\text{C}_2\text{H}_6$.

Помогло решение? Оставьте отзыв в комментариях ниже.

Присоединяйтесь к Телеграм-группе @gdz_by_belarus

Присоединиться

Мы подготовили для вас ответ c подробным объяснением домашего задания по химии за 10 класс, для упражнения номер 180 расположенного на странице 53 к сборнику задач 2021 года издания для учащихся школ и гимназий.

Теперь на нашем сайте ГДЗ.ТОП вы всегда легко и бесплатно найдёте условие с правильным ответом на вопрос «Как решить ДЗ» и «Как сделать» задание по химии к упражнению №180 (с. 53), авторов: Матулис (Вадим Эдвардович), Матулис (Виталий Эдвардович), Колевич (Татьяна Александровна), базовый и повышенный уровень обучения учебного пособия издательства Национальный институт образования.