Номер 7, страница 275 - гдз по алгебре 10 класс учебник Арефьева, Пирютко

Алгебра, 10 класс Учебник, авторы: Арефьева Ирина Глебовна, Пирютко Ольга Николаевна, издательство Народная асвета, Минск, 2019, голубого цвета

Авторы: Арефьева И. Г., Пирютко О. Н.

Тип: Учебник

Издательство: Народная асвета

Год издания: 2019 - 2026

Цвет обложки: голубой с графиком

Допущено Министерством образования Республики Беларусь

Популярные ГДЗ в 10 классе

Глава 3. Производная. Я проверяю свои знания - номер 7, страница 275.

№7 (с. 275)
Условие. №7 (с. 275)
скриншот условия
Алгебра, 10 класс Учебник, авторы: Арефьева Ирина Глебовна, Пирютко Ольга Николаевна, издательство Народная асвета, Минск, 2019, голубого цвета, страница 275, номер 7, Условие

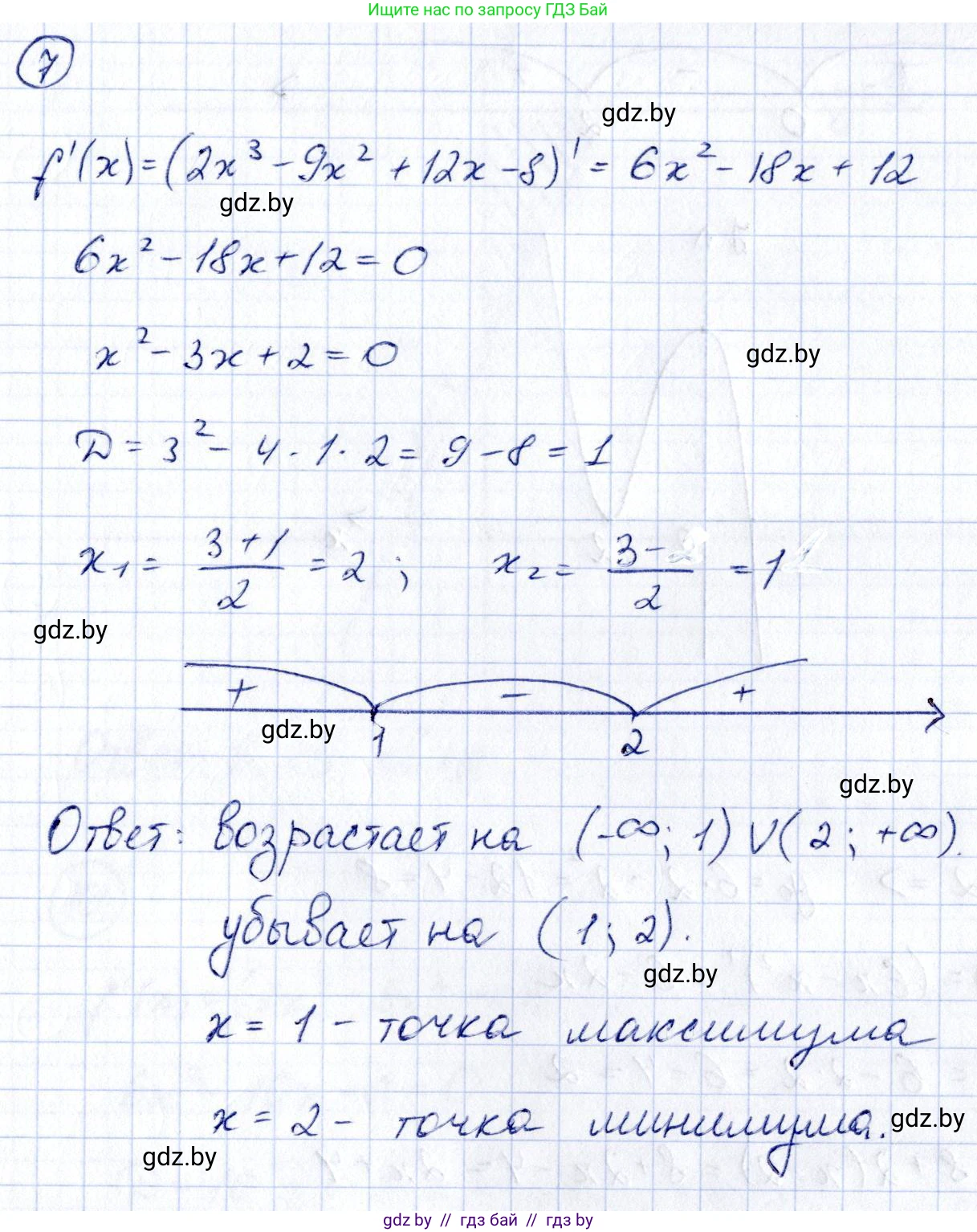
7. Найдите промежутки монотонности и точки экстремума функции $f(x)=2x^3-9x^2+12x-8$.

Решение. №7 (с. 275)
Алгебра, 10 класс Учебник, авторы: Арефьева Ирина Глебовна, Пирютко Ольга Николаевна, издательство Народная асвета, Минск, 2019, голубого цвета, страница 275, номер 7, Решение
Решение 2. №7 (с. 275)

Для того чтобы найти промежутки монотонности и точки экстремума функции $f(x) = 2x^3 - 9x^2 + 12x - 8$, необходимо выполнить следующие шаги:

1. Найти производную функции.

Производная функции $f(x)$ определяет скорость ее изменения. Промежутки, где производная положительна, соответствуют возрастанию функции, а где отрицательна — убыванию.

$f'(x) = (2x^3 - 9x^2 + 12x - 8)'$

$f'(x) = 2 \cdot (x^3)' - 9 \cdot (x^2)' + 12 \cdot (x)' - (8)'$

$f'(x) = 2 \cdot 3x^2 - 9 \cdot 2x + 12 \cdot 1 - 0 = 6x^2 - 18x + 12$

2. Найти критические точки.

Критические точки — это точки, в которых производная равна нулю или не существует. В этих точках функция может менять направление монотонности (с возрастания на убывание или наоборот).

Приравняем производную к нулю:

$f'(x) = 0 \implies 6x^2 - 18x + 12 = 0$

Для упрощения разделим все уравнение на 6:

$x^2 - 3x + 2 = 0$

Это квадратное уравнение, корни которого можно найти по теореме Виета или через дискриминант. Корни уравнения: $x_1 = 1$, $x_2 = 2$.

Так как производная $f'(x)$ является многочленом, она существует при всех значениях $x$. Таким образом, единственными критическими точками являются $x=1$ и $x=2$.

3. Определить знаки производной на интервалах.

Критические точки разбивают числовую ось на три интервала: $(-\infty; 1)$, $(1; 2)$ и $(2; +\infty)$. Определим знак $f'(x)$ на каждом из них.

  • На интервале $(-\infty; 1)$: возьмем пробную точку $x=0$.
    $f'(0) = 6(0)^2 - 18(0) + 12 = 12 > 0$.
    Так как производная положительна, функция $f(x)$ на этом промежутке возрастает.
  • На интервале $(1; 2)$: возьмем пробную точку $x=1.5$.
    $f'(1.5) = 6(1.5)^2 - 18(1.5) + 12 = 6(2.25) - 27 + 12 = 13.5 - 27 + 12 = -1.5 < 0$.
    Так как производная отрицательна, функция $f(x)$ на этом промежутке убывает.
  • На интервале $(2; +\infty)$: возьмем пробную точку $x=3$.
    $f'(3) = 6(3)^2 - 18(3) + 12 = 54 - 54 + 12 = 12 > 0$.
    Так как производная положительна, функция $f(x)$ на этом промежутке возрастает.

4. Найти точки экстремума и значения функции в них.

  • В точке $x=1$ знак производной меняется с «+» на «-». Следовательно, это точка максимума.
    Найдем значение функции в этой точке: $y_{max} = f(1) = 2(1)^3 - 9(1)^2 + 12(1) - 8 = 2 - 9 + 12 - 8 = -3$.
  • В точке $x=2$ знак производной меняется с «-» на «+». Следовательно, это точка минимума.
    Найдем значение функции в этой точке: $y_{min} = f(2) = 2(2)^3 - 9(2)^2 + 12(2) - 8 = 16 - 36 + 24 - 8 = -4$.

Промежутки монотонности: Ответ: функция возрастает на промежутках $(-\infty; 1]$ и $[2; +\infty)$; функция убывает на промежутке $[1; 2]$.

Точки экстремума: Ответ: точка максимума: $x_{max} = 1$, значение функции в этой точке $f(1) = -3$; точка минимума: $x_{min} = 2$, значение функции в этой точке $f(2) = -4$.

Помогло решение? Оставьте отзыв в комментариях ниже.

Присоединяйтесь к Телеграм-группе @gdz_by_belarus

Присоединиться

Мы подготовили для вас ответ c подробным объяснением домашего задания по алгебре за 10 класс, для упражнения номер 7 расположенного на странице 275 к учебнику 2019 года издания для учащихся школ и гимназий.

Теперь на нашем сайте ГДЗ.ТОП вы всегда легко и бесплатно найдёте условие с правильным ответом на вопрос «Как решить ДЗ» и «Как сделать» задание по алгебре к упражнению №7 (с. 275), авторов: Арефьева (Ирина Глебовна), Пирютко (Ольга Николаевна), учебного пособия издательства Народная асвета.